Материал: Развитие и переустройство пассажирской станции А

Внимание! Если размещение файла нарушает Ваши авторские права, то обязательно сообщите нам

. Кассиры несут материальную ответственность в соответствии с должностной инструкцией. Перед началом работы билетопечатающих автоматов билетный кассир, обслуживающий эти автоматы, обязан проверить наличие в них билетной ленты, заправить краской красящее устройство и установить на дататоре соответствующую дату (число, месяц и год), проверить исправность действия сигнальных ламп, наличие контрольной ленты, подписать ее, указав дату и время, после чего отпечатать пробный билет (со звездочками) и закрыть автомат.

Билет, полученный кассиром путем забрасывания монет, также считается пробным. Пробные билеты кассир гасит (перечеркивает), делая отметку на обороте билета, "Испорчен". Бланки испорченных билетов прикладываются к отчету. Продажа пробных билетов со звездочками или билетов, полученных при проверке работы автоматов путем забрасывания монет, запрещается. Проверка на заброс монет производится при открытой передней дверце автомата без поступления денег в монетосборник. Билетный кассир и механик обязаны периодически проверять работу автоматов. Смену даты на дататоре кассир производит в 00 ч 00 мин ежесуточно.

Сбор денежной выручки и учет проданных билетов

. Монетосборники из автоматов изымает комиссия в составе старшего билетного кассира, кассира-сборщика и билетного кассира, обслуживающего автоматы. Эта операция осуществляется не реже одного раза в сутки, как правило, в дневное время в строго определенные часы, установленные начальником станции, при наименьшем пассажиропотоке. Порядок изъятия монетосборников из автоматов следующий:

Билетный кассир открывает автомат и, получив доступ к контрольной ленте, не снимая ее, отмечает на ней время съема денежной выручки (число и часы) и вместе со старшим билетным кассиром подписывает сделанную отметку. После этого старший билетный кассир изымает из автомата монетосборник и передает его кассиру-сборщику. Взамен от кассира-сборщика он получает порожний опломбированный монетосборник, который и вставляет в автомат.

Допускается другой порядок съема выручки когда деньги из изъятого монетосборника высыпаются в специальный мешок, имеющий тот же номер, что и билетопечатающий автомат, а освободившийся монетосборник, вновь запламбировывают и вставляют наместо.

В процессе съема выручки билетный кассир заполняет под копировальную бумагу в двух экземплярах сборный лист формы ГУ-35. Для автоматов типа АБ-2 заполняются графа 1 и две графы той зоны, до которой работает данный автомат.

Кассир-сборщик проверяет наличие пломбы на монетосборнике и называет шифр пуансона, обозначенный на пломбе, билетному кассиру, который записывает шифр в графу 22 сборного листа, а в графу 23 - шифр пуансона, обозначенный на пломбе вставляемого в автомат порожнего монетосборника. После этого старший билетный кассир запирает автомат ключом.

Для автоматов типа АБ-3 заполняются графы сборного листа 1, 3-16, 22, 23; для автоматов типа АБ-4 - графа 1, две графы той зоны, до которой работает данный автомат, графы 17, 18, 22, 23; для автоматов типа АБ-5 - графы 1, 2, 3-18, 22, 23.

Автоматы, имеющие бункера сдачи, пломбируются шифром того же пуансона, которым запломбирован монетосборник.

Открывание и запирание автоматов всех типов, проставление отметок в контрольной ленте, изъятие и установка монетосборников с соответствующими записями в сборном листе производится так же, как и для автоматов типа АБ-2.

. Во время изъятия денежной выручки из автоматов принимаются меры к обеспечению полной ее сохранности. Ответственность за сохранность выручки возлагается на кассира-сборщика.

Из монетосборников выручку извлекают комиссионно в специально отведенном помещении. Кассир-сборщик в присутствии старшего билетного кассира и билетного кассира снимает пломбу с монетосборника с выручкой, сверяя при этом номер монетосборника с номером билетопечатающего автомата. После этого подсчитываются монеты. Количество монет, фактически оказавшихся в наличии, записывается в соответствующую графу сборного листа (по типам автоматов). Итоговые суммы выручки автоматов типов АБ-2 и АБ-3 подсчитываются по графе 21, а автоматов типа АБ-4 и АБ-5 - по графе 20. Количество и сумма неплатежных монет записываются в графах 24 и 25 (для всех автоматов).

Примечание. Количество монет в бункерах автоматов, выдающих сдачу, определяется начальником станции (вокзала). При первой зарядке бункеров составляется акт произвольной формы с указанием количества монет и суммы. При каждой инкассации денег из автоматов бункера пополняются до суммы, указанной в акте.

