Материал: Привод к моечной машине для промывки банок аккумуляторных батарей пассажирских вагонов

Внимание! Если размещение файла нарушает Ваши авторские права, то обязательно сообщите нам

Шейка для закрепления звездочкицепной передачи:

Исходные данные:


Максимальные напряжения смятия в соединении и выполнение условия прочности определяем по формуле:


Принимаем: Шпонка  ГОСТ 23360-78


9. КОМПОНОВКА ДВУХСТУПЕНЧАТОГО СООСНОГО ЦИЛИНДРИЧЕСКОГО РЕДУКТОРА

Предварительный выбор подшипников

Быстроходная передача редуктора прямозубая на данном этапе расчета принимаем: Подшипник 105 ГОСТ 8338-75.

Тихоходная передача редуктора прямозубая на данном этапе расчета принимаем: Подшипник 105 ГОСТ 8338-75.

Таблица 3 - Результаты выбора подшипников

Назначение вала

Обозначение подшипника

d, мм

D, мм

B, мм

Грузоподъемность, кН






Динамическая С

Статическая С0

Быстроходный

105

25

47

12

11,2

5,6

Промежуточный

105

25

47

12

11,2

5,6

Тихоходный

105

50

80

16

21,6

13,2


Определение геометрических параметров

Минимальное расстояние от внутренней поверхности стенки редуктора до боковой поверхности (ступицы или обода) вращающейся детали:


Расстояния от внутренней поверхности стенки редуктора до боковой поверхности подшипника качения:


Принимаем

Расстояние от вершин зубьев зубчатых колес до внутренней поверхности крышки редуктора:


Расстояние от вершин зубьев зубчатого колеса максимального диаметра до внутренней нижней поверхности стенки корпуса:


Быстроходная передача:

ширина венца шестерни:

длина ступицы шестерни:

максимальный размер:

Тихоходная передача:

ширина венца шестерни:

длина ступицы шестерни:

максимальный размер:

Толщина фланцев прижимных крышек подшипников:

ведущего вала: промежуточного вала: ведомого вала

Высота головок винтов для закрепления крышек подшипников:

ведущего вала:


промежуточного вала:


ведомого вала:


Расстояние от боковых поверхностей элементов, вращающихся вместе с валами на их выходных концах снаружи корпуса редуктора, до головок болтов крепления крышек подшипников


Принимаем

Длина ступицы звездочки на выходном конце ведомого вала:


Диаметр выходного конца ведущего вала для монтажа упругой муфты:

Длина ступицы упругой муфты на выходном конце ведущего вала:

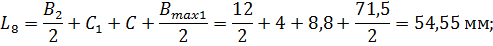
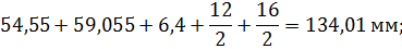
Расчет пролетов

Таблицы 4 - Расчетные параметры, мм

Вал

B

h

С

S

Ведущий

12

6

4,8

50

8,8

4

42

6

71,5

76,51

Промежуточный

12

6

4,8

0







Ведомый

16

8

6,4

72








В таблице: B - ширина подшипника; S-ширина фланцев корпуса и крышки в плоскости контакта (верхнего пояса) у подшипников. В разделе «Конструктивные размеры корпуса и крышки редуктора» этот размер обозначен

Проведем расчет длин пролетов валов по формулам.

Ведущий вал

расстояние между опорами (плоскостями симметрии подшипников):


расстояние от плоскости симметрии быстроходной передачи до плоскостей симметрии подшипников:


расстояние от точки приложения радиальной силы на выходном конце до оси симметрии ближайшего подшипника (не рассчитывается, так как на выходном конце ведущего вала установлена упругая муфта).

Ведомый вал.

расстояние между опорами (плоскостями симметрии подшипников):


расстояние от плоскости симметрии быстроходной передачи до плоскостей симметрии подшипников:


расстояние от точки приложения радиальной силы на выходном конце до оси симметрии ближайшего подшипника:


Промежуточный вал

расстояние между плоскостями симметрии передач:


где  - расстояние между торцами быстроходного и тихоходного валов внутри редуктора (


расстояние от плоскости симметрии тихоходной передачи до плоскости симметрии ближайшего подшипника:


расстояние от плоскости симметрии тихоходной передачи до плоскости симметрии ближайшего подшипника:




10. ПРОЕКТНЫЙ РАСЧЕТ ВАЛОВ И ПОДШИПНИКОВ ЗУБЧАТОГО РЕДУКТОРА

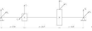
Рисунок 10 - Схема нагрузок действующих на передачи редуктора

Ведущий вал


Из этапа компоновки:


Определим реакции в опорах:

В плоскости (y):


Проверка:


В плоскости (x):


Проверка:


Определяем суммарную реакцию:


Определим эквивалентную нагрузку по максимальной суммарной реакции


Определим расчётную долговечность максимально нагруженного подшипника, млн. обр.:


где  динамическая грузоподъемность подшипника (.


Данный подшипник удовлетворяет требованиям долговечности.

Промежуточный вал.


Из этапа компоновки:


Определим реакции в опорах:

В плоскости (y):


Проверка:


В плоскости (x):


Проверка:


Определяем суммарную реакцию:


Определим эквивалентную нагрузку по максимальной суммарной реакции


Определим расчётную долговечность максимально нагруженного подшипника, млн. обр.:


где  динамическая грузоподъемность подшипника (.


Полученный параметр меньше нормативной долговечности для данного вала, рассчитанной в разделе «Энергокинематический расчет». Для последующего расчета подберем подшипник того же внутреннего диаметра, но с большей динамической грузоподъемностью на одну строку каталога:Подшипник 205 ГОСТ 8338-75

Определим расчётную долговечность максимально нагруженного подшипника, млн. обр.:


Возьмем подшипник: Подшипник 305 ГОСТ 8338-75