Материал: Проект дизельного двигателя для сельскохозяйственного трактора номинальной мощностью 70 кВт

Внимание! Если размещение файла нарушает Ваши авторские права, то обязательно сообщите нам

RyA=(140,85-413,4195+1918,4987-129,108)/0,117=12964,3Н

Аналогично находим реакции RyB и RyA при Кmin

RyA=-7467,2Н RyB=-4456,88Н

Уравнение моментов относительно точки А в плоскости перпендикулярной плоскости кривошипа при Тmax

ΣМА= Rxb∙ l кр-Тmax(0,5lкшL+hL+0,5 l шш)=0

RxB= Тmax(0,5lкшL+hL+0,5 l шш)/ l кр

RxB=25439,53∙(0,0175+0,025+0,016)/0,117=12719,8Н

RxA= RxB

При действии Тmin

RxA= RxB=-3739.43Н

Реакции

Кmax

Кmin

Тmax

Тmin

RA

RyA=12964,3

RyA=-7467,2

RxA=12719,8

RxA=-3739.43

RB

RyB=29904,4

RyB=-4456,88

RxB=12719,8

RxB=-3739.43


Сечение I-I

=RyBmax(0,5 lкшP+ hP)- ( Kr щP- Kr пр)0,5 hP

=29904,4∙(0,016+0,025)-(1484-6179)∙0,0125=1284.77н∙м

= RyBmin(0,5 lкшP+ hP)- ( Kr щP- Kr пр)0,5 hP

=-4456,88∙(0,016+0,025)-( 1484-6179)∙0,0125=-124,04н∙м

= RxBmax(0,5 lкшP+ hP)

=12719,8∙0,041=521,5н∙м

= RxBmin(0,5 lкшP+ hP)

=-3739.43∙0,041=-153,3 н∙м

Осевой момент инерции

IX=IY=

W

Суммарный max изгибающий момент

Мизг max=

Мизг min=

Максимальное и минимальное касательные напряжения знакопеременного цикла:

 


Среднее напряжение и амплитуда напряжений:

sm = (smax+ smin) / 2 = (52,6- 7,4) / 2 = 22,6МПа;

sa= (smax- smin) / 2 = (52,6 + 7,4) / 2 = 30 МПа.

Частный запас усталостной прочности по кручению:


Общий запас прочности в сечении I-I


Сечение II-II

Мymax= RxAmax(0,5 lкшL+ hL+0,5 l шш)

Мymax=12719,8∙(0,0175+0,025+0,016)=744Н

Мymin= RxAmin(0,5 lкшL+ hL+0,5 l шш)

Мymin=-3739.43∙(0,02+0,028+0,0215)=-218,8Н

Момент сопротивления

ξизг=0,88 (при aшш/ dшш=8/65)

Максимальное и минимальное касательные напряжения знакопеременного цикла:


Среднее напряжение и амплитуда напряжений:

sm = (smax+ smin) / 2 = (16,03- 4,7) / 2 = 5,67МПа;

sa= (smax- smin) / 2 = (16,03 + 4,7) / 2 = 10,37 МПа.

Частный запас усталостной прочности по кручению:


Общий запас прочности в сечении II-II


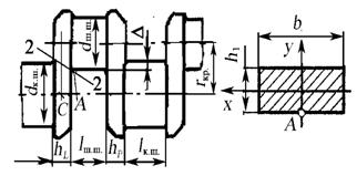
Расчёт щеки

рис. 5. Расчетная схема щеки коленчатого вала

Мизг max=0,5RyBmax(lкш+hP)

Мизг max=0,5∙15974,6∙(0,035+0,025) =479н∙м

Мизг min=0,5RyBmin(lкш+hP)

Мизг min=0,5∙(-4456,88)∙0,06=-134н∙м

Перекрытие шатунной шейки

Определим h1


Максимальное и минимальное касательные напряжения знакопеременного цикла:


Среднее напряжение и амплитуда напряжений:

sm = (smax+ smin) / 2 = (57- 16) / 2 = 20,5МПа;

sa= (smax-smin) / 2 = (57 + 16) / 2 = 36,5 МПа.

Частный запас усталостной прочности по изгибу:


От кручения запас прочности в окрестности точки А вычислили ранее при расчете шатунной шейки на кручение. Он равен nt=6,3

Общий запас прочности щеки


6.2 Расчет шатуна проектируемого двигателя

Расчет поршневой головки шатуна


Рис. 6. Расчетная схема шатунной группы

Расчетная схема шатунной группы приведена на рис. 6, а нагрузки, действующие на поршневую головку - на рис. 7.

