Задача 111. Пилокарпина гидрохлорид
Pilocarpinum hydrochloridum
α-Этил-β-(1-метилимидазолил-5-метил) γ-бутиролактон гидрохлорид
Pilocarpine hydrochlorid
Антихолинэстеразное и миатическое средство
H5C2 |
CH2 |
|
|
N |
|
CH3 |
|
|
|
N
HCl
O O
Пропускание, %
ν, см-1
ИК-спектр пилокарпина гидрохлорида, диск калия бромида, стандартный образец USP
ЯМР 1Н-спектр пилокарпина гидрохлорида, CDCl3/CD3OD, δ, м. д., стандартный образец USP
291
Задача 112. Резерпин |
|
|
|
|
|
|
|
|
|
|
|
|
|
|
|
|
|
|
|
|
|
|
|
|
Reserpinum |
|
|
|
|
|
|
|
|
|
|
|
|
|
|
|
|
|
|
|
|
|
|
|
|
|
|
|
|
|
|
|
|
N |
|
|
|
|||||||||||||
H3CO |
NH |
|
|
|
|
|
||||||||||||||||||
Reserpine* |
|
|
|
|
H |
|
|
|
||||||||||||||||
|
|
|
|
|
|
|||||||||||||||||||
Центральный нейролептик, |
|
|
|
|
|
|
|
|
|
|
OCH3 |
|||||||||||||
|
|
|
H |
|
|
|||||||||||||||||||
|
|
|
|
|
|
|
|
O |
|
|
|
|
||||||||||||
гипотензимное средство |
|
|
H3CO |
|
C |
|
|
|
O |
|
|
|
|
|
|
|
|
|||||||
|
|
|
|
|
|
|
|
|
|
|
|
|||||||||||||
|
|
|
|
|
|
|
|
|
|
|
|
|
|
|
|
|
|
|||||||
|
|
|
|
|
|
|
|
C |
|
|
|
|
|
|
|
|
OCH3 |
|||||||
|
|
|
|
|
|
|
|
|
|
|
|
|
|
|
|
|
|
|
|
|
||||
|
|
|
|
|
O |
|
|
OCH3 |
|
|
|
OCH3 |
||||||||||||
|
|
|
|
|
|
|
|
|||||||||||||||||
|
|
|
|
|
|
|
|
|
|
|
|
|
|
|
|
|
|
|
|
|
|
|||
Поглощение, А |
|
|
|
|
|
|
|
|
|
|
|
|
|
|
|
|
|
|
|
|
|
|
|
|
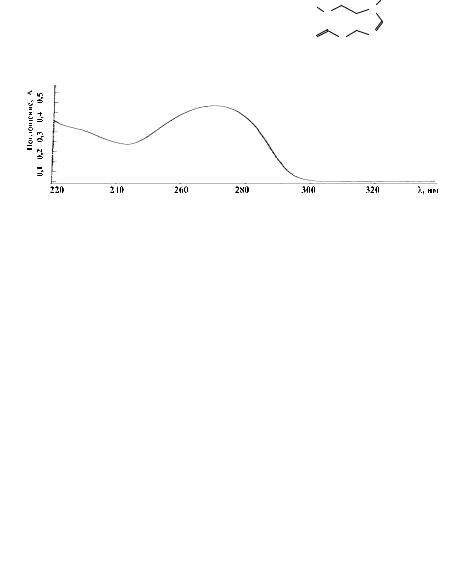
УФ-спектр 0,002 % раствора резерпина в ацетонитриле, |
|
|
λ, нм |
|||||||||||||||||||||
|
|
|
||||||||||||||||||||||
стандартный образец USP |
|
|
|
|||||||||||||||||||||
Пропускание, % |
|
|
|
|
|
|
|
|
|
|
|
|
|
|
|
|
|
|
|
|
|
|
|
|
ν, см-1
ИК-спектр резерпина, диск калия бромида, стандартный образец USP
ЯМР 1Н-спектр резерпина, δ, м. д., стандартный образец USP
292
Задача 113. Кофеин |
|
|
|
O |
|
||
Coffeinum |
|
|
|
CH3 |
|||
H3C |
|
|
|
|
N |
||
1,3,7-Триметилксантин |
N |
|
|
H2O |
|||
|
|
|
|
||||
Caffeine* |
|
|
|
|
|
|
|
O |
|
|
N N |
|
|||
Стимулятор ЦНС |
|
|
|
||||
|
|
|
|
|
|
|
|
|
|
|
CH3 |
|
|||
|
|
|
|
|
|||
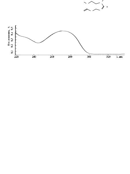
УФ-спектр раствора кофеина в 0,1 М раствора HCl, стандартный образец USP
Пропускание, %
ν, см-1
ИК-спектр кофеина, диск калия бромида, стандартный образец USP
ЯМР 1Н-спектр кофеина, δ, м. д., стандартный образец USP
293
Задача 114. Теобромин |
|
|
O |
|
|||
Theobromidum |
|
|
CH3 |
||||
H N |
|
|
|
||||
3,7-Диметилксантин |
|
|
|
N |
|||
|
|
|
|||||
Theobromide* |
|
|
|
|
|
N |
|
O |
N |
||||||
Спазмолитическое |
|||||||
|
|
|
|
|
|
||
и диуретическое средство |
|
|
CH3 |
|
|||
УФ-спектр раствора теобромина, стандартный образец USP
Пропускание, %
ν, см-1
ИК-спектр теобромина, диск калия бромида, стандартный образец USP
ЯМР 1Н-спектр теобромина, DMSO-d6, δ, м. д., стандартный образец USP
294
Задача 115. Теофиллин |
|
|
|
O |
H |
||
Theophyllinum |
|
|
|
||||
H3C |
N |
|
|
N |
|||
1,3-Диметилксантин |
|
|
|
||||
|
|
|
|
|
|||
|
|
|
|
|
|
|
|
Theophylline* |
|
|
|
|
|
|
|
O |
|
|
N N |
|
|||
Спазмолитическое средство |
|
|
|
||||
|
|
|
|
|
|
|
|
|
|
|
CH3 |
|
|||
|
|
|
|
|
|||
УФ-спектр раствора теофиллина, стандартный образец USP
Пропускание, %
ν, см-1
ИК-спектр теофиллина, диск калия бромида, стандартный образец USP
ЯМР 1Н-спектр теофиллина, δ, м. д., стандартный образец USP
295