Рис. 2.4 Граткова теплопровідність
зменшується
(тобто
збільшується)
з додаванням Tl. Залежність від
випливає з середньої
відстані атомів Tl
Однак, недавні дослідження
нейтронної спектроскопії на La- і Ce-заповненні
скутерудитами
(рис. 2.5) показали, що квазігармонічна муфта дійсно існує між вставленими
«гримучими» атомами і кристалічною граткою. Це передбачає, що складність
заповнених кристалів і перевага низької групової швидкості оптичних фононних
мод, а не гуркіт, могли бути більш відповідальні за наведений
Додаткові
докази для таких пов'язаних мод виникають з дослідження [20] клатратних
термоелектриків, таких як
(рис. 2.5), де
було підраховано, через нейтронну потрійну вісь спектроскопії час життя фононів
~ 2 пс, що на порядок більше, ніж очікуванолося від розсіяння акустичних
фононів з «гримучими» атомами (0,18 пс). Настільки довше існування відбувається
через відсутність розсіювання, яке не відбувається завдяки униканню перетину
зон між модами акустичної фононної кристалічної гратки і плоскої, квазі-локалізованої
моди низької енергії за рахунок «гримучих» атомів.
Рис. 2.5 (a) Ілюстрація типової
відкритої гратки, як структура клатрату (Ba8Ga16Ge30) взаємодіє з домішками
(«шумовий» атом: Ba) і вузлами (на базі: Ga і Ge). (b) коливання атомів домішки
на частотах, близьких до акустичних, можна розкласти на поздовжні (
)
і поперечні (
) моди. (c)
взаємодія домішкових мод дисперсії фононів поступається гратковим модам, що
дозволяє уникнути перетину зони, на якій часи життя фононів збільшуються
Таким чином, існує ймовірність того,
що складність кристала, плоска дисперсія фононів, і динамічні процеси переносу,
всі важливі для зменшення
і є деякі
припущення, що тип СФЕК механізму, можливо, доведеться буде переглянути.
2.3.2 Зниження теплопровідності в низько-вимірних структурах
Було запропоновано, щоб більша
ступінь обмеження, в системах, що включають нанотдроти (НД) і нанотрубки (НТ),
призвела до явної модуляції фононної енергетичної дисперсії [21, 22]. Групова
швидкість, v, в НД і НТ передбачалася меншою, як у випадку надграток,
зменшується довжина вільного пробігу фононів в двох вимірах і покращена фононна
поверхня, фононні фонони, і розсіювання фононних носіїв сприяло б анізотропії і
зниженню
Граничний
тепловий опір [23] міг також бути змінений таким розсіюванням, наприклад, як
спостерігається експериментально в одновимірних [24, 25] і багатошарових
вуглецевих нанотрубкових (ВНТ) пакетах, у яких, як помічалося, був нижчий
в
порівнянні з одношаровими ВНТ [26]. Для шаруватих нанокомпозитів (рис. 2.6 (а))
було показано, що для заданої об'ємної частки інтеграції Si НД (
)
в основу Ge, можна отримати більше зниження
за
менших діаметрів [27]. Зниження в основному пов'язано з підвищенням розсіювання
фононів на границі Si-Ge, площа яких збільшується із зменшенням діаметра
нанодротів.
Було також запропоновано, щоб
в
НД міг бути мінімізований за допомогою їх інтеграції в гратку з меншим
акустичним імпедансом, A. Було відзначено, що перерозподіл фононних мод
акустично важчих нанодротів в акустично м'які гратки, може призвести до
фононного виснаження в нанодротах, і могло зменшитися перенесення теплової
енергії. Було б цікаво вивчити такий принцип [28] експериментально в
нанокомпозитах і в Si/SiO2 або Si/Ge ядерних оболонок нанодротів [29] - де ядро
і оболонка мають різні матеріали і А. Проте, точність застосовуваних вимірювань
теплопровідності не може дати правильного підтвердження.
Рис. 2.6 (а) Періодичні двовимірні
нанокомпозити з трубчастими нанодротовими включеннями. (b) Зменшення
теплопровідності нижче об'ємного значення у вигляді функції радіуса кремнієвих
нанадротів (10, 50, 150, і 500 нм) поміщених в гратку Ge, як функція об'ємного
відношення (
) кремнієвих
нанодротів
Контроль шорсткості, здається, одним
з основних факторів для істотного зменшення
Si
нанодротів, до ~ 1.2 Вт/м
K, дуже близько до
значення для аморфного SiO2 і
Si, який має ~ 1
Вт/м
K.
НД Si, в одному випадку (розташовуються діаметром в 20-300 нм) були вироблені
методом хімічного травлення (ХТ), де пластина Si була локально окиснена,
використовуючи водний розчин AgNO3 і HF. Середня шорсткість синтезованих
нанодротів становила ~ 1-5 нм (рис. 2.7 (a)). Було відмічено, що виміряне
залежить
від (I) шорсткості, (II) методу синтезу, і (III) опору початкової пластини
кремнію, як показано на рис. 2.8 (b) і (c). Як і очікувалося,
зменшується
із зменшенням діаметра НД мабуть через зменшення l і посиленого розсіювання на
границі.
