Материал: спектр и фотометр

Внимание! Если размещение файла нарушает Ваши авторские права, то обязательно сообщите нам

Задача 106. Кодеин

H3CO

 

 

Codeinum

 

 

 

H2O

Codeine*

O

Противокашлевое средство

N

CH3

 

 

 

 

 

HO

 

 

Поглощение, А

 

 

 

λ, нм

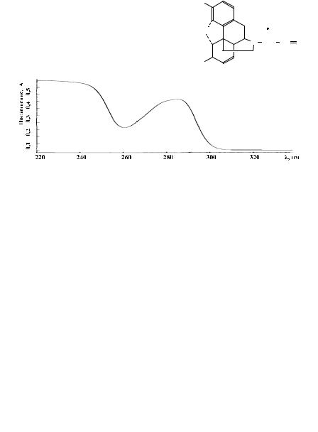
УФ-спектр 0,01 % раствора кодеина в воде, стандартный образец USP

Пропускание, %

ν, см-1

ИК-спектр кодеина, диск калия бромида, стандартный образец USP

ЯМР 1Н-спектр кодеина, δ, м. д., стандартный образец USP

286

Задача 107. Этилморфина гидрохлорид

H5C2O

 

 

Aetylmorphinum

 

HCl

hydrochloridum

O

 

CH3

Etylmorphine hydrochloride*

N

 

Наркотический анальгетик

HO

 

 

 

 

 

Поглощение, А

 

 

 

λ, нм

УФ-спектр 0,01 % раствора этилморфина гидрохлорида в воде, стандартный образец JP

Пропускание, %

ν, см-1

ИК-спектр этилморфина гидрохлорида, диск калия бромида, стандартный образец USP

ЯМР 1Н-спектр этилморфина гидрохлорида, δ, м. д., стандартный образецUSP

287

Задача 108. Налорфина гидрохлорид

HO

 

Nalorphinum

 

 

hydrochloridum

O

HCl

Nalorphine hydrochloride*

N CH2 CH CH2

Антагинист опиатов

 

 

 

 

HO

 

УФ-спектр раствора налорфина гидрохлорида в спирте, стандартный образец USP

Пропускание, %

ν, см-1

ИК-спектр налорфина гидрохлорида, диск калия бромида, стандартный образец USP

ЯМР 1Н-спектр налорфина гидрохлорида, D2O, δ, м. д.,

стандартный образец USP

288

Задача 109. Папаверина гидрохлорид

H3CO

 

 

 

 

Papaverinum hydrochloridum

 

 

 

 

 

 

 

 

 

 

6,7-Диметокси-1-(3`,4`-диметоксибензил)-

 

 

 

N

HCl

H3CO

 

 

 

 

изохинолина гидрохлорид

 

 

 

 

 

 

 

CH2

 

Papaverine Hydrochloride*

 

 

 

 

 

 

Спазмолитическое

 

 

 

 

 

 

и гипотензимное средство

 

 

 

 

 

OCH3

 

 

 

 

 

 

 

 

OCH3

 

УФ-спектр раствора папаверина гидрохлорида, стандартный образец USP

Пропускание, %

ν, см-1

ИК-спектр папаверина гидрохлорида, диск калия бромида, стандартный образец USP

ЯМР 1Н-спектр папаверина гидрохлорида, δ, м. д., стандартный образецUSP

289

Задача 110. Дибазол

N

 

Didazolum

HCl

2-Бензилбензимидазола

CH2

гидрохлоорид

N

 

Bendazol Hydrochluride*

H

 

Спазмолитическое средство

 

 

ИК-спектр дибазола, вазелиновое масло, образец авторов

ppm

ЯМР 1Н-спектр дибазола, DMSO, δ, м. д., образец авторов

290