Материал: спектр и фотометр

Внимание! Если размещение файла нарушает Ваши авторские права, то обязательно сообщите нам

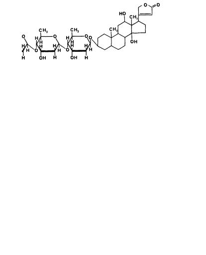
Задача 121. Дигитоксин

Digitoxynum

Кардиотоническое средство

Пропускание, %

ν, см-1

ИК-спектр дигитоксина, диск калия бромида, стандартный образец USP

ЯМР 1Н-спектр дигитоксина, CDCl3/CD3OD, δ, м. д., стандартный образец USP

301

Задача 122. Дигоксин

Digoxynum

Кардиотоническое средство

Пропускание, %

ν, см-1

ИК-спектр дигоксина, диск калия бромида, стандартный образец USP

ЯМР 1Н-спектр дигоксина, CDCl3/CD3OD ,δ, м. д., стандартный образец USP

302

Задача 123. Лантозид C

Lantosidum C

Кардиотоническое средство

Пропускание, %

ν, см-1

ИК-спектр лантозида C, диск калия бромида, стандартный образец USP

ЯМР 1Н-спектр лантозида C, CDCl3/CD3OD, δ, м. д., стандартный образец USP

303

Задача 124. Пурпуреагликозид А

Deslanoside*

Кардиотоническое средство

Пропускание, %

ν, см-1

ИК-спектр пурпуреагликозида А, диск калия бромида, стандартный образец USP

ЯМР 1Н-спектр пурпуреагликозида А, DMSO-d6, δ, м. д., стандартный образец USP

304

Задача 125. β-Каротин

 

β-Carotinum

 

 

Провитамин А

 

 

 

 

 

CH3

CH3

CH3

CH3

CH3

CH3

CH3

 

 

 

H3C

 

CH3

 

 

 

 

CH3

УФ-спектр раствора β-каротина в спирте, стандартный образец USP

Пропускание, %

ν, см-1

ИК-спектр β-каротина, диск калия бромида, стандартный образец USP

ЯМР 1Н-спектр β-каротина, δ, м. д., стандартный образец USP

305