Зниження
у
5 разів отримано для ХТ НД порівняно з відносно гладкими Si НД, синтезованого
методом парів рідини твердої речовини (ПРТ). Цікаво, було відмічено, що пік
-
T зміщується із збільшенням шорсткості, від об’ємного Si (~ 25 K )
ПРТ
виготовлення НД
ХТ виготовлення НД
(рис. 2.9).
Рис. 2.8 (a) Грубі нанодроти Si,
виконані методом хімічного травлення (ХТ). (b) k зменшується з діаметром і
здається, сильно залежить від шорсткості нанодротів, що більший, коли
синтезований через ХТ. (c) Збільшене розсіювання фонона легуючої домішки більш
ефективне для наведеного k.
Оскільки пік показано [30] при
температурі Дебая,
і початку перекиду
розсіювання, можна припустити, що (I) відносна жорсткість збільшується в
наноструктурах, і що, (II) сприяє підвищенню шорсткості розсіювання. Ключова
роль шорсткості також була помічена через порівняння відношення об’ємних НД і
значення
,
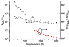
тобто, ~ 100 при 300 K, і ~ 25000 при 25 K (рис. 2.10). Зі зменшенням
температури збільшується довжина хвилі фононів і вони розсіюються. Швидке
обчислення
, де
при
T = 25 K, призводить до домінуючої фононної довжини хвилі ~ 6 нм, відповідно до
спостережуваної шорсткості на НД Si.
Рис. 2.9 Схематична зміна
теплопровідності з температурою, залежно від розміру і збільшення шорсткості
(ХТ> ПРТ>об’ємний Si)
Рис. 2.10 Різке збільшення
відношення основної маси нанодротів до теплопровідністі при зниженні
температури приписується посиленням впливу на нанодроти шорсткості поверхні. З
іншого боку здається, що шорсткость негативно впливає на
Вище згадане дослідження висунуло
якісну концепцію про зниження
через фонони, що
розсіюються на різних довжинах, тобто, через (1) діаметр нанодротів, викликаючи
граничне розсіювання, (2) поверхнева шорсткість, для більшої довжини хвилі
розсіювання фононів, і (3) атомарне розсіювання, для коротких довжин хвиль
фононів. Знову ж, різке зниження
вважали
основним внеском для 100-кратного збільшення ZT кремнієвих НД в порівнянні з
об’ємним Si. Проте, підвищена ZT ~ 1 все ще на рівні з теперішніми
використовуваними термоелектричними матеріалами, і методи для того, щоб
зменшити
більше,
можливо, не ефективні для подальшої максимізації ZT, оскільки значення близькі
до
здається,
були досягнуті.
РОЗДІЛ 3. ТЕОРЕТИЧНІ АСПЕКТИ ТЕ-НАНОМАТЕРІАЛІВ
Квантово-розмірні ефекти
проявляються у структурах для яких розміри співрозмірні з їх характерною
довжиною хвилі де Бройля. Для металів вона складає одиниці нм (через звичну
ефективну масу носіїв), а для напівпровідників десятки і соті нм. Останнє і
спрощує їх виявлиння у напівпровідникових наноструктурах.
Рис. 3.1. Залежність густини станів
наноструктур від товщини і енергії. Штриховою лінією показано густину станів
об’ємного зразка
Енергетичний спектр наноструктури є розмірно-квантований (рис. 3.2). КРЕ були теоретично передбачені у роботах Лівшица, Косовича, Сандомірського, Тавгера та Демиховського ще у 50-х роках минулого століття, а повідомлення про їх експериментальне підтвердження у роботі Огріна, Луцкого, Елінсона у плівках вісмуту (рис. 3.3), Рогачової, Любченко, і підтверджено нашими роботами у напівпровідникових структурах на основі сполук IV-VI (рис. 3.4, 3.5).
Умовами виникнення КРЕ у наноструктурах:
. Середня енергія електрона
провідності
повинна мати
порядок характерної енергії квантування
тобто
носії повинні займати невелику кількість підзон.
або
де
-
поперечна складова ефективної маси, d - характерний розмір структури.
