Материал: Разработка методики по оценке экономической эффективности ИТ-проектов с использованием метода анализа иерархий

Внимание! Если размещение файла нарушает Ваши авторские права, то обязательно сообщите нам

По второму критерию - если простой срок окупаемости проекта превышает три года, то проект отклоняется.

По третьему критерию - уровень новизны проекта, предложено воспользоваться классификацией Г. Менша [16]: базисные инновации, улучшающие инновации и псевдоинновации. Псевдоинновация от дальнейшего рассмотрения отклоняются.

По четвертому критерию - техническая возможность реализации проекта, необходимо оценить, существуют ли технологии для реализации проекта и доступны ли они. В случае отрицательного ответа проект подлежит отклонению.

По пятому критерии - возможность эффективной реализации проекта, необходимо рассчитать чистый дисконтированный доход (NPV) проекта. В случае если NPV проекта получается отрицательным, то проект необходимо отклонить. Возможно, что проект имеет социальную или экологическую направленность, то тогда необходимо рассмотреть возможность получения государственной поддержки и рассчитать NPV с учетом поддержки.

В случае, если по любому из критериев, в ходе проведения предварительной экспертизы получен отрицательный результат, то проект отклоняется от дальнейшего рассмотрения.

Таким образом, на следующий, второй этап, не поступают явно бесперспективные инновации.

На втором этапе экспертам предстоит решить следующую задачу:

Имеется  - множество проектов, которые подлежат многокритериальному анализу;

 - множество количественных и качественных критериев, которыми оцениваются варианты инновационных проектов.

Задача состоит в том, чтобы упорядочить элементы множества V по критериям из множества C.

Для решения этой задачи предлагается использовать следующие принципы:

Принцип 1. Рассмотрение критериев как нечетких множеств, которые заданы на универсальных множествах вариантов с помощью нечетких треугольных или трапециевидных чисел;

Принцип 2. Определение рангов критериев на основе экспертной информации о парных сравнениях вариантов с помощью 9-тибальной шкалы Саати [13].

Принцип 3. Ранжирование вариантов на основе пересечения нечетких множеств - критериев, которые отвечают известной в теории принятия решений схеме Беллмана - Заде [1].

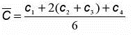
При оценивании показателей эксперты задают нижние - пессимистические оценки c1(i), верхние - оптимистические оценки c4(i) и интервалы наиболее ожидаемых (возможных) значений исследуемых параметров (c2(i), c3(i)), i=1,…k, где k - число экспертов. Затем, для выполнения операций, связанных с определением обобщенного мнения экспертов, используются операции сложения и умножения нечетко-интервальных чисел [17]:

. (10)

Дальнейшая обработка нечетко сформулированных мнений экспертов может осуществляться двумя путями:

)        Путем дефазификации полученных нечетких частных оценок и дальнейшей их обработки в дефазифицированном виде;

)        Путем обработки (суммирования, умножения и т.д.) имеемых нечетких оценок в фазифицированном виде с последующей дефазификацией результатов.

Оба варианта дают абсолютно одинаковые результаты.

Дефазификацию результатов экспертной оценки, представленной в виде нечеткого трапециевидного числа, предлагается проводить по формуле:

 (11)

Далее эксперты определяют ранги критериев.

Пусть  - коэффициенты относительной важности (или ранги) критериев, такие что . Для определения коэффициентов , предлагается воспользоваться методом анализа иерархий Т. Саати. Для этого строится матрица попарных сравнений Al (3) критериев по 9-ти балльной шкале Саати. Далее Т. Саати предложил получать решение для вектора рангов W из уравнения вида АW = λmaxW, где λmax - максимальное собственное значение матрицы попарных сравнений критериев Al. Т. Саати предложил находить собственное значение как среднегеометрические величины каждой строки матрицы. Полученные таким образом среднегеометрические значения собственного вектора нормализуются делением на сумму средних геометрических.

, (12)

где элемент  оценивается экспертом по 9-ти бальной шкале Саати:

Таблица 4 - Лингвистические оценки относительной важности

Степень важности

Определение

Комментарии

1

Одинаковая важность

Два объекта вносят одинаковый вклад в достижение цели

3

Слабая значимость

Опыт и суждение дают легкое предпочтение одному объекту перед другим

5

Существенная или сильная значимость

Опыт и суждение дают сильное предпочтение одному объекту перед другим

7

Очень сильная и очевидная значимость

Предпочтение одного объекта перед другим очень сильно. Его превосходство практически явно

9

Абсолютная значимость

Свидетельства в пользу предпочтения одного объекта в высшей степени убедительны

2, 4, 6, 8

Промежуточные значения между соседними значениями шкалы

Ситуации, когда необходимы компромиссные решения

Обратные величины приведенных выше значений

Если при сравнении объекта A с объектом B мы получим одно из приведенных выше значений, то, соответственно, результат сравнения объекта B с объектом A есть обратная величина

-


Для обеспечения согласованности матрица (12) имеет такие свойства:

она диагональна, т.е. ;

элементы, симметричные относительно главной диагонали связаны зависимостью

.

После получения функций принадлежности и рангов критериев производится их свертка. Базируясь на принципе Беллмана - Заде [1], наилучшей системой будем считать ту, которая одновременно лучшая по критериям . Поэтому нечеткое множество, которое необходимо для рейтингового анализа, определяется в виде пересечения (интегральный критерий оценки систем):

 (13)

Выражение (4) используется для равнозначимых критериев. Конструктивным, достаточно полно отражающим качественный характер задания предпочтений в многокритериальной задаче является подход, предложенный Р.Егером, основанный на обобщении понятий концентрирования и растяжения [18].

