Материал: РЕШЕННОЕ ЦТ по Биохимии

Внимание! Если размещение файла нарушает Ваши авторские права, то обязательно сообщите нам

25*. Выберите одно наиболее полное утверждение.

Конформационная лабильность структуры ферментов обеспечивает:

А. Превращение субстрата в области активного центра Б. Специфичность связывания субстрата в активном центре В. Выход продуктов из области активного центра Г. Кооперативное взаимодействие субъединиц

Д. Катализ и его регуляцию

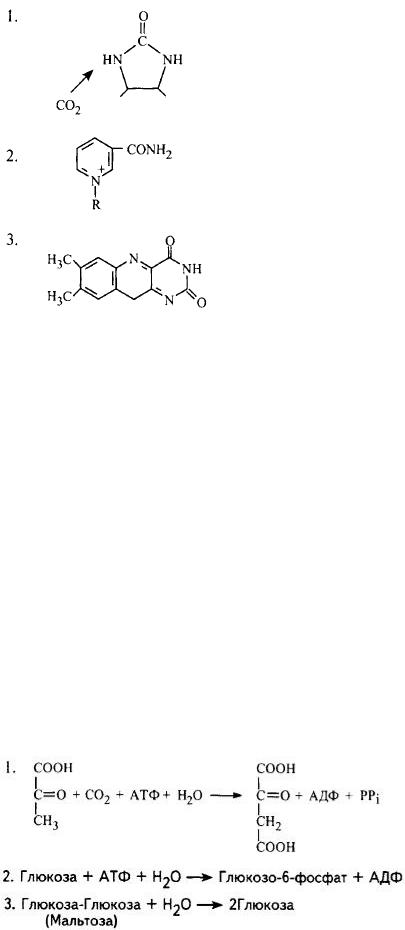
27. Установите соответствие.

 

Кофермент:

Фермент:

1.

FAD

А. Ацилтрансфераза

2.

Тиаминпирофосфат

Б. Аминотрансфераза

3.

Пиридоксальфосфат

В. Декарбоксилаза кетокислот

 

 

Г. Дегидрогеназа

Д. Карбоксилаза

28. Установите соответствие.

Пуриновый цикл

В

NAD

Д

Витамин РР

А

29*. Выберите один правильный ответ.

Кофермент NAD в отличие от кофермента FMN:

А. Представляет простетическую группу

Б. Непрочно связан с белком

В. Является производным витамина Г. Комплементарно связывается в активном центре дегидрогеназ Д. Состоит из двух нуклеотидов

30. Выберите правильные ответы.

Адениловая кислота входит в состав коферментов: А. FAD

Б. FMN

В. NADP

Г. Биотина

Д. Кофермента А (КоА)

31*. Выберите один правильный ответ.

Это кольцо обнаружено в соединении:

А. FMN

Б. NAD

В. Убихинон

Г. Гем Д. FAD

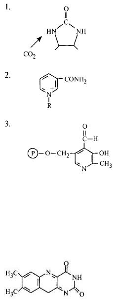
32. Установите соответствие.

Активная группа:

Кофермент:

A.NAD(2)

Б.FAD

В. Биотин(1)

Г. Пиридоксальфосфат(3) Д. КоА

33*. Выберите один правильный ответ.

Эта структура является активной группой кофермента:

А. NAD

Б. FAD

В. Биотина Г. Пиридоксальфосфата Д. КоА

34. Установите соответствие.

Активная группа кофермента:

Витамин:

А. В1 Б. В2 (3)

В. РР(2)

Г. Биотин (1)

Д. Пантотеновая кислота

35**. Выберите правильные ответы.

В переносе водорода участвуют коферменты:

А. Пиридоксальфосфат

Б. NAD

В. Н4-фолат

Г. Липоевая кислота Д. FAD

36. Установите соответствие.

Класс фермента:

А.Оксидоредуктаза

Б.Трансфераза (2) В. Изомераза Г. Гидролаза (3) Д. Лигаза (1)

Реакция:

37. Установите соответствие.

