Материал: Привод к моечной машине для промывки банок аккумуляторных батарей пассажирских вагонов

Внимание! Если размещение файла нарушает Ваши авторские права, то обязательно сообщите нам

Привод к моечной машине для промывки банок аккумуляторных батарей пассажирских вагонов

РОСЖЕЛДОР

Федеральное государственное бюджетное образовательное

учреждение высшего образования

«Ростовский государственный университет путей сообщения

(ФГБОУ ВО РГУПС)

Кафедра «Основы проектирования машин»






Рассчитать и спроектировать привод к моечной машине

для промывки банок аккумуляторных батарей пассажирских вагонов

Пояснительная записка

к курсовой работе по дисциплине

«Детали машин и основы конструирования»

РЕФЕРАТ

Детали машин и основы конструирования: пояснительная записка / А.И. Козырев - Ростов н/Д: Рост.гос. ун-т путей сообщения. - Ростов н/Д, 2017. - 106 с.: ил 10. Библиогр.: 5 назв.

Рассмотрены такие вопросы как энергокинематический расчет, расчет передач цилиндрического соосного редуктора, проектировка валов и колес, а так же проверка прочности в опасных зонах валов.


СОДЕРЖАНИЕ

Реферат

Введение

. ЭНЕРГОКИНЕМАТИЧЕСКИЙ РАСЧЕТ ПРИВОДА, СОДЕРЖАЩЕГО ЦИЛИНДРИЧЕСКИЙ РЕДУКТОР

.1 Определение скорости вращения входного вала исполнительного

механизма

.2 Определение требуемой мощности электродвигателя

.3 Определение кинематических и силовых параметров на валах

привода

. РАСЧЕТ ТИХОХОДНОЙ ЗУБЧАТОЙ ПЕРЕДАЧИ РЕДУКТОРА

. РАСЧЕТ БЫСТРОХОДНОЙ ЗУБЧАТОЙ ПЕРЕДАЧИ РЕДУКТОРА

. РАСЧЕТ ЦЕПНОЙ ПЕРЕДАЧИ

. ПРЕДВАРИТЕЛЬНЫЙ РАСЧЕТ ВАЛОВ

. РАСЧЕТ ПАРАМЕТРОВ ЦИЛИНДРИЧЕСКИХ КОЛЕС

. ОПРЕДЕЛЕНИЕ КОНСТРУКТИВНЫХ РАЗМЕРОВ КОРПУСА И КРЫШКИ РЕДУКТОРА аккумуляторный батарея вагон вал

. ПОДБОР И ПРОВЕРКА ПРОЧНОСТИ ШПОНОЧНЫХ СОЕДИНЕНИЙ

. КОМПОНОВКА ДВУХСТУПЕНЧАТОГО СООСНОГО ЦИЛИНДРИЧЕСКОГО РЕДУКТОРА

.ПРОЕКТНЫЙ РАСЧЕТ ВАЛОВ И ПОДШИПНИКОВ ЗУБЧАТОГО РЕДУКТОР

. УТОЧНЕННЫЙ РАСЧЕТ ВАЛОВ ЦИЛИНДРИЧЕСКОГО РЕДУКТОРА

ЗАКЛЮЧЕНИЕ

СПИСОК ИСПОЛЬЗОВАННЫХ ИСТОЧНИКОВ

ВВЕДЕНИЕ

Механические системы, именуемые «машинами», предназначены для преобразования энергии и параметров материалов. Процесс преобразования параметров материалов заключается в перемещении материалов и изменении формы и размеров.Машина как преобразователь состоит из отдельных деталей и узлов. При этом конструктивно похожие составные части машин могут использоваться во многих других механических системах без изменений либо с изменениями отдельных размеров. Создание и улучшение данных машин является важной составляющей по улучшению работы производства, упрощению сложности труда для рабочих и продвижения прогресса в целом.

Проектирование этих машин и их составных узлов рассматривается в дисциплине «Детали машин и основы конструирования».Детали машин - элементы машин, каждый из которых представляет собой одно целое и не может быть, без разрушения, разобран на более простые, составные звенья машин. Является научной дисциплиной, рассматривающей теорию, расчет и конструирование машин.


1. ЭНЕРГОКИНЕМАТИЧЕСКИЙ РАСЧЕТ ПРИВОДА, СОДЕРЖАЩЕГО ЦИЛИНДРИЧЕСКИЙ РЕДУКТОР

.1 Определение частоты вращения входного вала исполнительного механизма

Частота вращения вала исполнительного механизма nu, об/мин, в задании на курсовую работу отсутствует, поэтому ее значение находим, используя другие известные параметры:


где рад/с - угловая скорость вала исполнительного механизма.