Рис. 7. Напряжения в поршневой головке при действии силы инерции: а - схема нагрузки при растяжении; б - эпюры напряжений на внутреннем волокне σвj и наружном σнj при растяжении

ω=πnxx/30=260 с-1; r= 62,5 мм - радиус кривошипа; lш = 230 мм - длина шатуна;=0,272; Dг =55 мм; d=40 мм; d1= 36 мм; δв=2 мм; L1=176 мм; a= 40 мм; hг=7,5 мм; dк= 69 мм; dшш=65 мм; mпг=2,755 кг.

Расчетная разрывающая сила инерции при положении поршня в ВМТ равна

=2,755∙(260)2∙0,0625∙(1+0,272)= 14805,92 Н.

Максимальная сила, сжимающая шатун при положении поршня в ВМТ вначале такта расширения

,

где pz - максимальное давления сгорания, (из расчета цикла); p0=0,1 МПа - атмосферное давление; Fп - площадь поршня,

=(10-0,1)∙106∙0,095-2,755· ∙2602∙0,0625(1+0,272)=92670,11 Н.

Угол φз определяется формулой, которая учитывает радиус галтели Rг=77 мм, ширину стержня шатуна Hmin=40 мм и наружный диаметр верхней головки Dг=55 мм:

.

Определим изгибающий момент M0 и продольную силу N0 в центральном сечении I-I (см. рис. 7):


где =130° - угол заделки в градусах; rср - средний радиус поршневой головки rср =(Dг +d)/4= (0,055+0,040)/4 =0,0238 м.

Отсюда

M0 = 14805,92 ·0,0238(0,00033·130-0,0297)=4,65Н·м;

N0 = 14805,92 (0,572-0,0008·130)= 6929,19 Н.

Величины изгибающего момента и поперечной силы в заделке (см. рис. 7, сечение ограниченное углом φз), определяется по формуле:

з=4,65+6929,19·0,0238(1+0,6428)-0,5·14805,92 ·0,0238 (0,7660+0,6428)=27,35Н·м

Nз= -6929,19∙0,6428 +0,5·14805,92 (0,7660+0,6428)= 5975,21 Н.

Рис. 8. Распределение нагрузки и эпюры напряжений при действии сжимающей силы

При действии сжимающей силы изгибающий момент M0 и продольная сила N0 в центральном сечении I-I (рис.7) равны:

               (5)

где функции f1(φз) и f2(φз) определяются по табл. 4.

Таблица 4

Значение функций f1(φз) и f2(φз)

Функции

Угол заделки φз


100

105

110

115

120

125

130

f1(φз)

0,0001

0,0005

0,0009

0,0018

0,0030

0,0050

0,0085

f2(φз)

0

0,00010

0,00025

0,00060

0,00110

0,00180

0,00300


 =92670,11∙0,0085 =787,70 Н;

 =-92670,11∙0,0238∙0,003=-6,62 Н·м.

Изгибающие моменты и продольные силы для любого сечения на участке1 (0 < φ ≤ 90°) определяются выражениями:


На участке 2 (90° ≤ φ ≤ φз)


Напряжение в произвольном сечении определяется по формуле

,

где M и N - изгибающий момент и поперечная сила в соответствующем сечении; F - поперечное сечение его;  - осевой момент сопротивления; a - длина поршневой головки шатуна; hг - толщина стенки головки.

В сечении I-I (см. рис. 7а) при a=40 мм; hг = 7,5 мм F= 300·10-6 м2;

W =0,375∙10-6 м3, а в заделке - F= 360·10-6 м2; W =0,540∙10-6 м3.

Напряжения от запрессовки втулки на внешней поверхности поршневой головки можно определить по следующим данным: натяг Δ=0,04 мм; модули упругости втулки и шатуна Eв = 1,2∙105 МПа; Eш = 2,2∙105 МПа, k1= d1/d = 0,90; k2= d/Dг=0,727; коэффициенты Пуассона бронзы и стали (μв ≈ μш = 0,3). Втулка нагревается до температуры 110 ºС, а при коэффициентах линейного расширения для бронзы αв = 15,6∙10-6 1/ ° С; для шатуна αш ≈ 12∙10-6 1/ ° С температурный натяг равен

Δt =dΔt(αв - αш)= 40·110·(15,6-12)·10-6=0,0158 мм.