. При изготовлении на дорогах бланков сборных листов, книг продажи билетов билетопечатающими автоматами, сводных ведомостей учета продажи билетов пригородного сообщения и месячной выручки по билетопечатающим автоматам количество колонок в них для заполнения показаний операционных счетчиков должно предусматриваться в соответствии с количеством всех операционных зонных счетчиков в автоматах, применяемых на дороге.

Сборный лист подписывают кассир-сборщик, старший билетный кассир и билетный кассир. Подписанный сборный лист вручается билетному кассиру для заполнения книги продажи билетов формы ЛУ-36. На основании сбортого листа билетный кассир в книге заполняет для автоматов типов АБ-2 и АБ-3 графы 1, 3-16, 19, 26, 30; графы 17, 18, 20, 27, 28, 29 заполняют работники группы учета и отчетности станции. Для автоматов типов АБ-4, АБ-5 кассир заполняет графы 1, 2, 3-16, 19, 21-26, 30; графы 18, 20, 27-29 заполняют работники группы учета и отчетности станции.

. В случае недостачи денег работник группы учета и отчетности совместно с ревизором по доходам повторно проверяет правильность записей в сборном листе и в книге продажи билетов по показаниям контрольной ленты. При подтверждении правильности записей комиссионно проверяется работа автомата с участием ревизора по контролю доходов, электромеханика, старшего билетного кассира и билетного кассира. Для этого производится заброс монет в автомат в количестве 1/3 выручки данного автомата за данный съем. По результатам проверки составляется акт в трех экземплярах с указанием причин недостачи.

Перед проверкой составляется акт произвольной формы в трех экземплярах на выключение автомата с указанием в нем учетных данных. Контрольная лента должна быть снята, подписана старшим билетным кассиром и билетным кассиром с указанием даты и времени снятия.

Первые экземпляры этих актов сдаются в группу учета и отчетности, которая высылает их в финансовую службу дороги вместе с месячным отчетом о продаже билетов; вторые экземпляры хранятся у старшего билетного кассира, а третьи - у старшего электромеханика (электромеханика).

. При обнаружении излишних денег старший билетный кассир после повторной проверки отчетных данных в книге продажи билетов выписывает квитанцию разных сборов с указанием в ней даты, суммы излишних денег и номера автомата. Квитанция сдается в группу учета и отчетности станции, а номер квитанции для подтверждения того, что деньги сданы вместе с выручкой кассиру-сборщику по сборному листу, записывается в книгу продажи билетов.

В случае заявления пассажира о неправильной работе автомата последний вскрывается комиссией, выручка изымается, пересчитывается и лишние деньги возвращаются пассажиру на основании его письменного заявления. Все случаи обнаружения недостачи или излишка денег в автомате старший билетный кассир регистрирует в журнале технического осмотра с указанием даты и номера автомата. Автомат, в котором обнаружены недостача или излишек денег, должен быть немедленно проверен, а выявленные неисправности устранены.

. Сводная ведомость продажи билетов пригородного сообщения и учета месячной выручки формы ЛУ-40 составляется по истечении месяца работниками группы учета и отчетности станции на основании данных книг продажи билетов автоматами. Ведомость подписывается начальником станции (вокзала), начальником группы учета и отчетности и представляется в финансовую службу в установленные сроки.

.1 Расчет числа билетопечатающих автоматов для продажи пригородных билетов

Потребное число автоматов для продажи проездных билетов:

, (5.1)

где Pmax - максимальный общий пригородный пассажиропоток, обслуживаемый за день максимальных перевозок, чел.;

βa - часть пассажиров, приобретающих билеты через автоматы (βa = 0,2 - 0,7);

αp - коэффициент, учитывающий долю разовых билетов (αp = 0,2 − 0,5);

Пф - производительность автомата ( Пф = 200 - 250 чел./ч).

Коэффициент βa зависит от специфики конкретного вокзала. Коэффициент αр, кроме того, зависит от сезона (зимой αр меньше), дня недели (в воскресенье αр больше) и даже времени суток (в час «пик» αр меньше, чем среднесуточный).

Общий пригородный пассажиропоток по станции и остановочному пункту может быть определен по данным отчетности либо на основе натурного обследования отправлений пассажиров.

Приведенный порядок расчета не учитывает вероятностный характер приобретения билетов пассажирами через автоматы. Для более точных расчетов воспользуемся теорией массового обслуживания.