Выбор электродвигателя и определение передаточных чисел привода

Определение требуемой скорости вращения вала электродвигателя

Для начала определим средние значения передаточных чисел редуктора и открытой передачи. Согласно заданию на проектирование кинематическая схема привода включает:

передача открытая цепная;

редуктор двухступенчатый, цилиндрический соосный.

Последовательность передачи движения: редуктор, цепная передача.

Среднее значение передаточных чисел редуктора и открытой передачи в последовательности от двигателя к исполнительному механизму находим по формуле:


где  и  - соответственно максимальное и минимальное значение рекомендуемых диапазонов передаточных чисел.

цепная передача:


цилиндрический редуктор:


Определим передаточное число привода в целом, исходя из средних значений передаточных чисел редуктора и открытой передачи привода:


где  - средние значения передаточных чисел.


В соответствии с параметром  определим необходимую частоту вращения вала электродвигателя:


Выбираем группу двигателей с синхронной частотой, равной 1500 об/мин, как наиболее близкой к параметру

.2 Определение требуемой мощности электродвигателя

Мощность электродвигателя зависит от требуемой мощности, развиваемой на входном валу исполнительного механизма  и потерь мощности в приводе, т.е. от его КПД.

.

Механизмы, влияющие на потери мощности привода:

Передача в конструкции редуктора - цилиндрическая зубчатая;

Передача в конструкции редуктора - цилиндрическая зубчатая;

Открытая передача - цепная;

Муфта - упругая.

Среднее значение КПД каждого механизма находим по формуле:


где  - соответственно максимальное и минимальное значения

из рекомендованного ряда значений КПД механизма.

Среднее значение КПД цилиндрического зубчатого редуктора:


Среднее значение КПД цепной передачи:


Среднее значение КПД упругой муфты:


Среднее значение КПД одной пары подшипников:


Количество пар подшипников качения:

Коэффициент полезного действия привода зависит от КПД каждого из вышеуказанных элементов и определяется по формуле:


Выполним подстановку ранее перечисленных параметров и определим КПД привода:


Требуемая мощность электродвигателя:


Выбираем марку и мощность двигателя:

марка двигателя: 112М4/1432;

мощность двигателя: 5,5 кВт.

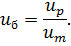
Корректировка передаточных чисел привода

Расчетное передаточное число привода:


где  - фактическая частота вращения вала электродвигателя, указанная в его марке через дробь: 1432 об/мин.


Определим параметры корректировки ПК:


Принимаем решение о корректировке среднего значения передаточного числа редуктора  Редуктор расположен непосредственно после двигателя, то следовательно

Для нашего случая согласно заданию на проектирование и в соответствии с последовательностью передачи движения в приводе:


Находим новое передаточное число редуктора


Проверим передаточное число редуктора на соответствие его максимальному значению:


Если конструкция привода включает в себя двухступенчатый цилиндрический редуктор, то его передаточное число  разбиваем по ступеням:

В нашем случае имеет место соосная схема передач редуктора.


где и  - передаточное число быстроходной и тихоходной ступени соответственно.


Таблица 1.1 - расчетные значения передаточных чисел всех передач привода

Наименование передачи

быстроходная

тихоходная

цепная

Обозначение передаточного числа

Значение передаточного числа

3,86

3,49

3,5


Фактическое значение передаточного числа привода (в соответствии с таблицей):


Отклонение  нормативной скорости вращения приводного вала исполнительного механизма от фактического значения этой скорости:


.3 Определение кинематических и силовых параметров на валах привода

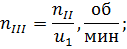
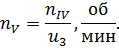
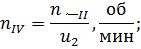
Определим частоту вращения,n, об/мин, валов привода в последовательности от двигателя к исполнительному механизму. Во всех случаях  т.к. первый вал является валом двигателя.

На валу двигателя закреплена муфта и привод включает три передачи, расчет проводим по формулам:


где  - частота вращения вала двигателя;

-частоты вращения валов в последовательности от двигателя к исполнительному механизму;

 - передаточные числа передач, в том числе в конструкции редуктора, в последовательности от двигателя к исполнительному механизму.


Угловые скорости  вращения валов:


Запишем в таблицу 1.3.1 элементы привода, влияющие на потери мощности на каждом участке между валами и значения их КПД.

Таблица 1.2.1 - элементы привода, влияющие на потери мощности

Номер валов, обозначающие участок потерь мощности

Наименование конструктивных элементов, влияющих на потери мощности

Значения КПД конструктивных элементов, влияющих на потери мощности

I-II

муфта

0,995

II-III

Закрытая зубчатая передача

0,965


Одна пара подшипников

0,9925

III-IV

Закрытая зубчатая передача

0,965


Одна пара подшипников

0,9925

IV-V

Цепная переда

0,91


Одна пара подшипников

0,9925


Определим значения КПД, учитывающие потери мощности на каждом участке между валами путем перемножения КПД конструктивных элементов, расположенных на соответствующих участках согласно таблице 2.


Мощности, P, кВт, подводимые к валам: