Материал: Ревнощі як фактор любовних стосунків

Внимание! Если размещение файла нарушает Ваши авторские права, то обязательно сообщите нам

Однак жіночі ревнощі теж можуть мати власницький характер - для твердження в ролі сімейного «диктатора».

На різних фазах любовних відносин - у період їхнього розвитку, пишного розквіту й неминучого старіння - ревнощі можуть проявлятися по-різному (Т.М. Заславська, В.А. Гришин).

Перша фаза - уява ідеального улюбленого, платонічна любов до людини, схожій на ідеал. У деяких людей ревнощі проявляються вже на цій стадії розвитку любовних відносин.

Друга фаза - страсті й полум'яне почуття. Сприятливі умови для виникнення ревнощів. Із цим добрі погодиться теорія Д. Деліса про дисбаланс у любовних стосунках, по якій у період виникнення взаємної любові обоє партнера однаково стурбовані тим, як ставиться до нього кохана людина, і обоє побоюються втратити улюбленого. Однак у випадку розвитку неврівноважених відносин («парадокса страсті») в один з партнерів (більше залученого у стосунки по тим або іншим причинам) розвиваються болісні почуття ревнощів і страху бути покинутим.

Третя фаза розвитку любовних відносин - період, коли почуття стають більш спокійними, родинними. Ревнощі, якщо вони були властиві цьому союзу, рідко зберігають свою колишню силу, їх інтенсивність зменшується. У виняткових випадках ревнощі залишаються такими ж сильними. Т. М. Заславська й В. А. Гришин затверджують, що якщо один із літнього чоловіка й жінки ревнивий, то любов триває довше. Із третьою фазою можна зіставити довгострокові любовні стосунки по Д. Делісу, які існують, коли немає дисбалансу відносин, тобто обоє партнера приблизно однаково залучені в них. Такі стосунки можна спостерігати в успішному шлюбі - відповідно до класифікації В. А. Сисенко - «середніх шлюбах» зі стажем 10 - 20 років, коли формується й зміцнює подружня дружба, що стабілізує сімейний союз (хоча слід зазначити, що, по В. М. Сєченову, любов між чоловіком і жінкою вже через три роки перероджується в дружбу). Отут проявляється складність самого предмета вивчення - любові й ревнощів, тому що кожний дослідник виходить багато в чому з власного досвіду й зневажає точними визначеннями зрозуміти. Безсумнівним, на нашу думку, є той факт, що любовні стосунки з сильним дисбалансом, коли один з партнерів перебуває в найсильнішій емоційній залежності від іншого, супроводжуваною болісними ревнощами й непевністю в подальшій долі цього союзу, мають дуже малу ймовірність «дожити» хоча б до стадії «середніх шлюбів».

Можливе існування так званої «установки на ревнощі», тобто внутрішньої готовності зустрітися зі зрадою, обманом, зрадництвом коханої людини, очікування відповідного поводження. Як правило, така установка формується вже в юнацькі роки, коли ще на шкільній лаві підлітки «збагачуються» висновками про любов і вірність - хлопці довідаються, що «всі смороду - зрадниці», а дівчини - що «вусі чоловіка - негідники». Такі висновки легко прищеплюються, якщо дитині в дитинстві доводити бути свідком невірності батьків, а парубку - друзів, товаришів по службі. Тоді може сформуватися так звані «завбачливі ревнощі», ті ж самі поводження очікується від чоловіка. Якщо ж довелось випробувати невірність коханого або чоловіка, очікування невірності може бути перенесене й на іншого партнера.

Т.М. Заславська й В.А. Гришин виділяють наступні типи ревнощів.

. Власницькі ревнощі. Їх «девіз»: «Річ завжди повинна належати своєму хазяїнові». Наприклад, ревнивий чоловік і залишки так званого «подвійного стандарту». Обов'язково пов'язана з сильним переживанням зради партнера з погрозою розриву відносин. Можливі наступні причини власницьких ревнощів: вони можуть бути спровоковані зрадою або підозрілим поводженням партнера, можливі від охолодження почуттів коханого, відсутності інформації про нього, розлуки, що компрометує інформації. Досить часто має місце необґрунтовані ревнощі, але приводу яких чоловік і жінка звертаються в психологічні консультації. Варто також мати на увазі, що не кожна ситуація навіть реальної зради викликає сильні ревнощі партнера, і той факт, що ревнощі можуть існувати й без кохання. Власницьких ревнощів у сильному ступені сприяють певні риси характеру, такі як властолюбство, емоційна холодність, нездатність прощати, педантична впертість, любов до «порядку у всьому» і просто невмінь поважати особистість іншої людини.

. Ревнощі від защемлення. Звичайно властива людям із тривожно-недовірливим характером, невпевненим у собі, з комплексом неповноцінності, зі схильністю до перебільшення небезпеки. Ревнощів цього типу сприяє низька самооцінка, що, у свою чергу, може сформуватися вже до шлюбу, а може бути викликана неправильними діями іншої людини або переживанням своєї сексуальної неспроможності. Для людей, що ревнують від защемлення, характерне небажання допустити порівняння з можливим суперником з побоювання програти в очах коханої людини. При власницьких ревнощах більше страждає той, кого ревнують, при ревнощах від защемлення сумніви більше мучать самого ревнивця.

. Звернені (відбиті) ревнощі. Психологічний механізм утворення: їх джерело - проекція власної подружньої невірності, ненадійності на іншого партнера. Логіка таких ревнощів проста: якщо я можу стати об'єктом любові іншого, то й мій шлюбний партнер на це здатен. Так, невірні чоловіки й дружини часто виявляються надмірно ревнивими. Подібні ревнощі найбільш далекі від любові.

Ревнощі - це відсутність розуму. Ми прагнемо зберегти своє добро, тому що не бачимо, що душу й дух того, чиїм тілом ми так ревниво володіємо, абсолютно вільні. Якщо ви починаєте зауважувати, що в людях є щось більш тонке, із чим ви повинні налагодити зв'язки, ви стаєте більш щедрим. І ті методи, які ви використаєте стосовно коханої істоти, стають делікатнішими й розумнішими. Тоді ця людина починає прив’язуватися до вас, тому що бачить, що ви розважливі. Коли страх зникає, ви перестаєте бути напруженим, грубим, злим, мстивим, ви заспокоюєтеся й вам вдається знайти рішення перед проблемами.

Ревнощі - це почуття, що виникає у зв'язку з тим, що для людини існує можливість втратити щось, що йому належить або щось, що він уважає своїм. Це не обов'язково що-небудь дуже дороге, без чого він ніяк не зможе обійтися, а просто те, що він, іноді несправедливо уважає своєю власністю. Як і заздрість, ревнощі при домінуванні мотивів досягнення, орієнтують людину на інтенсифікацію власної активності. Але пасивну, споживчо-орієнтовану людину ревнощі, як правило, підштовхують до агресії проти претендента (як заздрість проти власника).

Тепер мені хотілося б сказати кілька слів про причини виникнення ревнощів. Серед них виділяються наступні.

1. Невпевненість у собі - це психологічний стан, що характеризується невір'ям у власну привабливість або у власні здатності в очах інших. Від цих ревнощів найбільшою мірою страждає сам ревнивець, тому їх можна назвати само руйнуючими.

2. Почуття власності - це сприйняття партнера, як власності, що належить ревнивій людині. Такі ревнощі можуть називатися агресивними, тому що приносять багато нещастя жертві ревнощів, який дуже важко вирватися з такого роду відносин, що переростають у залежність.

3. Егоїзм - характеризується тим, що ревнивець хоче утримати свого партнера тільки тому, що бачить у ньому засіб для досягнення якого-небудь життєвого, емоційного або фізичного комфорту. Йому так зручніше, а якщо хто-небудь буде противитись, спробує позбавити його цього дорогоцінного комфорту, отут й виявляться ревниві реакції, які, насправді, замасковані егоїстичні.

4. Криза довіри й віри - це значить, що люди, переживаючи разом які-небудь труднощі, ламаються від їхнього достатку й сталості. Швидше за все, у них просто не вистачає довіри до тих, хто поруч з ними, і вони вічно чекають якої-небудь підлості або зради. І, звичайно, у такій ситуації ці зради негайно з'являються, тому що необґрунтовані підозри дуже провокують, направляють «підозрюваного» по очікуваному від нього шляху.

5. Порушене почуття справедливості - прояви цього почуття нерідкі в так званих «робітників» ситуаціях, коли дві людини однаково справляються з ідентичною роботою, а нагорода дістається тільки одному з них. Ця ситуація породжує ревнощі, викликану почуттям несправедливості.

По-перше, треба вказати на ревнощі, які виникли з почуття власної неповноцінності. Такий, що сумнівається у своїх достоїнствах, у своїй привабливості, людина, навіть коли її люблять, майже в це не вірить. Вона усіляко намагається заважати коханому спілкуватися з іншими, усіляко намагається уникнути порівняння. Часто «небезпека» порівняння намагається, як би заздалегідь нейтралізувати критикою навколишніх, нинішнього часу, недосконалості природи людини, міркуваннями про загальну порочність, розпусність і про свою власну моральну чистоту. Такий ревнивець поводиться не так грубо, як деспотичний, але нестримувані ревнощі у всіх формах гублять кохання і родину.

По-друге, ревнощі характерні для людини-егоїста, що розглядає інших людей - як засіб для свого життя, а не як її ціль. Споконвіків егоїзм уважається «глибинним коренем» чи не всіх пороків людини. З погляду Шопенгауера егоїстична людина в малій мірі здатна до страждання, дружбі й любові. Звичайно, не можна погодитися із цим занадто категоричним твердженням. Однак любов егоїста споконвічно збиткова, у силу його нездатності зрозуміти й визнати абсолютну самоцінність іншої людини й забути про себе заради нього. Любов-агапе далека її натурі. Проте ревнощі випливають з неї.

По-третє, ревнощі виростають з такої благодатного для їх ґрунту, як недовіра до коханого і його поводженню, споконвічне або придбане. Ревнощі - це криза довіри й віри у стосунках, а причин тут безліч: і надмірна підозрілість закоханого, і легкодумство коханого, і тривалі розлуки по необхідності, і «злі обмови» навколишніх, і багато чого іншого. Мабуть, це найбільш «виправдані» ревнощі, якби вони не були власне кажучи «кризою любові», початком її кінця [13].

Але мені здається, що не можна в кожному конкретному випадку говорити тільки про одну єдину причину, виникнення ревнощів, ігноруючи всі інші. З мого погляду досить важко чітко виявити який-небудь конкретний побудник ревнощів. Швидше за все, існує якийсь пропорційний взаємозв'язок між усіма ними. І залежно від початкового характеру створюються умови для домінантного прояву однієї причини, а інші в цей момент є лише її тлом, її додатковими частинами, що створюють повноту ревнивих переживань.

Ревнощі, як ніяке інше почуття, здатна приймати як природні форми (побутові подружні ревнощі), так і може доходити до афекту й перетворюватися в щиросердечну хворобу (марення ревнощів). Шкідливо не саме почуття ревнощів, а крайні форми його прояву, що виходять за межі норми (підозрілість, необґрунтовані щиросердечні роздирання, образи, спрага мести).

