Материал: Расчет и анализ линейных электрических цепей

Внимание! Если размещение файла нарушает Ваши авторские права, то обязательно сообщите нам

3.2.5.1 Расчет ТФЦ при соединении нагрузки звездой с нулевым

 

 

проводом

 

 

 

 

 

 

 

 

 

 

 

 

 

 

 

 

 

 

 

 

 

 

 

 

 

.

 

 

 

 

 

 

 

 

 

 

 

 

 

 

 

 

 

 

 

 

 

 

 

 

 

I A

R

A

X LA

X

CA

 

 

 

 

При соединении нагрузки звездой с нулевым

 

 

 

 

 

 

 

 

 

 

 

 

 

 

 

 

 

 

 

 

A

 

.

 

 

 

 

 

 

 

 

 

 

 

 

 

 

 

 

 

 

 

 

 

 

 

 

 

 

 

 

 

 

 

 

 

 

 

 

 

I

 

 

 

X

 

 

X

 

 

 

 

 

 

 

 

 

 

 

 

 

 

 

 

 

 

B

R

 

LB

CB

O

'

проводом (рисунок 3.7)

фазы нагрузки работают

 

 

 

 

 

B

 

 

 

 

 

 

 

 

 

 

 

 

 

 

 

 

 

 

 

 

 

 

 

 

 

B

 

.

 

 

 

 

 

 

 

 

 

 

 

 

 

 

 

 

 

 

 

 

 

 

 

 

 

 

 

 

 

 

 

 

 

 

 

I

 

 

 

 

 

 

XCC

 

 

 

 

 

 

 

 

 

 

 

 

 

 

 

 

 

C

R

 

X

 

 

 

независимо друг от друга и включены на фазные

 

 

 

LC

 

 

 

 

 

C

 

 

 

 

 

 

 

 

 

 

 

 

 

 

 

 

 

 

 

 

C

 

 

 

 

 

 

.

 

 

 

 

 

 

 

 

 

 

 

 

 

 

 

 

 

 

 

 

 

 

 

I

 

 

 

 

 

 

напряжения генератора:

 

 

 

 

 

 

 

 

 

 

 

 

N

 

 

 

 

 

 

 

 

 

 

 

 

 

 

 

 

 

 

 

 

 

 

 

 

 

 

 

 

 

 

 

 

 

 

 

 

 

 

 

 

 

 

 

 

 

 

 

 

 

 

 

O

 

 

 

 

 

 

 

 

 

 

 

 

U

 

220 e

j 0

B; U

 

220

e

j 120

B; U

 

220 e

j 120

B.

 

 

 

 

 

 

 

 

 

 

 

 

 

A

 

B

 

C

 

 

 

 

 

 

 

 

 

 

 

 

 

 

 

 

 

 

 

 

 

 

 

 

 

Рисунок 3.7 – Схема ТФЦ

 

 

 

 

 

 

 

 

 

 

 

 

 

 

Сопротивления фаз:

ZА = RA + j XLA – j XCA =100 + 100j –30j =100 + 70j Ом; ZB = RB + j XLB – j XCB =50 + 20j – 80j = 50 – 60j Ом;

ZC = RC + j XLC – j XCC =40 + 100j – 50j = 40 + 50j Ом.

Фазные токи равны линейным токам и определяются как

Ток нулевого провода равен сумме токов всех фаз

I

 

I

 

 

U

ФГ

.

 

 

 

 

 

 

 

 

 

 

 

Ф

 

Л

 

Z

 

 

 

 

 

 

 

 

 

 

 

 

 

Ф

 

I

N

I

A

I

B

I

C

.