Напряжение при запрессовке втулки равно


Напряжение на внешней поверхности головки от запрессовки втулки будет равно

60,6 МПа

Определим коэффициент K


Напряжения в заделке на внешней поверхности от действия изгибающего момента и продольной силы равны:

при растяжении

=65,14 МПа;

при сжатии

=-102,7 МПа.

С учетом запрессовки втулки на внешней поверхности поршневой головки напряжение равно:

при растяжении

 МПа

при сжатии

 МПа.

Амплитудное и среднее напряжения

σм=0,5(125,74-42,1)=83,64 МПа;

σа=0,5(125,74+42,1)=167,9 МПа.

Запасы прочности определялись по формуле

,

где σ-1 = 540 МПа- предел выносливости при симметричном цикле; Kσ = 1,1- эффективный коэффициент концентрации напряжений; β =0,87 - коэффициент обработки поверхности; εσ = 0,87 - коэффициент влияния абсолютных размеров; ψσ = 0,184- коэффициент, учитывающий влияние средних напряжений на выносливость.

Таким образом, запас прочности в заделке равен:

=2,5.

Расчет стержня шатуна

Расчет стержня шатуна будем проводить по среднему сечению. Определим площадь поперечного сечения и моменты инерции относительно осей x-x и y-y (рис.6). Из чертежа серийного шатуна из стали 18ХНВА известно: h= 38 мм; b= 22 мм; a= 8 мм; t= 5,5 мм. Определим геометрические характеристики поперечного сечения:

Площадь среднего сечения шатуна, м2: = 4,58∙10-4 м2;

Момент инерции сечения B-B (см. рис. 6) относительно оси x-x, перпендикулярной плоскости качания шатуна, м4:  = 7,76∙10-8 м4;

Момент инерции сечения B-B (см. рис. 1) относительно оси y-y, лежащей в плоскости качания шатуна, м4:

=27,54∙10-9 м4;

Радиус инерции относительно оси x-x: =0,0130 м;

Радиус инерции относительно оси y-y: = 0,00775 м.

Определяем максимальную растягивающую силу

18434 Н.

Определяем максимальное напряжение от растягивающей нагрузки

= 40,25 МПа.

В среднем сечении кроме сжатия происходит изгиб, связанный с эксцентриситетом сжимающей нагрузки и прогибом от центробежных сил, перпендикулярных к оси стержня. На сжатие стержень шатуна рассчитывают по полуэмпирическим формулам [5]

=-202,3 МПа,

где L = 0,230 - длина шатуна (см рис. 6);

L1 =L -0,5(d1+dк)= 0,230-0,5(0,04+0,069)=0,176 м (диаметры отверстий поршневой и кривошипной головок) (см. рис. 6).

Амплитудное напряжение с учетом изгиба относительно оси x-x σa = 137,9 МПа; то же относительно оси y-y σa = 121,3, а средние напряжения σm= -97,7и σm= -81,0 МПа соответственно.

Запасы прочности


Расчет кривошипной головки

Рис. 9. Расчетная схема для определения напряжений в кривошипной головке шатуна

Кривошипная головка шатуна нагружается в ВМТ в начале такта впуска силой инерции поступательно движущихся и вращающихся масс, расположенных над плоскостью разъема кривошипной головки шатуна:


Где m2=2,025 кг- масса шатуна, сосредоточенная на оси кривошипа, mкр=0,405кг

На такте расширения кривошипная головка шатуна подвергается сжатию от сил газовых и инерционных


Для определения напряжений в кривошипной головке предполагают, что она составляет единое целое, т. е. вследствие сильной затяжки болтов раскрытие стыков не происходит. Сечения кривошипной головки для упрощения расчетов считают постоянным и равным среднему сечению крышки; вследствие этого расчетные напряжения и деформации получаются завышенными. Радиус кривизны головки принимается равным половине расстояния между болтами.

Согласно расчетной схемы (рис.9), изгибающий момент на участке головки AB равен

;

а на участке BC

,


где c =0,10 м - расстояние между болтами, которые принимают за средний диаметр головки; φ подставляются в радианах M0 и N0 - изгибающий момент и продольная сила в сечении AA, которые, если рассматривать головку как брус малой кривизны, защемленный в сечении C-C, определяются по формулам:


α0 - в градусах.

Определим момент M2 и силу N2 в сечении C-C (см. рис. 9, приняв

α0=49, φ= 130º).

Напряжения в произвольном сечении на участках AB и BC (включая угол заделки) определяется по формуле