Саме про такі ревнощі, що принесла чимало лих і сприяла розриву шлюбних відносин, дуже образно сказав Вольтер: "Похмурі ревнощі невірною ходою треба за керівним нею підозрою; перед нею, з кинджалом у руці, ідуть ненависть і гнів, розливаючи свою отруту... За ними треба каяття..." [14].

Фахівці виділяють дві форми ревнощів, що виходить за природні межі: патологічна й марення ревнощів. При патологічній формі досить буває незначного приводу для підозр. При маренні ревнощів скільки-небудь реальний привід взагалі відсутній. Ситуації, навколо яких будуються всі маревні висловлення, не щирі, а створені хворобливою уявою. У медицині це явище називається "синдром уявлюваного третього".

Якщо ревнощі близькі до патології, людині однаково , до чого ревнувати: до минулого, сьогоденню або майбутньому. Він не може забути, що колись його дружина глянула на інший, була кимсь захоплена. Він готовий приревнувати дружину до старезного старого або навіть підліткові. Причому такий ревнивець може придумати безліч неіснуючих доказів зради, і сам повірить у них. У його свідомості підозри перетворюються в реальні факти, тому перед такою ревнивою людиною даремно виправдуватися.

Патологічні ревнощі властиве людям особливого складу характеру: підозрілим, недовірливим, схильним усюди бачити обман і підступ, думати, що всієї їхньої неприємності кимсь навмисне підбудовані. От чому такій людині достатній будь-який підозрілий, з його погляду , факт, щоб побудувати на ньому свої обвинувачення в невірності чоловіка або чоловік і жінка. При цьому приводом для різного роду підозр і припущень є фактично все: дружина (чоловік) була в гостях занадто весела, погодилася потанцювати із чужою людиною, затрималася на роботі, обновила гардероб і т.п [13].

Ревнивець завжди сумнівається, не вірить у щирість слів коханої людини. У ньому завжди збуджується уражене самолюбство, що переростає у відчуженість, злість і ненависть. "Ревнивці, - писав Сервантес, - вічно дивляться в підзорну трубу, що речі малі перетворює в більші, карликів у гігантів, здогаду - в істину". Залежно від психологічного змісту, типу й інтенсивності переживання психологами виділяється кілька реакцій ревнощів (див. табл. 2.1.).

Прояву ревнощів розрізняються залежно від темпераменту. Наприклад, холерики як люди запальні й більше агресивні й реагують відповідно при передбачуваній зраді партнера: ображають, загрожують, вистежують, шантажують і т.д.

Люди флегматичні, пасивні випробовують мучення при думці про можливу зраду, переживають свою безпорадність, при цьому вони можуть не випробовувати агресивних почуттів до партнера або суперника, висуваючи виправдувальні пояснення. Такі люди страждають мовчачи, не афішуючи своїх почуттів, сподіваючись на подальше відновлення нормальних відносин.

Таблиця 2.1 Психологічний зміст і феноменологія реакцій ревнощів (за А. Н. Волковою)

Критерій класифікації

Види реакцій ревнощів

Опис реакцій ревнощів

Норма - патологія

нормальні

Адекватно відбивають ситуацію в умовах існування реального суперника. Збережено самоконтроль за реакціями ревнощів.


патологічні

Перекручене відбиття ситуації. Удаваність суперника. Неконтрольованість реакцій ревнощів.

Психологічний зміст реакцій ревнощів

когнітивні

Рефлексія й аналіз причин зради. Простежування генезису й причин зради. Їхня когнітивна атрибуція. Пошук винного.


афективні

Емоційне, амбівалентне переживання (розпач, страх, ненависть, презирство до себе й партнерові, почуття неповноцінності, любов, надія). Паттерн емоцій визначається індивідуально-типологічними характеристиками особистості.

нтенсивність (глибина та тривалість переживання)

сильне та глибоке

Виникає в умовах сприятливого шлюбу. Підсилюється фактором несподіванки зради, якщо це відбувається вперше.  Виникає при сильному страху втратити партнера (при ненадійній прихильності й невротичній любові). Посилення ревнощів пов'язане з особистісними особливостями: інертністю, недостатньою соціальною й комунікативною компетентністю, обмеженістю кола спілкування й соціальних контактів (самітність), тенденцією до ідеалізації відносин, явно вираженим модусом Опис реакцій ревнощів "мати" у стосунках любові (Е. Фромм), завищеною або заниженою самооцінкою особистості, сильною залежністю від партнера в досягненні життєвих цілей (каръєра, матеріальна забезпеченість).


помірне

Досвід переживання подружньої зради в історії сімейних відносин. Відкрите каяття совершившего зраду, подтвержения стабільності шлюбу й винятковості партнера - чоловіка.


Мабуть, найбільше болісно переживають ревнощі меланхоліки, які схильні до ревнощів від ущемлення. Вони можуть настільки глибоко поринати у свої страждання, що подальше життя для них стає нестерпною. Будучи недовірливими за своїм характером, такі люди не тільки підозрюють свого партнера в зраді, але й "бачать" насправді те, що підтверджує їхні домисли. В остаточному підсумку своїми ревнощами вони переводять як свого партнера, так і самого себе, можуть зважитися на розпачливий крок - суїцид через "зганьблену любов".

Існують і особливості ревнощів, специфічні для чоловіків і жінок. Так, чоловічі ревнощі часто проявляються як результат традиційно переважного права чоловіків перед жінкою, чоловіка частіше подають на розлучення через зраду дружини, хоча в цілому чоловіка частіше змінюють.

Жіночі ревнощі мають свою соціально-біологічну основу. Виношування й вигодовування дитини має обов'язковою умовою захист і допомогу батька. Самою природою жінці визначено сподіватися на чоловіка й розраховувати на чоловічу відданість, тому заклопотаність відповідними почуттями чоловіка в жінки соціально й біологічно обумовлені в період залицяння й першого років шлюбу. Уважається, що в ці періоди жінка більше ревнива: вона невільна від цих почуттів у тій мері, як невільна від природного бажання мати дітей. Це не провина, а, скоріше, її слабість [13].

Однак жіночі ревнощі теж можуть мати власницький характер - для твердження в ролі сімейного "диктатора". Першою ознакою надмірних ревнощів дружини є ревнощі до батьків чоловіка; інший прояв ревнощів - дитини до батька. Це може свідчити про те, що чоловікові не вдалося забезпечити щиросердечний спокій жінці й вона не почуває себе в безпеці.

Відомі випадки ревнощів матері-свекрухи до невістки: мати намагаються "повернути свого сина", щиро вважаючи, що жодна жінка, крім її, не здатна подбати про її "дитину". Така претензія на винятковість може привести до двоякого результату: або до розладу між чоловіками й "хронічному" холостяцтву чоловіка, або до втрати любові до матері, який би сильної вона не була.

У кожному разі ревнощі не проходять безвісти ні для одного з люблячих, будь те батьки, закохані або які прожили багато років разом чоловік і жінка. Рано або пізно у стосунках намітиться розлад, що може привести до повного розриву відносин, якщо ревнивець або ревнивиця вчасно не зупиниться й не задумається над своїм поводженням.

Часом люди грають ревнощі з якою-небудь метою: коли людині доводиться виправдуватися, він мимоволі стає уступчивіше. Немає нічого принизливіше, чим виправдуватися в неіснуючій невірності, каятися в гріхах, яких не робив. Ревнощі як суперництво, як острах втратити один одного ще зрозуміла, хоча й небажана. Ревнощі як хвороба, як егоїзм, як приниження улюбленого недовірою - ганебна й неприпустима. Від такого почуття можна й потрібно позбуватися.

Як же впоратися з ревнощами? Просто забути або заглушити в собі це почуття на підставі того, що воно негарне, не можна. Будучи подавленими, ці болісні почуття не можуть зникнути лише тому, що від них відвертаються, вони переходять у підсвідомість і знаходять вихід де-небудь в іншім місці (на інших людях, на дітях, на тварин, які ніякого відношення до даних переживань не мають).

Коли почуття з ретельно, вони взагалі не проявляються зовні, але підточують фізичне й психічне здоров'я особистості. Хронічні тілесні нездужання часто є наслідком подавлених страждань, тільки в іншім обличчі; вони подібні до відкритих ран, захованим глибоко усередині. Сховані й незадоволені очікування одного з партнерів приводять до ще більших труднощів у взаєминах. І в такій ситуації людина намагається захиститися, уберегти свої страхи від сторонніх доторкань. А треба надходити саме навпаки. Є деякі психологічні прийоми, що допомагають упоратися з ревнощами [13].

2.2     Клінічні аспекти надцінних ідей ревнощів

Розгляд надцінних ідей ревнощів пов'язано з тим, що, ставлячись до області пограничної психіатрії, вони як би ближче стоять до реакцій нормальних ревнощів (невротичним і ін.), розташовуються поруч із ними за ступенем важкості переживань і характеру поводження, а також по психологічної зрозумілості.

Однак П. Б. Ганнушкін, говорячи про надцінні ідеї в параноїдних психопатів, не називає їхнім маренням і не говорить про широко проявляючих можливостях, переходу надцінних ідей у маревні. Він також не має на увазі при цьому яких-небудь певних (як, скажемо, марення) у тематичному відношенні продукцій, а говорить про мислення психопатів-параноїків, самою характерною властивістю яких є схильність до утворення так званих надцінних ідей, у владі яких вони потім виявляються, оскільки ці ідеї цілком заповнюють психіку й впливають на усю поведінку. А. С. Тиганов (1985), характеризуючи надцінні ідеї, вказує, що синдром надцінних ідей - це стан, при якому судження, що виникло внаслідок реальних обставин і на основі дійсних фактів, здобуває у свідомості хворого пануюче, не відповідному їхньому щирому значенню місце. Надцінні ідеї супроводжуються вираженою афективною напругою. Фактично не зміст ідеї становить сутність надцінностей, а афективна реакція, що відбиває значимість цього змісту для хворого. Внутрішня переробка цих переживань усе більше підсилює їхню гостроту. Автор думає, що лише в окремих випадках понад коштовні ідеї можуть трансформуватися в марення. Дане зауваження нам здається особливо істотним, тому що в цей час питання про таку трансформацію вирішується часом занадто просто. Практично іноді виходить, що надцінні ідеї (наприклад, ідеї, ревнощів) як би втрачають самостійне значення й описуються лише як стадія синдромогенеза, що передує бреду [8].

Сімс висловив припущення, що патологічні ревнощі можуть проявлятися у формі "надцінної ідеї", тобто припустимої, зрозумілої думки, на якій пацієнт зосереджений у неадекватному ступені. Ця думка не зустрічає опори з боку пацієнта, і хоча вона не маревна, він звичайно надає великого значення перевірці вчинків партнера й збереженню вірності з його боку, незважаючи на шкоду, наносимий цим і йому особисто, і партнерові.