Обобщенный критерий Р.Егер предлагается формировать в виде:

, (14)

где  - коэффициенты относительной важности (или ранги) критериев , такие что .

В [18] показано, что возведение в степень, большую единицы, ужесточает требования к выполнению критерия, т.е. делает его более важным. Возведение в степень, меньшую единицы, наоборот, снижает требования к удовлетворению критерия. При этом сохраняются нормировки функций принадлежности все критериев и ограничений. С одной стороны подход Р.Егера позволяет проводить ранжирование частных целей и ограничений в соответствии с интуитивными представлениями о задании той или иной жесткости требований к достижению целей. С другой стороны, этот подход позволяет естественным образом использовать операцию пересечения для формирования совокупности критериев [3].

Таким образом, мы имеем рейтинг проектов, построенный каждым экспертом в отдельности.

Следующий этап - третий, определение компетентности оценок экспертов и с учетом их компетентности формирование единого (общего) рейтинга проектов.

Для этого, руководитель ЦИД[6] строит матрицу попарных сравнений компетентности оценок экспертов аналогичную (3) и затем определяется собственный вектор данной матрицы. Далее производится мультипликативная свертка результатов, полученных на втором этапе, умноженных на компетентность оценок экспертов.

Наилучшей системой (проект) следует считать тот вариант, для которого обобщенный результат, с учетом важности критериев и рангов оценок экспертов, является наибольшей.

3.2 Апробация методики выбора метода для оценки эффективности проекта

В данном параграфе изложен алгоритм выбора метода оценки экономической эффективности проекта. С учетом всего вышесказанного в пункте 3.1 было решено использовать метод анализа иерархий Саати.

Описание метода выполним на примере выбора методов для оценки проекта.

1.       Определим альтернативы:

-       учетные методы

-       динамические

-       качественные

.        Выберем критерии:

-       Сложность расчетов

-       Полнота оценки «проекта»

-       Анализ рисков

В основе АНР все та же линейная свертка, но оценки альтернатив и веса критериев получаются особым образом. Его мы сейчас и рассмотрим.

3.      Представим иерархию.

В модели АНР вместо критериальной таблицы принята иерархия. Представим ее следующим образом:

Уровень 0 : Цель - выбрать методы для оценки проекта

Уровень 1.Критерии:

-       Сложность расчетов

-       Полнота оценки «проекта»

-       Анализ рисков

.        Получим оценки альтернативы для каждого критерия.

Для этого, лицо, принимающее решение (ЛПР), должно сравнить альтернативы. Сравнение возможно по 2 параметрам с использованием парных сравнений или с использованием быть лучше в N раз. Рассмотри 2 данные альтернативы. При парных сравнениях предалгается использование шкалы из таблицы 5. На практике часто возникают ситуации, когда одновременно справедливы следующие 2 утверждения: а) «альтернатива А1 очень сильно превосходит альтернативу А2» и б) «альтернатива А2 очень сильно превосходит альтернативу А3». Что можно сказать о превосходстве альтернативы А1 над альтернативой А3? Логично было бы сделать заключение, что альтернатива А1 превосходит альтернативу А3 в 49 раз (7 умножить на 7). Но этот вывод явно не укладывается в рамки заданной шкалы. Как же быть? Процедура АНР не дает ответа на этот каверзный вопрос. Скорее всего, придется удовлетвориться утверждением типа: «альтернатива А1 имеет высшее превосходство над альтернативой А3» и в дальнейшем использовать градацию шкалы «9».

Система использованием быть лучше в N раз лишена данного недостатка. Используем именно её.

Используем понятие «быть лучше в N раз». Суть: выставление дробей(1/2, ¼, 4/1 и т.д) в качестве оценок. Например, на пересечении строки «Динамический метод» и столбца «Учетный» записана дробь 4/1. Это выражает мнение ЛПР о том, что значение критерия динамического метода в 4 раза выше, чем у учетного.

Составим данные таблицы для каждого из критериев (см.табл. 5,6,7).

Таблица 5 - Сравнение альтернатив по критерию «Сложность расчетов»


Динамические

Качественные

Учетные

Динамические

1

1/4

1 1/2

Качественные

1/5

1

4

Учетные

2/3

1/4

1


Таблица 6 - Сравнение альтернатив по критерию «Полнота оценки проекта»


Динамические

Качественные

Учетные

Динамические

1

4

2

Качественные

1/4

1

4

Учетные

1/2

1/4

1


Таблица 7 - сравнение альтернатив по критерию «Анализ рисков»


Динамические

Качественные

Учетные

Динамические

1

2

3

Качественные

1/3

1

1/2

Учетные

1/3

1/2

1


.        Переведем полученные дроби в десятичные и нормируем их. Для этого разделим сумму каждой строки на сумму последнего столбца, т.е. сумма самих строчных сумм. Результаты представим в таблицах 8, 9, 10.

Таблица 8 - Результаты нормирования по критерию «Сложность расчетов»


Динамические

Качественные

Учетные

Сумма по строке

Динамические

0,10

0,03

0,15

0,28

Качественные

0,02

0,10

0,41

0,53

Учетные

0,07

0,10

0,19




ИТОГО

1,00


Таблица 9 - Результаты нормирования по критерию «Полнота оценки проекта»


Динамические

Качественные

Учетные

сумма по строке

Динамические

0,07

0,29

0,14

0,50

Качественные

0,02

0,07

0,29

0,38

Учетные

0,04

0,02

0,07

0,13




ИТОГО

1,00


Таблица 10 - Результаты нормирования по критерию ««Анализ рисков»