В процессе сканирования производится
поддержание постоянной величины локального взаимодействия (силы или туннельного
тока) с помощью системы отрицательной обратной связи. При приближении зонда к
поверхности сигнал сенсора возрастает. Компаратор сравнивает текущий сигнал
сенсора с опорным напряжением Vs и вырабатывает корректирующий сигнал Vfb,
используемый в качестве управляющего для пьезопривода, который отводит зонд от
поверхности образца. Сигнал для получения изображения топографии поверхности
берется при этом из канала z - пьезопривода.

На рис. 6 показана траектория движения зонда относительно образца (кривая2) и образца относительно зонда (кривая1) при сохранении постоянной величины взаимодействия зонд-образец. Если зонд оказывается над ямкой или областью, где взаимодействие слабее, то образец приподнимается, в противном случае - образец опускается.
Отклик системы обратной связи на возникновение сигнала рассогласования Vfb=V(t) - VS определяется константой цепи обратной связи K или несколькими такими константами. Конкретные значения K зависят от особенностей конструкции конкретного СЗМ (конструкции и характеристик сканера, электроники), режима работы СЗМ (размера скана, скорости сканирования и т.п.), а также особенностей исследуемой поверхности (степень шероховатости, масштаб особенностей топографии, твердость материала и пр.).
В целом, чем больше значение K тем точнее цепь обратной связи отрабатывает черты сканируемой поверхности и тем достовернее данные, получаемые при сканировании. Однако при превышении некоторого критического значения K система обратной связи проявляет склонность к самовозбуждению, т.е. на линии скана наблюдается зашумленность.
Информация, полученная с помощью сканирующего зондового микроскопа, хранится в виде СЗМ кадра- двумерного массива целых чисел Zij (матрицы). Каждому значению пары индексов ij соответствует определенная точка поверхности в пределах поля сканирования. Координаты точек поверхности вычисляются с помощью простого умножения соответствующего индекса на величину расстояния между точками, в которых производилось считывании еинформации. Как правило, СЗМ кадры представляют собой квадратные матрицы, имеющие размер 200x200 или 300х300 элементов.
Визуализация СЗМ кадров производится
средствами компьютерной графики, в основном, виде двумерных яркостных (2D) и
трехмерных (3D) изображений. При 2D визуализации каждой точке поверхности
Z=f(x,y) ставится в соответствие тон определенного цвета в соответствии с
высотой точки поверхности (рис. 7а). При 3D визуализации изображение
поверхности Z=f(x,y) строится в аксонометрической перспективе с помощью пикселей
или линий. Наиболее эффективным способом раскраски3D изображений является
моделирование условий подсветки поверхности точечным источником, расположенным
в некоторой точке пространства над поверхностью (рис. 7 б). При этом удается
подчеркнуть отдельные малые особенности рельефа.

а) б)
Рис. 7. Способы графического представления СЗМ - изображений:
а) - 2D, б) - 3D с боковой подсветкой
сканирующий зондовый микроскопия
СЗМ изображения, наряду с полезной
информацией, содержат также много побочной информации, искажающей данные о
морфологии и свойствах поверхности. На рис. 8 схематически представлены
возможные искажения в СЗМ изображениях поверхности, обусловленные не
идеальностью аппаратуры и внешними паразитными воздействиями.
Рис. 8. Возможные искажения в СЗМ
изображениях
СЗМ изображения, как правило, содержат постоянную составляющую, которая не несет полезной информации о рельефе поверхности, а отражает точность подвода образца в середину динамического диапазона перемещений сканера по оси Z.Постоянная составляющая удаляется из СЗМ кадра программным способом.
Изображения поверхности, получаемые
с помощью зондовых микроскопов, как правило, имеют общий наклон. Это может быть
обусловлено несколькими причинами. Во-первых, наклон может появляться
вследствие неточной установки образца относительно зонда или не плоско
параллельности образца; во-вторых, он может быть связан с температурным
дрейфом, который приводит к смещению зонда относительно образца; в-третьих, он
может быть обусловлен нелинейностью перемещений пьезосканера. На отображение
наклона тратится большой объем полезного пространства в СЗМ кадре, так что
становятся невидны мелкие детали изображения. Для устранения данного недостатка
производят операцию вычитания постоянного наклона (левелинга) (рис. 9).