 

 

 

 

 

Расчет схемы в системе Mathcad показан на рисунках 3.8 – 3.9

Исходные данные:

 

 

 

 

 

 

 

 

 

 

 

 

Uf : 220

B j :

 

1

 

 

RA : 100

Ом

XLA : 100 Ом

XCA : 30

Ом

RB : 50

Ом

XLB : 20 Ом

XCB : 80

Ом

RC : 100

Ом

XLC : 100 Ом

XCC : 50

Ом

Фазные напряжения генератора:

 

 

UA : Uf UB : Uf e j 120deg

UC : Uf ej 120deg

Сопротивления фаз:

 

 

ZA : RA j XLA j XCA 100 70i

Ом

ZB : RB j XLB j XCB 50 60i

Ом

ZC : RC j XLC j XCC 100 50i

Ом

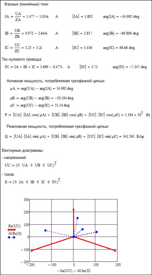
Рисунок 3.8 – Расчет ТФЦ при соединении нагрузки звездой с нулевым проводом

56

Рисунок 3.9 – Расчет ТФЦ при соединении нагрузки звездой с нулевым

проводом (продолжение)

57

A

B

C

3.2.5.2 Расчет ТФЦ при соединении нагрузки треугольником

I A

IB

I

C

 

X

CBC

 

I

 

 

 

 

 

AB

 

 

 

 

R

 

 

 

X

 

 

X

 

CAB

CA

R

LAB

 

 

 

 

 

AB

 

X

 

 

 

 

 

ICA

 

X LBC

LCA

 

 

IBC

 

 

RBC

XCCA

 

 

 

 

При соединении нагрузки треугольником

(рисунок 3.10) фазы нагрузки работают независимо друг от друга и включены на линейные напряжения генератора, которые по величине больше фазных напряжений в 3 раз

. РисунокE B

3.10 – Схема ТФЦ

U

Л

 

3U

Ф

.

 

 

 

 

Линейные напряжения генератора:

U

Л

3U

Ф

 

3 220 380B

 

 

 

 

 

 

 

 

 

 

 

 

 

 

 

 

 

 

 

 

U

 

 

U

 

U

 

380 e

j 30

B;

 

 

 

 

 

AB

A

B

 

 

 

 

 

 

 

 

 

 

 

 

 

 

 

 

 

 

 

 

U

 

 

U

 

U

 

380 e

j 90

B;

 

 

 

 

 

BC

B

C

 

 

 

 

 

 

 

 

 

 

 

 

 

 

 

 

 

 

 

 

 

U

 

 

U

 

U

 

380 e

j 150

 

B.

 

 

 

 

 

CA

C

A

 

 

 

 

 

 

 

 

 

 

 

 

 

 

 

 

 

 

 

 

 

 

 

Сопротивления фаз:

 

 

 

 

 

 

 

 

 

 

 

 

 

 

ZАB = RAB + j XLAB – j XCAB =100 + 100j –30j =100 + 70j Ом;

 

 

 

 

 

 

ZBC = RBC + j XLBC – j XCBC =50 + 20j – 80j = 50 – 60j Ом;

 

 

 

 

 

 

ZCA = RCA + j XLCA – j XCCA =40 + 100j – 50j = 40 + 50j Ом.

 

 

Фазные токи в нагрузке определяются как

 

 

 

 

 

 

 

 

 

 

 

 

I

 

 

U

ЛГ

.

 

 

 

 

 

 

 

 

 

 

 

 

 

 

 

 

 

 

 

 

 

 

 

 

 

 

 

 

 

 

 

 

 

 

 

 

 

 

 

 

 

 

 

 

Ф

 

Z

 

 

 

 

 

 

 

 

 

 

 

 

 

 

 

 

 

 

 

 

 

 

 

 

 

 

 

 

 

 

 

 

 

Ф

 

 

 

Линейные токи рассчитываются по формулам

 

 

 

 

I A I AB ICA;

IB IBC I AB ;

 

IC ICA IBC .

Расчет схемы в системе Mathcad показан на рисунках 3.11 – 3.12

58

Рисунок 3.11 – Расчет ТФЦ при соединении нагрузки треугольником

59

Рисунок 3.12 – Расчет ТФЦ при соединении нагрузки треугольником

(продолжение)

60