Особливості надцінних ідей при патологічних ревнощах:

власні думки суб'єкта;

егосинтонні;

піддаються корекції на основі раціональних доводів;

не зустрічають внутрішнього опору з боку суб'єкта.

Теорії патогенезу.

.        Психодинамічні теорії. Фрейд вважав, що маревні ревнощі являють собою проекцію латентної гомосексуальності за принципом "я не люблю його за те, що вона любить його". Kleіn з наявність суперництва між сином (суб'єкт ревнощів) і батьком (передбачуваний суперник) при едиповому комплексі. Seeman вважав, що важливо суперництво в сполученні з механізмами проекції й ідентифікації із суперником. Теорія прихильності змогла пояснити чоловічі ревнощі, почуття гніву й агресії стосовно жінки-партнера в рамках близьких відносин. Особи з ненадійним прототипом прихильності, особливо в сполученні із тривожним і типами особистості, що застряє, можуть представляти групу підвищеного ризику розвитку тривоги із приводу прихильності до них їхніх партнерів. Ненадійний прототип прихильності сильно корелює із прикордонним розладом особистості.

.        Когнітивні теорії. Enoch і Trethowan уважали, що почуття власної недостатності, підвищена сензитивність і відсутність відчуття безпеки є основними факторами, що привертають, у розвитку патологічних ревнощів. Tarrіer і колеги в описаній ними когнітивної моделі припускали, що в людей з такими особливостями часто відзначаються перекручування й помилки при сприйнятті й інтерпретації подій і інформації, при цьому провокуюча подія викликає помилкове припущення й запускає розвиток патологічних ревнощів. Ці концепції нагадують елементи теорії прихильності, особливо що стосується прикордонного або паранойяльному розладу особистості. Docherty і Ellіs із трьох чоловіків, що страждали патологічними ревнощами, кожний з яких у підлітковому віці був свідком позашлюбних полових зв'язків своєї матері. Хоча ці автори інтерпретували патологічні ревнощі в даних випадках у термінах психодинамічної теорії (зв'язок з едиповим комплексом), вони пропонували як метод лікування для подолання когнітивної помилки метод, що нагадує когнітивно-поведінкову терапію.

.        Роль сексуальної дисфункції. Висловлене також припущення, що патологічні ревнощі можуть розвиватися як реакція на зниження сексуальної функції. Cobb привернув увагу до літніх чоловіків, які внаслідок вгасання полової функції нездатні задовольнити більше молодих дружин. Vauhkonen уважав, що сексуальна дисфункція важливо сама по собі, але незрозуміло, чи треба її вважати первинної або вторинної. Todd і колеги відзначали, що недостатні розміри полового члена (реальні або передбачувані) можуть викликати почуття неповноцінності й приводити до розвитку патологічних ревнощів.

.        Роль сімейних і соціальних факторів. В культурах, де до партнерів ставляться як до власності, ревнощі часто вважаються нормальним елементом сексуальних відносин і тому можуть розглядатися як зрозуміла (хоча небажана) причина напруги в сімейних відносинах. У таких культурах порожнє-рольове з, при якому чоловік відіграє домінуючу роль, а жінка - підлеглу й виникає поняття сексуального володіння, звичайно не викликає протесту. У культурах, у яких домінують консервативні погляди, будь-який прояв самостійної або незалежної активності партнера може інтерпретуватися як доказ невірності й каратися. У цих випадках ревнощі служать як би виправданням насильства стосовно партнера, що сприймається як невірний. Із цих причин важливо скептично ставитися до пояснень пацієнтів, що проявляли насильство стосовно своїх партнерів на ґрунті ревнощів, що їхньої жертви (звичайно жінки) провокували їх або активно заохочували до подібним до вчинків. Варто враховувати можливість наявності виражених психічних розладів у партнера пацієнта. В одному випадку після успішного лікування маревних ревнощів у чоловіка в його дружини розвився паранойяльний психоз, що перетерпів зворотний розвиток, коли ревнощі чоловіка відновилася. Описана також патологічні ревнощі в пацієнтів гомосексуальної орієнтації. Під час економічних криз відзначене підвищення рівня захворюваності із проявами маревних ревнощів.

Патологічні ревнощі є скоріше симптомом, чим діагнозом. Вона може проявлятися у формі маревних, нав'язливих або надцінних ідей або їхніх комбінацій. Природа її видів і інші особливості, що виявляють на підставі даних анамнезу й вивчення психічного стану, допоможуть виявити основне захворювання або захворювання й надати відповідну допомогу. Зловживання алкоголем, безсумнівно, є істотним чинником, і будь-яке зловживання психоактивными речовинами повинне розглядатися як пріоритетна мішень при наданні допомоги.

Патологічні ревнощі можуть принести важкі страждання обом партнерам в рамках їхніх взаємин, а також членам їхніх родин. Вона небезпечна серйозними насильницькими діями й самогубством. Зрозуміло, що раннє виявлення й лікування є найбільш важливими факторами попередження серйозних наслідків, і в цьому плані завжди повинна зберігатися сторожкість. Щоб знизити рівень небезпеки, при необхідності осіб, що страждають патологічними ревнощами, можна госпіталізувати, одночасно вживши заходів по захисту потенційних жертв. У сучасних умовах лікарі мають у своєму розпорядженні різноманітні методи лікарської терапії й набором психосоціальних втручань для впливу на цей розлад, і його прогноз може бути не таким несприятливим, як це вважалося раніше. З огляду на можливість трагічних наслідків, патологічні ревнощі вважають симптомом, що вимагає інтенсивних втручань [15].

2.3     Взаємозв’язок ревнощів та кохання

Існує безліч стійких почуттів, що захоплюють всі помисли й прагнення особистості і яскраво характеризують її емоційну сферу. Помітне місце серед їх, особливо в юнацькому віці, належить почуттю кохання, що може розглядатися як приклад стійкого почуття. Кохання - одне з найважливіших властиво людських стійких почуттів. Поняття «кохання» у психології вживається у двох значеннях. У широкому значенні (родове поняття) кохання - високий ступінь емоційно-позитивного відношення, що виділяє його об'єкт серед інших і поміщає його в центр стійких життєвих потреб і інтересів суб'єкта. Така любов до Батьківщини, любов до матері, до дітей, до музики й т.д.

У більш вузькому змісті кохання - це інтенсивне, напружене й відносно стійке почуття суб'єкта, фізіологічно обумовлене сексуальними потребами й виражається в прагненні бути з максимальною повнотою представленим своїми особистісно-значущими рисами в життєдіяльності іншого таким чином, щоб будити в нього потребу у відповідному почутті тієї ж інтенсивності, напруженості й стійкості. Почуття, що глибоко має інтимний характер, любові супроводжується ситуативно-виникаючими й мінливими емоціями ніжності, захопленню, зневіри й ін., піднятим або подавленим настроєм, іноді афектами радості або ж горя. Злитість сексуальної споживи індивіда, що забезпечує в залишковому підсумку продовження роду, і любові як вищого почуття, тобто особистості, що дає, оптимальні можливості бути продовженої, ідеально представленої в значимому іншому (в коханому або в коханій), практично не дозволяє в рефлексії відокремити одне від іншого [16].

Ця обставина послужила однієї з причин того, що різні філософські й психологічні напрямки допускали абсолютизацію одного з цих двох початків. Кохання зводилось або до біологічного качану, до статевого інстинкту (трактування кохання як сексу), або фізіологічна сторона кохання заперечувалася й принижувалася, і вона трактувалася як чисто духовне почуття (апологія платонічного кохання, подання про фізіологічні вияви цього почуття як про чимсь низинному, брудному, гріховному). Тим часом, хоча фізіологічні споживи і є передумовою виникнення й підтримки почуття кохання між чоловіком і жінкою, однак у зв'язку з тим, що в особистості людини біологічне знімається й виступає в перетвореному виді, як соціальне, кохання у своїх інтимних психологічних характеристиках є суспільно обумовленим почуттям. У ньому своєрідно відбиваються особливості культури.

Кохання - це інтенсивне, напружене й відносно стійке почуття суб'єкта, фізіологічно обумовлене сексуальними потребами; виражається в соціально формованому прагненні бути максимально повно представленим своїми особистісно-значущими рисами в життєдіяльності іншого так, щоб розбудити в нього потреба у відповідному почутті тієї ж інтенсивності, напруженості й стійкості. Почуття любові глибоко інтимно й супроводжується ситуативно-виникаючими й емоціями, що змінюються, ніжності, захопленню, ревнощів і іншими, пережитими залежно від індивідуально-психологічних особливостей особистості.

Ревнощі - складні щиросердечні переживання закоханого. Це почуття в різних людей має досить різні відтінки. Воно хворобливо ранить свідомість і може бути вираженням таких елементарних переживань, як ображене зневагою самолюбство, як почуття незадоволеності через відсутність коханої людини або несприятливих обставин, як жаль про загублене, як прихильність до об'єкта, як ворожість до винуватця твоїх страждань, як заздрість до тих, хто щасливий у ту годину, коли у вас смуга невдачі. Ревнощі можуть бути викликані певним проявом поводження партнера, кокетством, проявом симпатії до осіб протилежної статі. Ревнощі - ворожість до претендента й образа на зрадництво з боку обранця (обраниці) [16].

Спіноза підкреслює дві сторони ревнощів: ненависть до об'єкта кохання й заздрість до людини, що загрожує відносинам із цим об'єктом кохання. Все це створює особливу роздвоєність емоцій, затьмарює чарівність кохання. Постійні тривоги, роздирання отруюють найсолодші переживання людини [17].

Ревнощі споконвіків вважаються супутницею кохання, тому що нібито кохання немає без ревнощів. Навіть у кримінальному кодексі ревнощі розглядаються як «пом'якшувальна обставина» при закоханих злочинах, а треба б у ній бачити «обтяжену обставину». Деякі схильні бачити в ревнощах подобу тваринного інстинкту виконуючого в природі функцію природного відбору й закріпляючого в боротьбі особень право найсильнішого й охорону цього права. Тоді ревнощі - це придаток до функції відтворення.

Звернемося до основоположника глибинної психології - З. Фрейду. Як причини виникнення ревнощів, виходячи з основних методологічних принципів психоаналізу, можна виділити протидію двох основних інстинктів - інстинкту Життя й інстинкту Смерті. Чим сильніше прихильність до об'єкта своєї любові, тим, відповідно, більша й залежність від нього. Тому ревнощі виникають як відповідна реакція на страх втрати об'єкта, з яким зв'язане одержання задоволення. Найбільший пік свого розвитку ревнощі одержують в Едиповій ситуації. Дуже часто спалаху ревнощів спостерігаються в маленьких хлопчиків і дівчат стосовно батька протилежної статі. Ситуація збільшується, якщо на любов батька претендує ще хто-небудь (у цьому випадку мова йде про сіблінгах). Брати й сестри змагаються між собою за любов батьків, що, природно, засвоюється й інтроєцирується як паттерн (модель) поводження в аналогічній ситуації, що може повторитися в дорослому житті. Наприклад, двоє аспірантів конкурують між собою за кохання і визнання наукового керівника, щораз ревнуючи один одного, якщо перевага зроблена не йому.