Рис. 9. Устранение постоянного
наклона из СЗМ - изображения
Не идеальность свойств пьезосканера приводит к тому, что СЗМ изображение содержит ряд специфических искажений. В частности, поскольку движение сканера в плоскости образца влияет на положение зонда над поверхностью (по оси Z), СЗМ изображения представляют собой суперпозицию реального рельефа и некоторой поверхности второго (а часто и более высокого) порядка. Для устранения искажений такого рода методом наименьших квадратов находится аппроксимирующая поверхность второго порядка, имеющая минимальные отклонения от исходной поверхности, и затем данная поверхность вычитается из исходного СЗМ изображения.
Шумы аппаратуры, нестабильности
контакта зонд-образец при сканировании, внешние акустические шумы и вибрации
приводят к тому, что СЗМ изображения, наряду с полезной информацией, имеют
шумовую составляющую. Частично шумы СЗМ изображений могут быть удалены
программными средствами с помощью применения различных фильтров.
.2 Сканирующие туннельные микроскопы
Основными методами СТМ являются методы Постоянной Тока и Постоянной Высоты для получения данных о рельефе, дополняемые Методиками Спектроскопических измерений для получения распределений «работы выхода» («высоты барьера») и «локальной плотности состояний» (ЛПС), I(z) и I(V) кривые отображают химические и электронные свойства поверхности.
СТМ - метод постоянной тока (МПТ)
предполагает поддержание в процессе сканирования постоянной величины
туннельного тока с помощью системы обратной связи. При этом вертикальное
смещение сканера (сигнал обратной связи) отражает рельеф поверхности. Скорость
сканирования в МПТ ограничивается использованием системы обратной связи.
Большие скорости сканирования могут быть достигнуты при использовании Метода
Постоянной Высоты (МПВ), однако МПТ позволяет исследовать образцы с развитым
рельефом. 4
Рис.10. Обобщенная схема метода постоянного тока
При использовании СТМ - метода
постоянной высоты (МПВ) сканер СТМ перемещает зонд только в плоскости, так что
изменения тока между острием зонда и поверхностью образца отражают рельеф
поверхности. Поскольку по этому методу нет необходимости отслеживать зондом
расстояние до поверхности образца, скорости сканирования могут быть более
высокими. МПВ может быть применен, таким образом, к образцам с очень ровной
поверхностью, поскольку неоднородности поверхности выше 5-10 А будут приводить
к разрушению кончика зонда.
Рис.11. Обобщенная схема метода
постоянной высоты
СТМ - отображение работы выхода - получается путем поточечного измерения логарифмических изменений туннельного тока при изменении расстояния зонд-образец, т.е. наклона кривой зависимости log I от z. При проведении измерений ЛВБ расстояние зонд-образец варьируется синусоидально, например, путем приложения дополнительного переменного напряжения к сигналу обратной связи, подаваемому на z-секцию пьезосканера. Частота модуляции выбирается много большей полосы пропускания системы обратной связи СТМ.
Рис.12. СТМ - отображение работы
выхода
СТМ - отображение плотности
состояний основывается на том, что измеряемый в СТМ ток определяется процессами
туннелирования через зазор зонд-поверхность образца его величина зависит не
только от высоты барьера, но также и от плотности электронных состояний.
Соответственно получаемые в СТМ изображения являются не просто изображениями
рельефа поверхности образца, на эти изображения может сильно влиять
распределение плотности электронных состояний по поверхности образца.
Определение ЛПС может также помочь в различении химической природы
поверхностных атомов. Метод основывается на измерении распределения ЛПС и
производится одновременно с получением СТМ изображения. В процессе сканирования
напряжение смещения модулируется на величину dU. Частота модуляции выбирается
много большей полосы пропускания системы обратной связи СТМ. Результирующая
модуляция туннельного тока dI измеряется, делится на dU и результат
представляется в качестве ЛПС изображения.
Рис.13. СТМ - отображение плотности
состояний
Характерные величины туннельных
токов при СТМ, регистрируемых в процессе измерений, являются достаточно малыми
- вплоть до 0,03 нA (а со специальными измерительными СТМ головками - до 0,01
нA), что позволяет также исследовать плохо проводящие поверхности, в частности,
биологические объекты. Среди недостатков СТМ можно упомянуть сложность
интерпретации результатов измерений некоторых поверхностей, поскольку СТМ
изображение определяется не только рельефом поверхности, но также и плотностью
состояний, величиной и знаком напряжения смещения, величиной тока. Например, на
поверхности высоко ориентированного пиролитического графита (ВОПГ) можно видеть
обычно только каждый второй атом. Это связано со спецификой распределения
плотности состояний (рис.14).
Рис. 14. Атомарное разрешение на
ВОПГ
СТМ способен формировать изображения отдельных атомов на поверхностях металлов, полупроводников и других проводящих образцов путем сканирования образца остроконечной иглой на высоте порядка нескольких атомных диаметров, так что между острием и образцом протекает туннельный ток. Преимуществами являются возможность получения сверхвысоких (атомарных) разрешений (рис.14), недостатками - возможность работы только с проводящими образцами, высокие требования к чистоте поверхности.