Приобретение пассажирами билетов через автоматы на вокзале можно рассматривать как одноканальную систему массового обслуживания с пуассоновским входящим потоком с интенсивностью λ . Время обслуживания пассажира автоматом tобс постоянно. Максимальная интенсивность пригородного пассажиропотока, обслуживаемого через автоматы:

, (5.2)

где  - число пассажиров, отправленных за «пиковый» период в сутки максимальных перевозок;

Δtпик - длительность «пикового» периода.

Средняя интенсивность обслуживания пассажира автоматом

μ = ПфА. (5.3)

Коэффициент загрузки автомата

.(5.4)

Среднее время обслуживания пассажира автоматом

обс =1/ Пф. (5.5)

Для используемых в настоящее время автоматов средняя интенсивность обслуживания в среднем составляет 15 с.

Минимально необходимое число автоматов на вокзале определяется из условия, что коэффициент загрузки автомата φ не должен превышать единицы. Из этого условия минимально необходимое число автоматов

Аmin › λtобс.(5.6)

Среднее время ожидания пассажира в очереди к автомату:

.(5.7)

Среднее время, затраченное на приобретение билета:

.(5.8)

Из условия, что среднее время, затраченное на приобретение билета не должно превышать допустимого времени Тдоп, т. е. Т ≤ Тдоп, получаем

.(5.9)

Потребное число автоматов на вокзале определяется как минимальное целое число, удовлетворяющее условию

.(5.10)

Если учесть, что автоматы время от времени ломаются или их ставят на профилактический ремонт, то на вокзале требуется установка L автоматов (L≥A).

Интенсивность потока отказов автоматов

,(5.11)

где Тотк - средняя наработка на отказ, т.е. среднее время работы автомата между двумя поломками.

Интенсивность потока отключения автоматов для профилактического ремонта

, (5.12)

где Тпроф - среднее время работы автомата от одного профилактического ремонта до другого.

Интенсивность потока восстановления автоматов

, (5.13)

где Твос - среднее время профилактического или обычного ремонта.

Суммарная интенсивность перехода автоматов в неработоспособное состояние

λ = λоткпроф. (5.14)

Время безотказной работы и время восстановления распределено по экспоненциальному закону.

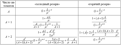
В качестве критерия при выборе общего числа автоматов берется вероятность p = p(A) - вероятность того, что при установившемся режиме работы системы в любой момент времени работоспособными окажутся не менее А автоматов. При этом возможны два режима включения автоматов:

«холодный резерв» - в любой момент времени включено не более А автоматов;

«горячий резерв» - в любой момент времени включены все работоспособные автоматы.

Первый вариант предпочтительней с точки зрения минимизации общего числа автоматов в том случае, когда частота поломок автоматов зависит только от времени их нахождения в включенном состоянии и не зависит от частоты обращения к ним.

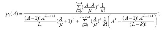
Вероятности нахождения в работоспособном состоянии не менее А автоматов:

для «холодного резерва»

(5.15)

для «горячего резерва»

(5.16)

Вследствие того, что определение вида явной зависимости L от p(A) не представляется возможным, рассчитывать L следует методом последовательных приближений. Вначале рассчитывают p(A) - вероятность безотказной работы А автоматов при отсутствии резервных автоматов. Если эта вероятность меньше нормативно установленной вероятности p, то рассчитывается p(A) - вероятность безотказной работы А автоматов при общем их числе= A + 1 и т.д.

Процесс продолжается до тех пор, пока вероятность р(А) при L = А + к не превысит p. В этом случае общее число автоматов, необходимых для обслуживания пассажиров, равно L, из них к - резервных.

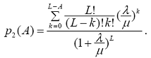
Формулы для определения р(А) при L = А, А + 1, А + 2 представлены в таблице 5.1.

Таблица 5.1

Формулы для расчета вероятности безотказной работы


Среднее число пассажиров, ожидающих приобретения билета:

.(5.17)

Средняя длина очереди к автомату

.(5.18)

Определим потребное количество автоматов по продаже железнодорожных билетов и среднюю длину очереди к автоматам с тем условием, чтобы пассажир затрачивал на приобретение билета не более Т = 1 мин. В час максимальных перевозок с вокзала отправляется 2000 чел. Часть пассажиров, приобретающих билеты через автоматы на данном вокзале, βa = 0,7. Коэффициент, учитывающий долю разовых билетов, αð = 0,6. Производительность автомата Пф = 200 чел/ч.

Максимальная интенсивность пригородного пассажиропотока, обслуживаемого через автоматы, определится

 чел/мин.

Время обслуживания tобс = 0,3 мин.

Потребное число автоматов на вокзале