. У зв'язку з розсіюванням
квазідискретний спектр носіїв частково розмивається на величину h/
,
де
-
час релаксації, що накладає обмеження на величину рухливості носіїв струму
3. Для плівок розсіювання носіїв від
поверхні повинно бути дзеркальним. Для цього розмір неоднорідності
має
бути меншим за довжину хвилі де Бройля
4. Носії струму в наноструктурі
повинні бути виродженими, при цьому енергія Фермі повинна бути спів мірною з
характерною енергією квантування
Рис. 3.2. Частково квантовий спектр
носіїв струму в тонкій плівці

Рис. 3.3 Залежність
електропровідності σ
(а), червоної межі оптичного поглинання для прямих оптичних переходів hνkr
та ширини забороненої зони Eg від товщини d тонких плівок Ві за кімнатної
температури (температура підкладки Тп= 380 К)
Рис. 3.4.Залежності коефіцієнта
термоелектричної потужності S2σ
від товщини шару: стехіометричного (крива 1) і з 2 % додаткового свинцю (крива
1ˊ) PbTe у наноструктурі KCl/n-PbTe/EuS; Bi, вирощеного при Tп1 = =380 K
(крива 2) і Tп2 = 300 K (крива 2ˊ) у структурі слюда/n-Bi/EuS; і Bi у
гетероструктурі слюда/PbTe/Bi/Al2O3 (dPbTe = 50 нм) (крива 3) при T = 300 K
Рис. 3.5.
Залежність RH(d) для плівок Bi при T = 300 K (а) і при Т= 380 К (б) та
залежності σ(d)
при T = 300 K і при Т= 100 К (в), а також σ(d)
для шару Bi в гетероструктурі слюда/РbТе/Ві/Аl2О3
3.2
Технології наноструктур
Практичне використання наноструктур тісно пов’язане із розробкою технічних аспектів, які можна розділити на наступні (табл.1).
Що стосується плівкової технології,
то слід у першу чергу відзначити метод молекулярно-променевої епітаксії (МПЕ)
(рис. 3.6), який крім квантових точок дає можливість отримати надгратки
квантових точок (рис.3.9) відзначимо що метод МПЕ був використаний для
отримання термоелектричних структур на основі сполук IV-VI, де було вперше
продемонстровано незалежний вплив на S і χ,
що зумовило зростання ZT.
Таблиця 1. Методи одержання наноматеріалів
|
Група |
Основні види |
Об'єкти |
|
Порошкова технологія |
Метод Глейтера (газо фазне осадження та комплектування) Гаряча обробка тиском Високі статистичні та динамічні тискипри звичайних та високих температурах |
Метали, розплави, хімічні сполуки |
|
Інтенсивна пластична деформація |
Рівноканальне кутове пресування Деформація крученням Обробка тиском багатошарових композитів Фазовий наклеп |
Метали, розплави |
|
Контрольована кристалізація із аморфного стану |
Звичайні та високі тиски |
Аморфні речовини |
|
Плівкова технологія |
Хімічне осадження із газової фази (CDV) Фазове осадження із газової фази (PVD) Електроосоадження Золь-гель технологія |
Елементи, розплави, хімічні сполуки |
Метод молекулярно-променевої епітаксії (МПЕ) призначений для вирощування кристалічних структур в надвисокому вакуумі за допомогою пучків атомів або молекул, що є компонентами зростаючого з'єднання. Таким чином, MПE являє собою удосконалення звичайного способу напилення металевих плівок випаровуванням у вакуумі. Принципи технології MПE формулювалися поступово. У 1964 році (R.B. Schoolar, J.N. Zemel) за допомогою молекулярних пучків вченими були отримані епітаксіальні плівки PbS на монокристалічній підкладці NaCl. У 1968 році (J.E Davey, T. Pankey, J.R Arthur) в умовах високого вакууму були вирощені епітаксіальні плівки GaAs на монокристалічних підкладках арсеніду галію . Ці дослідження стали основою подальшого прогресу з вирощування досконалих плівок GaAs та інших напівпровідникових сполук A3B5 і A2B6 методом MПE . Новий етап у розвитку і вдосконаленні MBE почався в 70-і роки і пов'язаний із створенням і промисловим виробництвом відповідного вакуумного обладнання.
Атомні або молекулярні пучки створюються в ефузних (Ефузія -повільне витікання газів через малі отвори, досліджене в 1911 році датським фізиком М. Кнудсеном) осередках при достатньо високій температурі і направляються до нагрітої до необхідної температури монокристалічної підкладки. Атоми в пучках рухаються по інерції в надвисокому вакуумі, не відчуваючи зіткнень один з одним або якими-небудь іншими атомами. Такий балістичний характер транспорту компонентів напівпровідникового з'єднання забезпечує створення однорідних метастабільних твердих розчинів навіть у таких системах, які в умовах, близьких до термодинамічної рівноваги (саме така ситуація має місце при традиційних способах вирощування кристалів), мають область незмішуваності. МПЕ забезпечує епітаксіальне зростання тонких плівок напівпровідникових сполук за рахунок реакцій між компонентами атомних або молекулярних пучків з поверхнею підкладки. Швидкість осадження речовини на підкладку по порядку величини зазвичай становить один моноатомний шар в секунду. Отримання якісних структур можливо при використанні високочистих джерел напилюваних компонентів і за умови точного контролю температур підкладки і джерел, що може бути реалізовано лише при комп'ютерному управлінні параметрами процесу зростання.