Найбільш типово ревнощі проявляються через механізми психологічних захистів - проекцію й реактивне утворення. У проекції власні думки, фантазії й переживання приписуються іншій людині. Так, наприклад, чоловік, що має любовні зв'язки на стороні, постійно ревнує свою дружину, якщо вона затримується в подруги або збирається їхати у відрядження. Прикладом реактивного утворення як форми прояву ревнощів є протилежне вираження почуттів, думок, переживань. Замість обурення ревнивець демонструє покірність, смиренність, жертовність. Закономірно виникає питання: «Якщо ревнощі проявляється за допомогою захисних механізмів, від чого ж захищається свідомість людини»? Швидше за все, від сексуальних потягів, бажань, про які, як писав Фрейд, суб'єкт не знає або не бажає знати. У свою чергу, ці бажання, як було показано вище, є наслідком (своєрідними повторами, відбитками) дитячих інцистуозних потягів - так званими відгомонами перекладу первинних процесів у вторинні (З. Фрейд), тобто варіантами незадоволених дитячих фантазій.

Кохання, згідно Лакану, інтенсивніше всього проявляється в момент втрати об'єкта. Дуже часто в суб'єкта раптом «спалахують» почуття в момент втрати людини, до якої вона до цього ставилась досить байдуже («Маючи - не цінуємо, втративши - плачем»). Тобто кохання виникає слідом за ревнощами, причиною якої є небезпека, що грозить конституюванню суб'єкта. Інакше кажучи, людина знає, що вона чогось коштує й щось із себе представляє, якщо її хоч хто-небудь кохає. Якщо ж вона взагалі нікому не потрібна, то йому грозить так звана «екзистенціальна дисоціація» власної ідентичності. Даний феномен можна проілюструвати висловленням П’єра Тейяра де Шардена (цит. по Р. Мэю): «В какой еще момент любящие друг друга настолько плотно овладевают собой, если не тогда, когда они потерялись друг в друге?» [18].

Таким чином, сучасна наука стверджує, що ревнощі - це негативна емоція, викликана реальним або уявлюваним фактом вступу близької людини (друга, статевого партнера й т.д.) у тісні емоційні або фізичні відносини із третьою особою. Соціолог Девіс визначив ревнощі як реакцію страху й гніву, що служить для захисту, збереження й продовження інтимного аспекту любові.

У «Тлумачному словнику» Д.Н. Ушинського ревнощі визначаються таким способом: ревнощі - це складова частина статевої любові, інтимної дружби, вони говорять про силу потяга. Я вважаю, що саме ці поняття ревнощів є продовженням суперництва, тому що в них сильні потяги, інстинкти. Ревнощі підтримують енергію кохання, кохання перебуває в напрузі.

Ми визначили за Волковою А.Н. наступні реакції ревнощів.

. Когнітивні реакції виражаються в прагненні аналізувати факт зради, шукати її причину, шукати винного (я - партнер - суперник), вибудовувати прогноз ситуації, простежувати передісторію, тобто створювати картину події.

. Афективні реакції виражаються в емоційному переживанні зради. Найбільш характерні емоції - розпач, гнів, ненависть і презирство до себе й партнерові, любов і надія.

. Поведінкові реакції виступають у вигляді боротьби або відмови. Боротьба виражається в спробах відновити стосунки (пояснення), втримати партнера (прохання, угоди, погрози, тиск, шантаж), усунути суперника, ускладнити зустрічі з ним, привернути увагу до себе (викликання жалості, співчуття, іноді кокетство).

Патологічні ревнощі властиві людям особливого складу характеру: підозрілим, недовірливим, схильним усюди бачити обман і підступ, думати, що всієї їхньої неприємності кимсь навмисне підбудовані. От чому такій людині достатній будь-який підозрілий, з його погляду, факт, щоб побудувати на ньому свої обвинувачення в невірності чоловіка або чоловік і жінка. При цьому приводом для різного роду підозр і припущень є фактично все: дружина (чоловік) була в гостях занадто весела, погодилася потанцювати із чужою людиною, затрималася на роботі, обновила гардероб і т.п.

Розділ 3. Експериментальне дослідження ревнощів як фактора любовних стосунків

.1 Обгрунтування методики дослідження феномену ревнощів в юнацькому віці

В дослідженні використано контент-аналіз з відкритими запитаннями анкет. Спочатку аналізуються під час ревнощів почуття, думки, дії, вчинки самого ревнивця, також, які ситуації та дії партнера викликають ревнощі та наслідки цих ревнощів. Надалі розглядаються під час ревнощів почуття, думки, дії, вчинки партнера, ситуації та дії партнера, які викливають ревнощі та наслідки цих ревнощів.

Дослідження проведено за такою методикою.

Інструментарій. Ми вирішили використати в якості метода дослідження анкету з відкритими запитаннями під назвою «Феноменологія ревнощів у любовних стосунках». Тому що, завдяки відкритим запитанням можно зібрати багато інформації про той феномен, який нас цікавить.

Випробувані. У дослідженні взяли участь 16 юнаків і 35 дівчат у віці 17 - 20 років, студентів ЗНТУ, всього - 51 досліджувальний.

Процедура. Під час виховних годин всім випробуваним було запропоновано взяти участь в анонімному психологічному дослідженні. Після отримання згоди (всі погоджувались), випробуваним роздавалась анкета з проханням познайомитись із інструкцією анкети, задати запитання у випадку її незрозумілості і заповнити анкету. Потім випробувані відповідали на запитаня анкети.

Розглянемо почуття, думки, дії, вчинки самого ревнивця під час ревнощів, також, які ситуації та дії партнера викликають ревнощі та наслідки цих ревнощів.

В цілому ми можемо спостерігати (див. рис. 3.1), що дівчат більше спонукає до ревнощів спілкування з особою протилежної статі партнера (34%). У той час, коли юнаків більше спонукає до ревнощів флірт, проявлення уваги до протилежної статі партнера (63%).

Рис. 3.1. Результати відповідей на питання «Які події, ситуації, дії партнера викликають у вас ревнощі?»

На рис. 3.2 видно, що таке почуття як злість переважає як у дівчат (45%), так і у юнаків (50%). Гнів переважає в однаковій мірі у дівчат і у юнаків (по 12%). Майже в однаковій мірі дівчата (9%) і юнаки (12%) бояться втратити партнера.

Рис. 3.2. Результати відповідей на питання «Що ви почуваєте, коли переживаєте ревнощі?»

Рис. 3.3. дає змогу зробити висновок, що під час ревнощів в голову дівчат (57%) і юнаків (56%) в однаковій мірі приходять думки про помсту. А на другому місці у дівчат (28%) думки про з’ясування причини, у юнаків (32%) - агресивні думки.

На рис. 3.4 видно, що юнаки більше тікають від рішення проблем (38%). А дівчата як кажуть в народі «клин клином выбивают», тобто чинять так як партнер (40%).

Рис. 3.3. Результати відповідей на питання «які думки приходять вам у голову, коли ви ревнуєте?»

На рис. 3.5. видно, що більше всього ревнощі приводять до сварки як у дівчат (91%), так і в юнаків (50%). На другому місці - розрив стосунків: у дівчат (6%), у юнаків (31%). Це говорить про те, що юнаки не взмозі пробачити ті чи інші дії, вчинки, які приводять до ревнощів.

За допомогою рис. 3.6. ми робимо висновок, що більш викликають ревнощі у партнерів дівчат такі ситуації як флірт, проявлення уваги до протилежної статі (72%). А у партнерів юнаків - спілкування з особою протилежної статі (44%).

Рис. 3.4. Результати відповідей на питання «Які дії, вчинки ви робите, коли переживаєте ревнощі?»

На рис. 3.7. ми бачимо, що під час ревнощів партнера дівчата (51%) і юнаки (62%) майже в однаковій мірі відчувають вдоволення. На другому місці у дівчат почуття злості (23%), а у юнаків - в однаковій мірі злість (19%) та недовірливість до партнера (19%).

Рис. 3.8. дає змогу зробити дуже цікавий висновок, що юнаки в однаковій мірі думають під час ревнощів партнера - «Ревнує означає любить» (50%) та «Навіщо ревнує?» (50%). А дівчата більш думають, що «Ревнує означає любить» (74%).

Рис. 3.5. Результати відповідей на питання «До чого, до яких наслідків приводить те, що ви почуваєте, думаєте й робите, коли переживаєте ревнощі?»

На рис. 3.9. видно, що під час ревнощів партнера дівчата дають пояснення своїм діям (42%), лише 7% з’ясовують причини ревнощів. А юнаки навпаки, під час ревнощів партнера з’ясовують причини ревнощів (65%) і лише 35% дають пояснення своїм діям.

Рис. 3.10. дає змогу зробити висновок, що ревнощі партнера приводять в однаковій мірі до сварки як у дівчат (57%), так і у юнаків (56%). У дівчат переважає розрив стосунків (26%), а у юнаків переважає мирна розмова (25%).

Рис. 3.6. Результати відповідей на питання «Які події, ситуації, дії викликають у вашого партнера ревнощі?»

Рис. 3.7. Результати відповідей на питання «Що ви почуваєте, коли партнер вас ревнує?»

психологічний кохання ревнощі

Рис. 3.8. Результати відповідей на питання «які думки приходять вам у голову, коли вас ревнує партнер?»

Рис. 3.9. Результати відповідей на питання «Які дії, вчинки ви робите, коли вас ревнує партнер?»

Рис. 3.10. Результати відповідей на питання «До чого, до яких наслідків приводить те, що партнер ревнує вас?»

.2 Особливості любовних стосунків в юнацькому віці

Спочатку опишемо любовні стосунки - їх поширеність, тривалість (термін існування), міру задоволеності ними, метафоричні моделі їх розуміння, тип стосунків, розподіл відповідальності за них, ціннісне спрямування стосунків, найпоширеніші поведінкові норми, що їх регулюють.

Наявність любовних стосунків протягом останнього року визнали усі опитані чоловічої статі (100%) і лише - 94% жіночої статі (див. табл.3.1.).

Таблиця 3.1 Наявність любовних стосунків протягом останнього року

Випробувані

Наявність любовних стосунків (%)


Є (були) стосунки

Немає (не було) стосунків

Стать: дівчата (n=35)

94

6

Стать: юнаки (n=16)

100

0

Вік: 17-18 років

89

11

Вік: 19-20 років

97

3


З таблиці 3.2 видно, що у дівчат, які мали любовні стосунки протягом року, у більшій половині - 66%, вони тривають, у решти - завершилися. Також і у юнаків (63%).

Таблиця 3.2 Кількість любовних стосунків, що тривають і тих, що закінчились

Випробувані

Любовні стосунки (%)


тривають

закінчились

Стать: дівчата (n=35)

66

34

Стать: юнаки (n=16)

63

37

Вік: 17-18 років

78

22

Вік: 19-20 років

64

36


У юнаків виявлена досить висока задоволенність любовними стосунками - 88%, у порівнянні з дівчатами - 73% (див. табл. 3.4).