Режим спектроскопии (ССМ) может быть использован не только в качестве инструмента для получения рельефа поверхности, но также и для картирования ряда других характеристик и материальных свойств образца, в честности, зарядовой плотности, адгезии и упругости, а также сил разрыва связей лиганд-рецептор. ССМ может быть использован также в качестве инструмента силовой спектроскопии - для измерений зависимости сил от расстояния. Для колеблющегося кантилевера сила взаимодействия зонд-поверхность может оказывать влияние также и на некоторые другие характеристики - амплитуду, частоту, фазу, добротность и т.д. Соответствующие зависимости этих характеристик от расстояния могут также рассматриваться как спектроскопические данные.
Спектроскопические
измерения Локальной Высоты Барьера (ЛВБ спектроскопия) позволяет получать
информацию о пространственном распределении микроскопической работы выхода
поверхности, как описывается ниже. Туннельный ток ![]()
в СТМэкспоненциально
затухает с расстоянием зонд-образец z как![]()
где константа затухания
k определяется выражением
При отображении ЛВБ мы измеряем чувствительность туннельного тока к вариациям расстояния зонд-образец в каждом пикселе СТМ изображения. Получаемая по этому методу ЛВБ является так называемой видимой высотой барьера U.
Эта величина U обычно сравнивается со средней работой выхода Uav = (Up + Us)/2, где Up и Us являются работами выхода материала зонда и образца соответственно. Во многих случаях экспериментальная величина U не равна в точности Uav но является меньшей величиной. Тем не менее, известно, что величина U близка к локальному поверхностному потенциалу (локальной работе выхода) и является его хорошей мерой.
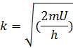
СТМ - I(z) спектроскопия
измеряет туннельный ток в зависимости от расстояния зон - образец в каждой
точке СТМ изображения. Для Uav= I eV 2k = 1.025 A-IeV-I. Резкая зависимость
I(z) помогает определить качество острия зонда. Как установлено эмпирически
если туннельный ток IT падает в два раза при Z < 3 A, то острие рассматривается
как очень хорошее, если при Z < 10 A, то использование острия возможно для
получения атомарного разрешения на ВОПГ. Если же ток спадает в два раза при Z
> 20 A, то зонд не может быть использован и должен быть заменен.
Рис. 15. СТМ - I(z)
спектроскопия
СТМ - I(v) спектроскопия
(or Current Imaging Tunneling Spectroscopy, CITS) предполагает одновременное
получение обычного изображения рельефа при фиксированных значениях тока Io и
напряжения смещения Vo. В каждой точке изображения обратная связь разрывается,
и напряжение смещения проходит ряд значений Vi при этом записываются
соответствующие значения тока Ii. Затем напряжение возвращается к Vo и обратная
связь включается снова.
Рис. 16. СТМ - I(v)
спектроскопия
Каждая I-V кривая может
быть получена за несколько миллисекунд, так что дрейф положения зонда не
оказывает существенного влияния. Эта процедура генерирует полное токовое
изображение Ii(x,y) для каждого значения напряжения Vi в дополнение к
изображению рельефа z(x,y)|VoIo. CITS значения могут быть использованы для
расчета токового разностного изображения DIVi, Vj(x,y) где Vi и Vj ограничивают
частные поверхностные состояния, производя реальное пространственное
отображение поверхностных состояний с атомарным разрешением. Эта методика может
быть использована, например, в сверхвысоком вакууме для отображения заполненных
состояний адатомов или ненасыщенных связей для реконструкций кремния.
1.3 Атомно-силовая
микроскопия
В реальных условиях (в условиях окружающей атмосферы) в воздухе практически всегда присутствует некоторая влажность и на поверхностях образца и иглы присутствуют слои адсорбированной воды. Когда кантилевер достигает поверхности образца возникают капиллярные силы, которые удерживают иглу кантилевера в контакте с поверхностью и увеличивают минимально достижимую силу взаимодействия. Электростатическое взаимодействие между зондом и образцом может проявляться довольно часто. Оно может быть как притягивающим, так и отталкивающим. Ван дер Ваальсовы силы притяжения, капиллярные, электростатические и силы отталкивания в точке, где зонд касается образца, в равновесии уравновешиваются силой, действующей на кончик зонда со стороны изогнутого кантилевера. Недостатки туннельного режима были преодолены с изобретением Биннигом атомно-силового микроскопа.