Реакция:

А. Дегидрогеназа (1) Б. Киназа (3)

В. Мутаза Г. Протеаза (2)

Д. Гидратаза

38**. Выберите один правильный ответ.

К классу лигаз относится фермент глюконеогенеза:

А. Енолаза Б. Альдолаза

В. Фосфоенолпируваткарбоксикиназа

Г. Пируваткарбоксилаза

Д. Глюкозо-6-фосфатаза

39**. Выберите один правильный ответ.

К классу гидролаз относится фермент глюконеогенеза:

А. Енолаза Б. Альдолаза

В. Фосфоенолпируваткарбоксикиназа Г. Пируваткарбоксилаза

Д. Глюкозо-6-фосфатаза

40**. Выберите один правильный ответ.

К классу лиаз относится фермент:

А. Гидратаза (присоединяет воду по двойной связи) Б. Фосфатаза В. Липаза Г. Нуклеаза

Д. Гликозидаза

41**. Выберите один неправильный ответ.

В гликолизе есть реакции, которые катализируют ферменты класса:

А. Оксидоредуктазы Б. Трансферазы

В. Гидролазы

Г. Лиазы Д. Изомеразы

42**. Выберите один неправильный ответ.

При дефиците тиаминпирофосфата:

А. Уменьшается скорость реакций цикла Кребса

Б. Нарушается синтез γ-аминомасляной кислоты (ГАМК)

В. Уменьшается образование ацетил-КоА из пирувата Г. Возникает гипоэнергетическое состояние Д. Нарушается синтез ацетилхолина

43*. Выберите один неправильный ответ.

Пищевые продукты содержат витамины, которые:

А. Не синтезируются в клетках организма человека Б. Могут синтезироваться микрофлорой кишечника В. Имеют активные группы, участвующие в катализе

Г. Могут быть источниками энергии

Д. Являются предшественниками коферментов

44. Выберите правильные ответы.

Внутриклеточные мембраны могут способствовать ускорению ферментативных реакций, так как:

А. Уменьшают время диффузии веществ

Б. Увеличивают сродство фермента к субстрату

В. Изолируют субстраты и действующие на них ферменты в одном компартменте

Г. Затрудняют достижение равновесия реакции

Д. Увеличивают вероятность столкновения молекул ферментов со своими субстратами

46**. Выберите один правильный ответ.

Каптоприл — конкурентный ингибитор карбоксидипептидилпептидазы используется при лечении гипертензии. Это лекарство изменяет:

A. Vmax превращения ангиотензина I в ангиотензин II

Б. Км реакции

В. Как Vmax, так и Км

Г. Специфичность к ангиотензину I Д. Первичную структуру фермента

47*. Выберите один правильный ответ.

Лекарственный препарат прозерин в отличие от сильного отравляющего вещества зарина:

А. Уменьшает активность ацетилхолинэстеразы Б. Связывается в активном центре фермента В. Образует с ферментом ковалентную связь

Г. Ингибирует ферменты с остатком Сер в активном центре

Д. Является обратимым ингибитором

48**. Выберите один правильный ответ.

Обнаружено, что увеличение концентрации циклического аденозинмонофосфата (цАМФ) в гладкомышечных клетках бронхов улучшает состояние больных бронхиальной астмой. Для облегчения симптомов этой болезни можно использовать лекарства:

А. Ингибиторы фосфодиэстеразы

Б. Ингибиторы аденилатциклазы В. Ингибиторы протеинкиназы А Г. Активаторы фосфодиэстеразы Д. Активаторы протеинфосфатазы

49*. Выберите один правильный ответ.

Примером необратимой регуляции активности ферментов является:

А. Фосфорилирование под действием протеинкиназ Б. Аллостерическая регуляция

В. Дефосфорилирование под действием протеинфосфатаз Г. Ингибирование конкурентными ингибиторами

Д. Частичный протеолиз ферментов, участвующих в переваривании белков

50. Выберите правильные ответы.

Аллостерические ферменты: А. Являются олигомерами

Б. Это регуляторные ферменты метаболических путей В. Ингибируются конечными продуктами метаболических путей

Г. Регулируются небольшими изменениями концентрации эффекторов