Основне цінністне спрямування любовних стосунків - це спрямування їх на “я”, “ти” або “ми”: егоцентричне, альтероцентричне або ж “пароцентричне”. Опитуванням встановлено, що найпоширенішим спрямуванням є спрямування на взаємну любов “у рівній мірі”, тобто “ми-центризм”. Дівчата (94%) та юнаки (93%) саме так визначили ціннісний вектор своїх стосунків (див. табл. 3.5).

Таблиця 3.4 Задоволеність любовними стосунками

Випробувані

Задоволеність любовними стосунками (%)


задоволені

не задоволені

Стать: дівчата (n=35)

27

Стать: юнаки (n=16)

88

12

Вік: 17-18 років

66

34

Вік: 19-20 років

81

19


Таблиця 3.5 Основне ціннісне спрямування любовних стосунків

Випробувані

Важливіше, щоб: (%)


Мене любили, а не я любив (-ла)

Я любив (-ла), а не мене

Ми любили один одного

Стать: дівчата (n=35)

3

3

94

Стать: юнаки (n=16)

7

0

93

Вік: 17-18 років

0

11

89

Вік: 19-20 років

4

0

96


Кого юнаки та дівчата вважають у більшій мірі відповідальними за любовні стосунки - себе, іншого чи відповідальність спільна і рівна? Дівчата (83%) та юнаки (75%) переконані, що відповідальність спільна і рівна (див. табл. 3.6.). І лише 14% дівчат і 18% юнаків вважають себе відповідальним за стосунки.

Маючи можливість не більше як трьома варіантами продовжити речення «Любов для мене це, щонайперше…», опитувані так визначилися відносно власних переконань щодо любовнних стосунків (див. рис. 3.11).

Таблиця 3.6 Тенденції відповідальності за любовні стосунки

Випробувані

В більшій мірі відповідальні за стосунки (%)


Я сам

Інший

Ми разом у рівній мірі

Стать: дівчата (n=35)

14

3

83

Стать: юнаки (n=16)

18

7

75

Вік: 17-18 років

23

11

66

Вік: 19-20 років

13

3

84


Найпоширенішими переконаннями є такі, які визначають любов як, загалом, «турботу та допомогу іншій людині» (68% прихильників), «пізнання іншої людини» (44%), «дарування себе» (34%), «співчуття» (34%). Менш поширенними є переконання про любов як «школу стосунків», «спільну розвагу», «співчуття», «спільну гру», «мистецтво, співтворчість», «змагання», «служіння», «захопленність» (від 30% до 2% прихильників).

Рис. 3.11. Метафоричні моделі любовних стосунків

.3 Аналіз дослідження впливу характеристик любовних стосунків на типи реакцій ревнощів

Спочатку було проведено дослідження визначення характеристик любовних стосунків за допомогою опитувальника партнерських стосунків (PFB) та опитувальника "Шкала любові й симпатій" (Зік Рубін).

Було визначено п’ять шкал любовних стосунків. Це: шкала кохання, шкала симпатій, шкала поведінки в суперечці, шкала ніжності, шкала комунікацій (див. додаток Ж). Потім ми визначили чотири шкали по ревнощам: когнітивні реакції ревнощів, афективні, поведінкові та нема реакцій (див. додаток К).

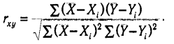
Та за допомогою формули лінійної кореляції Пірсона (3.1), ми визначили кореляцію залежності характеристик любовних стосунків та типів реакцій ревнощів. Коефіцієнт лінійної кореляції Пірсона r варіюється від -1 до +1.

Він обчислюється шляхом нормування ковариації змінних на добуток їх середньоквадратичних відхилень:

 

Значимість коефіцієнта кореляції залежить від прийнятого рівня значимості а й від величини вибірки.

Чим більше модуль коефіцієнта кореляції, тим ближче зв'язок змінних до лінійної функціональної залежності.

Ми визначили, що коефіцієнт кореляції любовних стосунків та типів реакцій ревнощів не значний (див. табл.3.7-3.8) як у дівчат, так і у юнаків.

Таблиця 3.7 Кореляція шкал любовних стосунків з типами реакцій ревнощів

Дівчата

Шкала любові

Шкала симпатій

Шкала ніжності

Шкала поведінки в суперечці

Шкала комунікацій

Когнітивні реакції

0,12

0,13

0,2

0,12

0,17

Афективні реакції

0,03

0,09

-0,05

0,12

0,05

Поведінкові реакції

-0,1

-0,4

-0,2

0,03

-0,23

Нема реакцій

-0,02

-0,05

-0,2

0,15

-0,14


Таблиця 3.8 Кореляція шкал любовних стосунків з типами реакцій ревнощів

Юнаки

Шкала любові

Шкала симпатій

Шкала ніжності

Шкала поведінки в суперечці

Шкала комунікацій

Когнітивні реакції

0,07

-0,04

-0,33

0,48

-0,43

Афективні реакції

-0,41

-0,5

0,06

0,25

0,01

Поведінкові реакції

0,09

-0,4

0,07

0,32

-0,2

Нема реакцій

0,42

0,5

0,2

-0,44

0,2


За допомогою критерія Вілкоксона-Манна-Уітні ми розробили порівняльний аналіз по шкалам любовних стосунків (шкала любові, симпатій, поведінки в суперечці, ніжності та комунікацій) та типів реакцій ревнощів (когнітивні, афективні та поведінкові) (див. додаток Л). Емпіричне значення критерія Вілкоксона-Манна-Уітні дорівнює 2,2837, крітичне - 1,96.

Можно зробити висновок, що порівняння отриманих даних по шкалі любові у дівчат та юнаків показало, що значення критерія вище крітичного (2,28), тобто характеристики порівнюваних вибірок розрізняються на рівні значимості 0.05, виявлені статистично значимі розходження. Отже, юнаки й дівчата відрізняються між собою по показнику шкали любові. Однак, аналізуючи описову статистику, можна помітити, що показники по шкалі любові юнаків більш однорідні (d=4,22), у порівнянні з показниками дівчат (d=22,46), при цьому середні значення по шкалі любові дівчат трохи нижчі (m=21,34) середніх значень по шкалі любові юнаків (m=24,68).

По шкалі симпатій порівняння отриманих даних за критерієм Вілкоксона-Манна-Уітні показало, що його значення нижче критичного (0,85), тобто характеристики порівнюваних вибірок збігаються на рівні значимості 0.05, статистично значимих розходжень не виявлено. Отже, юнаки й дівчата не відрізняються між собою по показнику шкалі симпатій. При цьому показники по шкалі симпатій у юнаків більш однорідні (d=4,13), у порівнянні з показниками дівчат (d=18,79), а середні значення по шкалі симпатій дівчат трохи нижче (m=21,97) середніх значень юнаків (m=23,5).

По шкалі поведінки в суперечці порівняння отриманих даних за критерієм Вілкоксона-Манна-Уітні показало, що його значення нижче критичного (0,65), тобто характеристики порівнюваних вибірок збігаються на рівні значимості 0.05, статистично значимих розходжень не виявлено. Отже, юнаки й дівчата не відрізняються між собою по показнику шкалі поведінки в суперечці. При цьому показники по шкалі поведінки в суперечці у юнаків (d=21,58) та дівчат (d=35,87) менш однородні, а середні значення по шкалі поведінки в суперечці дівчат трохи нижчі (m=20,34) середніх значень юнаків (m=21,6).

По шкалі ніжності порівняння отриманих даних за критерієм Вілкоксона-Манна-Уітні показало, що його значення нижче критичного (0,34), тобто характеристики порівнюваних вибірок збігаються на рівні значимості 0.05, статистично значимих розходжень не виявлено. Отже, юнаки й дівчата не відрізняються між собою по показнику шкалі ніжності. При цьому показники по шкалі ніжності у дівчат більш однородні (d=13,08), ніж у юнаків (d=43,92), а середні значення по шкалі ніжності дівчат трохи нижчі (m=21,91) середніх значень юнаків (m=21,06).

Порівняння отриманих даних по шкалі комунікацій у любовних стосунках у дівчат та юнаків показало, що значення критерія нижче крітичного (1,27), тобто характеристики порівнюваних вибірок співпадають на рівні значимості 0.05, статистично значимих розходжень не виявлено. Отже, юнаки й дівчата не відрізняються між собою по показнику шкали комунікацій у любовних стосунках. Однак, аналізуючи описову статистику, можна помітити, що показники по шкалі комунікацій у любовних стосунках у юнаків (d=34,65) та дівчат (d=38,32) не однородні, при цьому середні значення по шкалі комунікацій у любовних стосунках у дівчат трохи нижчі (m=18,28) середніх значень по шкалі комунікацій у любовних стосунках у юнаків (m=20,12).

По шкалі когнітивних реакцій ревнощів порівняння отриманих даних за критерієм Вілкоксона-Манна-Уітні показало, що його значення нижче критичного (0,78), тобто характеристики порівнюваних вибірок збігаються на рівні значимості 0.05, статистично значимих розходжень не виявлено. Отже, юнаки й дівчата не відрізняються між собою по показнику шкалі когнітивних реакцій ревнощів. При цьому показники по шкалі когнітивних реакцій ревнощів у дівчат (d=3,29) та юнаків (d=5,58) однородні, а середні значення по шкалі когнітивних реакцій ревнощів дівчат трохи нижчі (m=4,34) середніх значень юнаків (m=4,87).

Порівняння отриманих даних по шкалі афективних реакцій ревнощів у дівчат та юнаків показало, що значення критерія нижче крітичного (0,32), тобто характеристики порівнюваних вибірок співпадають на рівні значимості 0.05, статистично значимих розходжень не виявлено. Отже, юнаки й дівчата не відрізняються між собою по показнику шкали афективних реакцій ревнощів. Однак, аналізуючи описову статистику, можна помітити, що показники по шкалі афективних реакцій ревнощів у юнаків (d=196,7) та дівчат (d=113,4) не однородні, при цьому середні значення по шкалі афективних реакцій ревнощів у юнаків трохи нижчі (m=18,4) середніх значень по шкалі афективних реакцій ревнощів у дівчат (m=19,4).

По шкалі поведінкових реакцій ревнощів порівняння отриманих даних за критерієм Вілкоксона-Манна-Уітні показало, що його значення нижче критичного (0,46), тобто характеристики порівнюваних вибірок збігаються на рівні значимості 0.05, статистично значимих розходжень не виявлено. Отже, юнаки й дівчата не відрізняються між собою по показнику шкалі поведінкових реакцій ревнощівю При цьому показники по шкалі поведінкових реакцій ревнощів у дівчат (d=4,13) та юнаків (d=3,19) однородні, а середні значення по шкалі поведінкових реакцій ревнощів юнаків трохи нижчі (m=1,51) середніх значень дівчат (m=1,44).

Порівняння отриманих даних по шкалі жодних реакцій ревнощів у дівчат та юнаків показало, що значення критерія нижче крітичного (0,14), тобто характеристики порівнюваних вибірок співпадають на рівні значимості 0.05, статистично значимих розходжень не виявлено. Отже, юнаки й дівчата не відрізняються між собою по показнику шкали жодних реакцій ревнощів. Однак, аналізуючи описову статистику, можна помітити, що показники по шкалі жодних реакцій ревнощів у юнаків (d=5,06) та дівчат (d=1,05) однородні, при цьому середні значення по шкалі жодних реакцій ревнощів у дівчат трохи нижчі (m=1,06) середніх значень по шкалі жодних реакцій ревнощів юнаків (m=1,56).

Потім за допомогою кореляції Спірмена ми виявили залежність шкал любовних стосунків та шкал реакцій ревнощів (див. табл. 3.9).

Таблиця 3.9 Порівняльний аналіз шкал любові та реакцій зевнощів за допомогою кореляції Спірмена


Шкала любові дівчат та юнаків

Шкала симпатій дівчат та юнаків

Шкала поведінки в суперечці дівчат та юнаків

Шкала ніжності дівчат та юнаків

Шкала симпатій дівчат

0,682

-

-

-

Шкала поведінки в суперечці дівчат

0,694

0,517

-

-

Шкала ніжності дівчат

0,349

0,586

-

-

Шкала комунікацій дівчат

0,693

0,611

0,846

-

Шкала жодних реакцій ревнощів юнаків

0,517

0,557

-

-

Шкала ніжності юнаків

-

0,564

-

-

Шкала комунікацій юнаків

-

0,612

-

0,899


Висновки

Таким чином, ми з’ясували, що кохання, як стверджував Лакан, виникає слідом за ревнощами, причиною якої є небезпека. Любов як відношення двох людей і як складова частина почуття спільності має свої власні закони (Адлер). Для проблем у любовних стосунках не існує ліків у формі чіткої інструкції. Повсякденний досвід індивідуальної психології знову й знову показує, що відокремлення еротики людини є особливістю всієї його особистості, яку необхідно розуміти в кожному окремому випадку.

Любляча людина прагне не тільки до фізичного, але й до психологічної близькості із предметом своєї любові. У здорових любовних стосунках партнери не бояться зробити невигідне враження один на одного, не вважають потрібним приховувати друг від друга свої слабості, не соромляться своїх фізичних недоліків, навіть настільки неприємних, як вставні щелепи. У такій любові немає таємниць і секретів, що люблять не прагнуть зберегти ореол таємничості, перестають бути загадкою друг для друга.

Любов благотворно впливає на людину, але це ще не означає, що ми любимо лише тому, що чекаємо від любові якогось результату. Ми закохуємося не тому, що прагнемо відчути закоханість або випробувати на собі всі доброчинні ефекти любові.

Сучасна наука стверджує, що ревнощі - це негативна емоція, викликана реальним або уявлюваним фактом вступу близької людини (друга, статевого партнера й т.д.) у тісні емоційні або фізичні відносини із третьою особою. Соціолог Дэвіс визначив ревнощі як реакцію страху й гніву, що служить для захисту, збереження й продовження інтимного аспекту любові.

У «Тлумачному словнику» Д. Н. Ушинського ревнощі визначаються таким способом: ревнощі - це складова частина статевої любові, інтимної дружби, вони говорять про силу потяга. Я вважаю, що саме ці поняття ревнощів є продовженням суперництва, тому що в них сильні потяги, інстинкти. Ревнощі підтримують енергію кохання, кохання перебуває в напрузі.

Ми визначили за Волковою А. Н. реакції ревнощів.

. Когнітивні реакції виражаються в прагненні аналізувати факт зради, шукати її причину, шукати винного (я - партнер - суперник), вибудовувати прогноз ситуації, простежувати передісторію, тобто створювати картину події.

. Афективні реакції виражаються в емоційному переживанні зради. Найбільш характерні емоції - розпач, гнів, ненависть і презирство до себе й партнерові, любов і надія.

. Поведінкові реакції виступають у вигляді боротьби або відмови. Боротьба виражається в спробах відновити стосунки (пояснення), втримати партнера (прохання, угоди, погрози, тиск, шантаж), усунути суперника, ускладнити зустрічі з ним, привернути увагу до себе (викликання жалості, співчуття, іноді кокетство).

Патологічні ревнощі властиві людям особливого складу характеру: підозрілим, недовірливим, схильним усюди бачити обман і підступ, думати, що всієї їхньої неприємності кимсь навмисне підбудовані. От чому такій людині достатній будь-який підозрілий, з його погляду, факт, щоб побудувати на ньому свої обвинувачення в невірності чоловіка або чоловік і жінка. При цьому приводом для різного роду підозр і припущень є фактично все: дружина (чоловік) була в гостях занадто весела, погодилася потанцювати із чужою людиною, затрималася на роботі, обновила гардероб і т.п.

За результатами дослідження виявилось, що по шкалі любові у дівчат та юнаків показало, що значення критерія вище крітичного (2,28), тобто виявлені статистично значимі розходження. Отже, юнаки й дівчата відрізняються між собою по показнику шкали любові. А по шкалам симпатій, ніжності поведінці в суперечці, комунікацій,а також шкалам когнітивних, афективних та поведінкових реакціях ревнощів юнаки й дівчата не відрізняються між собою.

Під час ревнощів партнера дівчата дають пояснення своїм діям (42%), лише 7% з’ясовують причини ревнощів. А юнаки навпаки, під час ревнощів партнера з’ясовують причини ревнощів (65%) і лише 35% дають пояснення своїм діям.

Юнаки в однаковій мірі думають під час ревнощів партнера - «Ревнує означає любить» (50%) та «Навіщо ревнує?» (50%). А дівчата більш думають, що «Ревнує означає любить» (74%).

Викликають ревнощі у партнерів дівчат такі ситуації як флірт, проявлення уваги до протилежної статі (72%). А у партнерів юнаків - спілкування з особою протилежної статі (44%).

Більше всього ревнощі приводять до сварки як у дівчат (91%), так і в юнаків (50%). На другому місці - розрив стосунків: у дівчат (6%), у юнаків (31%). Це говорить про те, що юнаки не взмозі пробачити ті чи інші дії, вчинки, які приводять до ревнощів.

Під час ревнощів в голову дівчат (57%) і юнаків (56%) в однаковій мірі приходять думки про помсту. А на другому місці у дівчат (28%) думки про з’ясування причини, у юнаків (32%) - агресивні думки.

Дівчат більше спонукає до ревнощів спілкування з особою протилежної статі партнера (34%). У той час, коли юнаків більше спонукає до ревнощів флірт, проявлення уваги до протилежної статі партнера (63%).

Таке почуття як злість переважає як у дівчат (45%), так і у юнаків (50%). Гнів переважає в однаковій мірі у дівчат і у юнаків (по 12%). Майже в однаковій мірі дівчата (9%) і юнаки (12%) бояться втратити партнера.

Список використаних джерел

1.    Фромм Э. Искусство любить. - М.: Педагогика, 1990. - С. 18-87.

2.      Сухомлинский В.А. Книга о любви. - М.: Политиздат, 1983. - С. 473, 489.

3.    Изард К.Э. Психология эмоций - СПб.: Питер, 2000. - С. 411.

4.      Ильин Е.П. Эмоции и чувства - СПб: Питер. 2001. - С. 400.

5.    Адлер А. Очерки по индивидуальной психологии. - М.: Когито-Центр, 2002. - С. 20.

6.    Маслоу А. Мотивация и личность. - СПб.: Евразия, 1999. - С. 42.

7.    Роджерс К. Брак и его альтернативы. Позитивная психология семейных отношений // Карл Роджерс ; пер. с англ. Е.Г. Розановой. - М. : Этерна, 2006. - 320 с.

8.      Терентьев Е.И. Бред ревности. - М.: Медицина, 1990. - С. 7-25.

.        Шнейдер Л.Б. Психология семейных отношений: Курс лекций. М., 2000. - С. 50.

.        Юнг К.Г. Брак как психологическое отношение // Конфликты детской души. - С.185-209.

.        Куттер П. Любовь, ненависть, зависть, ревность. - СПб.: ВЕЧЕ, 1998. - 250с.

.        Пантелиди О.И. Петровский В.А. Онтологический статус феномена ревности. Личность в психологии: парадигма субъектности. - Ростов-на-Дону: Феникс, 1996 - 512 с.

.        Малкіна-Пих І.Г. Сімейна терапія. - М.: Эксмо, 2005. - С. 687.

.        Мудре слово: думки, ради, виречення, крилаті вираження / Сост. М. С. Стрельченя. - Мінськ, 1985. - С. 57-58.

.        Кингхем М. Некоторые аспекты патологической ревности // Психиатрический журнал. - 2004. - № 5 - С. 2 - 12.

.        Айванхов О.М. Любов і сексуальність. - М.: «Просвіта», 2001. - С. 46.

.        Спиноза Б. Этика. - М-Л.: ОГИЗ, 1932. - С. 78.

.        Мэй Р. Любовь и воля. - М.: «Рефл-бук» - К.: «Ваклер», 1997. - С. 25.

.        Немов Р.С. Психология. Книга 1. М: ВЛАДОС ИМПЭ им. А.С. Грибоедова, 2001. - 500с.

.        Нечаева А.М. Брак. Семья. Закон. - М., 1984. - 348 с.

.        Обозов Н.Н. Психологія міжособистісних відносин. - Київ: Либідь, 1990. - 45 с.

.        Прохорова О.Г. Основы психологии семьи и семейного консультирования : учеб. пособие // Под ред. В. С. Торохтий. - М.: Сфера, 2005. - 224 с.

.        Роджерс К. Клиент-центрированная терапия. М.: Рефл-бук, 1997. - 454 с.

.        Рожина Л.Н. Развитие эмоционального мира личности. - Мн.: Унiверсiтэцкае, 1999. - 156 с.

.        Рюриков Ю.Б. Любовь: азбука и алгебра. - М.: РИПОЛ КЛАССИК, 1997. - 150 с.

.        Рюриков Ю.Б. Самое утреннее из чувств: Культура любви - К: реклама. 1985. - 136 с.

.        Рюриков Ю.Б. Любовь на исходе XX века. - М.: РИПОЛ КЛАССИК, 1998. - 189 с.

.        Рюриков Ю. Три влечения. М.: Прогресс, 1984. - 156 с.

.        Самоукіна Н.В. Парадокси родини й шлюбу. - М.: Російська ділова література, 1998. - 86 с.

.        Семенов В.С. Образы брака и любви в молодежных журналах // Молодежь. Образование. Воспитание. Профессиональная деятельность. - Л., 1973. С.164-170.

.        Сисенко В.А. Подружні конфлікти. - М.: Думка, 1989. - 178 с.

.        Собчик Л.Н. Введение в психологию индивидуальности. - Спб., 1999. - С. 228.

.        Соковня И. Бессонница в ожидании Любви. - М.: Просвещение, 1992. - 278 с.

34.  Андреева Т.В. Семейная психология: Учебное пособие. - Спб.: Речь, 2004. -204 с.

35.    Аскевис-Леерпе Ф. Психология: краткий курс // Ф. Аскевис-Леерпе, К. Барух, А. Картрон ; пер. с франц. М. Л. Карачук. - М.: АСТ: Астрель, 2006. - 155 с.

.        Бальзак О. Об искусстве. - М.-Л., 1941. - 286 с.

.        Берн Э. Игры, в которые играют люди. Психология человеческих отношений. Люди, которые играют в игры. Психология человеческой судьбы // Общ.ред. М.С.Мацковского. - СПб.: Лениздат, 1992. - 400с.

.        Берн Э. Секс в человеческой любви. - М., 1998. - 37с.

.        Богданович Л.А. Предисловие к книге: Р. Борман. Молодежь и любовь.-М., 1975. - 204с.

.        Большая Российская энциклопедия // Перераб. и доп. - Т.2.- М.: Научное издательство, 1998. - 587 с.

.        Василев С. Психология любви. - М.: Интерпринт, 1992. - 107 с.

42.  Васільов К. Любов. - М.: Прогрес, 1982. - 146 с.

43.    Викторова Д. Любовь и секс: Освобождение от мифов. - Л.: «Час пик», Лениздат, 1991. - 96с.

.        Вилюнас В.К. Психология эмоциональных явлений. - М., 1976. - 278 с.

.        Вітек К. Проблеми подружнього благополуччя. - М.: Прогрес, 1988. - 189с.

.        Гивенс Д. Язык жестов - язык любви // Дэвид Гивенс ; пер. с англ. Г. Сахацкого. - М.: Эксмо, 2006. - 336 с.

.        Гозман Л.Я. Психология эмоциональных отношений. - М.: Изд-во МГУ, 1987. - 295с.

.        Голод С.И. Личная жизнь: любовь, отношения полов. - Л.: Наука, 1990. - 257 с.

.        Голод С.И. Любовь, нравственно-психологические и социальные основы взаимоотношений юношей и девушек / Духовное становление человека. - Л., Знание, 1972. - 245с.

.        Гребенников І.В. Основи сімейного життя. - М.: Освіта, 1991. - 206 с.

.        Дружинин В.Н. Психология семьи. - СПб.: Питер, 2006. - 176с.

.        Эгидес А.П. Учебник семейных отношений, или Брак без брака. - М.: АСТ-ПРЕСС, 2006. - 336 с.

.        Ефимова Н.С. Психология общения. Практикум по психологии: Учеб. пособие. - М.: ФОРУМ: ИНФРА - М, 2006. - 192 с.

54.  Жуховицкий Л. Счастливыми не рождаются. - М.: Просвещение, 1989. - 107 с.

55.    Ивин А.А. Философия любви. М.: Научное издательство, 1990. - 367 с.

.        Карабанова О.А. Психология семейных отношений и основы семейного консультирования: Учеб. пособие. - М.: Гардарики, 2006. - 319 с.

.        Кернберг О. Отношения любви: Норма и патология. - М.: АСТ-ПРЕСС, 2000. - 278 с.

.        Клочко В.Е., Галажинский Э.В. Самореализация личности: системный взгляд. - Томск: ТГУ, 1999. - 154 с.

.        Крайг Г., Бокум Д. Психология развития. - СПб.: Питер, 2008. - 940 с.

.        Кроник А. А., Кроник Е. А. Психология человеческих отношений. - М.: ЭКМО, 1998. - 364 с.

.        Куприянчик Л. Психология любви. - М.: Проспект, 1998. - 178 с.

62.  Любовь / Общ. ред. Л.А. Богданович. - М.: Прогресс, 1982. - 100 с.

63.    Майерс Д. Социальная психология. - СПб.: Питер, 1999. - 209 с.

64.  Меншутин В.П. Допомога молодій родині. - М.: Думка, 1987. - 189 с.

65.    Харчев А.Г. Брак и семья в СССР. - М.: Мысль, 1979. - 248 с.

.        Хетфилд Э. Любовь / Психологическая энциклопедия. - СПб., 2003. - 387с.

.        Холл К., Линдсей Г. Теории личности. - М., 1999. - 409 с.

.        Хорни К. Невротическая личность нашего времени. - М., 1993. - 346 с.

.        Хорни К. Собрание сочинений. В 3 т. / Психология женщины. Невротическая личность нашего времени. - М., 1997. - Т.1. -С.347-382.

.        Чудова С.Г. Планирование семьи: Методические рекомендации к курсу. - Барнаул, 1998. - 52 с.

.        Чуйко Л.В. Шлюби й розлучення. - М.: Статистика, 1975. - 167 с.

.        Шапиро Б.Ю. От знакомства - к браку. - М.: Просвещение, 1989. - 166 с.

.        Франкл В. Человек в поисках смысла: Сборник / Общ. ред. Л.Я. Гозмана и Д.А. Леонтьева. - М.: Прогресс, 1990. - 368 с.

.        Фрейд З. Введение в психоанализ. Лекции. - М., 1969. - 398 с.

.        Фрейд З. Психология бессознательного. - М., 1989. - 365 с.

.        Фромм Э. Душа человека. - М.: АСТ, 1998. - 378 с.

.        Ялом И. Лечение от любви и другие психотерапевтические новеллы. - М.: Класс, 1997. - 534 с.

.        Заславская Т.М., Гришин А.Г. Ревность и измена как феномен супружеской жизни. Как их избежать? - М., 1992.

.        Вебер Г. Кризисы любви. Системная психотерапия Берта Хеллингера. - М.: Изд. Института психотерапии, 2001. - 467 с.

.        Эйдемиллер Э.Г., Юстицкис В.В. Семейная психотерапия. - СПб.: Питер 1999. - 378 с.

Додаток А

Анкета «Мої стосунки»(Бондар Н.)

Эта анкета предназначена для исследования отношений разнополой любви в юношеском возрасте. Просьба сосредоточиться, внимательно прочитывать вопросы и выбирать тот ответ, который соответствует Вашему мнению.

Анкета анонимная, полученные данные будут использованы в исследовательских целях.

1. Есть ли у Вас сейчас (или был в течение последнего года) человек, которого Вы, в той или иной мере, любите или любили?            01- да                 02 - нет

2. Ваши отношения продолжаются или закончились? 01- продолжаются 02 - закончились

3. Как долго длятся (длились) Ваши отношения? (укажите, сколько лет, месяцев)

4. В какой степени Вы довольны своими отношениями с человеком, которого Вы, в той или иной мере, любите или любили?

01 - очень доволен              02 - доволен                03 - скорее доволен, чем нет

04 - скорее не доволен        05- не доволен            06 - очень недоволен

Ниже перечислены основные принципы поступков по отношению к другому человеку. Поставьте «1» рядом с тем принципом, который Вы считаете самым важным для Вас в Ваших отношениях; «2» - менее важным; и т.д. до «5» - наименее важным.  Итак, «ПОСТУПАЙ ПО ОТНОШЕНИЮ К ДРУГОМУ ТАК ....


5.... чтобы ты мог непосредственно удовлетворять свои потребности и испытывать как можно большее удовольствие».


6.. . .чтобы тебе это было полезно и ты мог реализовать свои цели и достигнуть успеха».


7.. . .чтобы твоя совесть была чиста».


8.. . .как ты хотел бы, чтобы другой поступал по отношению к тебе».


9.. . .чтобы эти поступки вели к твоему развитию, совершенствованию».



Как, по-вашему, скорее слабо или скорее сильно Вы, в своих отношениях с тем, кого любите:

Скорее слабо

Скорее Сильно

1.

Искренни, склонны доверять, поддерживать.

01

02

11.

Страстны, увлечены, чувствуете притяжение.

01

02

12.

Стремитесь укрепить и развить отношения.

01

02


.        Что для Вас важнее в отношениях? (только один ответ).

1.       Важнее, чтобы любили меня, а не я любил (-а).

2.      Важнее, чтобы я любил, а не меня любили.

3.       03 - Важно, чтобы мы любили друг друга в равной мере.

14.    Кто в большей мере ответственен за ваши отношения? (только один ответ).

1.       в большей мере ответственен я сам.

2.      в большей мере ответственен другой.

.        мы оба в равной мере ответственны.

. Любовь для Вас это, прежде всего... (не более 3-х ответов).

01- Совместная игра.

04 - Совместное развлечение.

07 - Служение другому.

010- «Школа» отношений с другим.

02 - Состязание с другим.

05 - Забота, помощь другому.

08 - Дарение себя.

011- Увлеченность другим.

03 - Познание другого.

06 - Сопереживание.

09 - Искусство, сотворчество.

012 - трудно сказать.


Оцените в баллах от «1» до «7» степень своего согласия с приведенными ниже высказываниями, так, что «1» - полностью не согласен, «2» - скорее не согласен, чем согласен, «3» - не согласен, «4» - трудно сказать, «5» - скорее согласен, чем нет, «6» - согласен, «7» - полностью согласен.


Если Вы влюблены, любите, находитесь с другим человеком в любовных отношениях, то Вы должны:


16. 16. N

Быть в таких отношениях только с ним одним, быть ему верным (-ой).


17. 17.

Сохранять доверенные Вам тайны другого человека.


18. 18.

Не обсуждать Ваши отношения с друзьями (подругами).


19. 19.

Не быть назойливым, надоедливым, навязчивым.


20. 2

Постоянно поддерживать контакт, договариваться о следующей встрече, «не пропадать».


21. 21. V

Ставить эти отношения выше отношений с друзьями ( подругами).


22. 22. ^

Ставить эти отношения выше отношений с родителями.


23. 23.


24. 24.

Не ограничивать отношения определенным сроком, «от» и «до» (месяц, год )


25. 2

В случае разногласий с другим - не настаивать на своем, делать только то, что согласны делать оба.


26.

Не ревновать и не критиковать его другие отношения с представителями противоположного пола.


27.

Проявлять инициативу, вносить свои предложения о том, как провести время вместе.


28.

Уважать внутренний мир и своеобразие другого, быть терпимым к различиям во мнениях, вкусах.


29.

Не ограничивать свободу встреч, времяпровождения с другими людьми.


30.

Защищать его от критических высказываний, когда он отсутствует.


31.

Быть терпимым к его друзьям (подругам).


32.

Не критиковать его публично.


33.

Не хвалить, не отзываться так же положительно, как и о вас, о других представителях противоположного пола.


34. 34Л

Доверять ему (ей), быть в нем уверенным.


35. 35.

Делиться новостями.


36. 36.

Выказывать эмоциональную поддержку.


37. 37.

Заботиться, добровольно помогать в случае необходимости.


38. 38.

Стараться, чтобы другому было приятно с тобой.


39. 39.

Возвращать долги и оказанные услуги.


40. 40.

Делать подарки другому.


41. 41.

Не ожидать, что другой будет делать тебе то, что и ты ему.


42. 42.

Оплачивать счета при совместных посещениях кафе, дискотеки, клуба и т.п.


43. 43.

Проявлять нежность, нежное отношение.


44. 44.

Проявлять сексуальные желания.


45. 45.

Заботиться о контрацепции при сексуальных отношениях.


46. 46. \

'Сохранять отношения в случае временной разлуки, расставания.


47. 47.

«Доказывать» свою любовь, значимость отношений.


48. 48.

Быть таким, каким ты есть, не лучше и не хуже.


49. 49.

Стараться быть лучше, чем ты есть обычно.


50. 50.

Не наносить вреда другому при разрыве отношений.


51. 51.

Инициировать прекращение отношений, если они вас не устраивают.


52. /52. V

В случае разногласий с другим доказывать свою правоту.


53. 53Л7

В случае разногласий с другим идти на взаимные уступки.


54. 54.x

В случае размолвки, конфликта, первым делать шаги к примирению.



55.Впишите № (16-54) наиболее важных для Вас суждений (не более 10)  

56.Ваш пол: 01-женский 02-мужской     57. Ваш возраст: (укажите)

Додаток Б

Авторська анкета «Феноменологія ревнощів в любовних стосунках»

1.      Какие события, ситуации, действия партнера вызывают у вас ревность?

2.      Что вы чувствуете, когда переживаете ревность?

.        Какие мысли приходят вам в голову, когда вы ревнуете?

.        Какие действия, поступки вы совершаете, когда переживаете ревность?

.        К чему, к каким последствиям приводит то, что вы чувствуете, думаете и делаете, переживая ревность?

6.      Какие события, ситуации, действия вызывают у вашего партнера ревность?

.        Что вы чувствуете, когда партнер вас ревнует?

8.      Какие мысли приходят вам в голову, когда вас ревнует партнер?

.        Какие действия, поступки вы совершаете, когда вас ревнует партнер?

10. К чему, к каким следствиям приводит то, что партнер ревнует вас?

Додаток В

Опитувальник партнерських стосунків (PFB)



Никогда/ очень редко

Редко

Часто

Очень часто

1

Он/она упрекает меня за ошибки, которые я совершил(а) в прошлом.





2

Он/она ласкает меня во время предварительной игры так, что это меня сексуально возбуждает.





3

Я вижу, что он/она находит меня внешне привлекательной(-ным).





4

Он/она мне говорит, что доволен (довольна), когда мы вместе.





5

Перед тем как уснуть, мы обнимаем друг друга.





6

Он/она из-за малейшей мелочи затевает ссору.





7

Он/она доверяет мне свои мысли и чувства.





8

Когда мы спорим, то он/она начинает меня оскорблять.





9

Он/она позитивно реагирует на мои сексуальные желания.





10

Мы сообща вырабатываем наши планы на будущее.





11

Если он/она рассказывает о своей работе, то хочет услышать и мое мнение об этом.





12

Мы вместе планируем, как нам провести выходные дни.





13

Он/она нежно касается моего тела, и я чувствую, что мне это приятно.





14

Он/она делает искренние комплименты моей внешности.





15

Он/она обсуждает со мной свои профессиональные проблемы.





16

Он/она старается учесть мои желания и при удобной возможности удовлетворить их.





17

Он/она отпускает саркастические критические замечания в мой адрес.





18

Он/она отрицательно отзывается о высказанной мной точке зрения.





19

Если он/она неправильно со мной обошелся (обошлась), то позже просит у меня прощения.





20

По вечерам мы обычно общаемся друг с другом по крайней мере около часа.





21

Если мы заспорим, то никак не можем остановиться.





22

Он/она обвиняет меня, если что-то идет неправильно.





23

Он/она берет меня за руку.





24

Во время ссоры он/она начинает на меня кричать.





25

Он/она по вечерам спрашивает меня, что я делала (делал) днем.





26

Если мы спорим, то он/она понимает мои слова превратно.





27

Он/она говорит мне о своих сексуальных желаниях.





28

Он/она нежно меня гладит.





29

Он/она говорит мне, что ему/ей со мной хорошо.





30

Он/она ограничивает мою свободу.






Додаток Г

Опитувальник «Шкала любові та симпатій»


да

Вероятно, это так

Вряд ли это так

это совсем не так

Я чувствую, что могу доверить ему (ей) абсолютно все.





Когда мы вместе, у нас всегда схожее настроение.





Я могу сказать, что он (она) принадлежит только мне.





Он (она) очень умный человек.





Для нее (него) я готов(а) абсолютно на все.





В большинстве случаев он (она) нравится людям почти сразу же после знакомства.





Когда мне плохо, то хочется поделиться только с ним (ней).





Я думаю, что мы с ним (ней) внутренне похожи друг на друга.





Я чувствую себя в ответе за то, чтобы ему (ей) было хорошо.





Мне хотелось бы быть похожим на него (нее).





Мне приятно чувствовать, что он (она) доверяет мне больше других.





Он (она) один (одна) из самых обаятельных мужчин (женщин), которых я знаю.





Мне было бы очень тяжело, если бы пришлось жить без него (нее).





Я уверен(а), что он (она) хорошо ко мне относится.






Додаток Д

Анкета «Прояви ревнощів у любовних стосунках»

«Нужно отметить крестиком Ваш ответ, как Вы поступите.»

Утверждения

Выясните причину

Рассердитесь 1-5 б.

Привлечете к себе его внимание

Не предадите значения

1. Вашему любимому(ой) улыбнулся человек противоположного пола.





2. у него (нее) звонит телефон, увидив номер он не берет трубку.





3. Ваш (а) любимый(ая) танцует с другой(им).





4. Ваш(а) любимый(ая) на празднике больше уделяет внимание другой(ому).





5. Ваш(а) любимый(ая) больше времени проводит с друзьями.





6. Вашему(ей) любимому(ой) поздно вечером настойчиво звонит незнакомая(ый) девушка (парень).





7. За вашим(ей) любимым(ой) «бегает», ухаживает кто-то другой.





8. Вы увидели своего(ю) бывшего(ую) сдругой(им).





9. Ваш(а) любимый(ая) обычно прислушивается к советам общего(ей) друга (подруги), а не к вашим.





10. Ваш(а) любимый(ая) уходит и не говорит куда.






Додаток Ж

Первинні дані дослідження характеристик любовних стосунків

Таблиця Ж.1

Дівчата

Шкала кохання

Шкала симпатій

Шкала ніжності

Шкала поведінки в суперечці

Шкала комунікацій

1

28

28

27

26

25

2

12

13

17

20

6

3

23

24

16

23

19

4

28

25

20

25

18

5

27

25

21

20

18

6

17

24

26

23

19

7

27

22

28

24

21

8

19

20

18

13

17

9

19

24

15

26

16

10

16

17

10

27

14

11

13

24

18

19

20

12

18

18

20

18

18

13

20

14

12

18

18

14

24

24

29

21

27

15

26

26

20

26

18

16

16

13

22

19

17

17

26

25

27

23

29

18

21

29

18

28

16

19

24

22

23

20

21

20

23

22

18

21

14

21

18

22

18

23

15

22

28

26

28

28

25

23

18

20

10

23

10

24

14

16

7

19

8

25

16

21

15

18

8

26

28

28

30

26

30

27

18

18

19

17

28

27

24

29

16

27

29

22

26

26

22

24

30

24

25

21

23

22

31

23

25

22

25

19

32

24

20

29

21

27

33

24

24

21

20

18

34

20

14

17

20

6

35

16

21

15

26

16


Таблиця Ж.2

Юнаки

Шкала кохання

Шкала симпатій

Шкала поведінки в суперечці

Шкала ніжності

Шкала комунікацій

1

23

21

21

23

19

2

25

23

14

25

23

3

26

24

24

28

27

4

27

22

29

23

16

5

26

23

25

23

25

6

27

26

26

25

25

7

22

23

18

22

22

8

25

23

29

19

14

9

22

21

22

20

20

10

28

25

16

20

19

11

24

26

16

25

24

12

24

24

26

5

9

13

24

26

23

27

26

14

24

21

19

6

8

15

27

27

18

26

26

16

21

21

20

20

19


Додаток К

Первинні дані дослідження типів реакцій ревнощів

Таблиця К.1

Дівчата

Когнітивні реакції

Афективні реакції

Поведінкові реакції

Нема реакцій

1

4

11

0

3

2

2

8

3

2

3

4

11

3

1

4

5

15

2

2

5

3

30

1

0

6

3

19

1

1

7

2

17

1

1

8

3

26

0

1

9

5

22

1

1

10

1

18

3

2

11

7

17

0

1

12

4

11

3

2

13

5

27

1

2

14

4

40

0

0

15

4

35

0

0

16

5

4

2

1

17

4

35

0

0

18

5

6

0

3

19

8

20

9

2

20

2

1

2

4

21

5

13

1

1

22

6

9

1

0

23

4

25

3

0

24

2

25

1

0

25

2

36

0

0

26

5

30

0

1

27

3

19

1

0

28

5

22

0

0

29

4

30

0

0

30

6

3

3

0

31

8

28

2

1

32

5

4

3

1

33

4

11

0

2

34

8

20

4

1

35

7

23

2

1


Таблиця К.2

Юнаки

Когнітивні реакції

Афективні реакції

Поведінкові реакції

Нема реакцій

1

5

33

4

0

2

4

5

2

2

1

40

0

1

4

7

34

8

0

5

6

9

1

1

6

4

19

1

2

7

2

38

0

0

8

9

0

0

1

9

3

23

1

1

10

2

0

0

8

11

3

1

0

6

12

8

16

1

1

13

5

20

1

1

14

5

20

1

0

15

8

5

1

1

16

6

32

2

0


Додаток Л

Порівняльний аналіз шкал любові та реакцій зевнощів за допомогою критерія Вілкоксона-Манна-Уітні

Таблиця Л.1

Параметри

Шкала любові дівчат

Шкала любові юнаків

Шкала симпатій дівчат

Шкала симпатій юнаків

Шкала поведінки в суперечці дівчат

Шкала поведінки в суперечці юнаків

Шкала ніжності дівчат

Шкала ніжності юнаків

Шкала комунікацій дівчат

Шкала комунікацій юнаків

Середнє значення

21,34

24,68

21,97

23,5

20,34

21,6

21,91

21,06

18,28

20,12

Дисперсія

22,46

4,22

18,79

4,13

35,87

21,58

13,08

43,92

38,32

34,65

Критерій Вілкоксона-Манна-Уітні

2,28

0,85

0,65

0,34

1,27


Таблиця Л.2

Параметри

Шкала когнітивних реакцій дівчат

Шкала когнітивних реакцій юнаків

Шкала афективних реакцій дівчат

Шкала афективних реакцій юнаків

Шкала поведінкових реакцій дівчат

Шкала поведінкових реакцій юнаків

Шкала жодних реакцій дівчат

Шкала жодних реакцій юнаків

Середнє значення

4,34

4,87

19,4

18,4

1,51

1,44

1,06

1,56

Дисперсія

3,29

5,58

113,4

196,7

3,19

4,13

1,05

5,06

Критерій Вілкоксона-Манна-Уітні

0,78

0,32

0,46

0,14