Материал: Привод к моечной машине для промывки банок аккумуляторных батарей пассажирских вагонов

Внимание! Если размещение файла нарушает Ваши авторские права, то обязательно сообщите нам


где -мощность, подводимая к первому, второму, третьему и т.д. валу соответственно;

- требуемая мощность двигателя (ее расчетное значение).


Вращающие моменты на валах привода:


Так как в задании на проектирование указан планируемый срок службы привода в годах , определим этот параметр, выраженный в часах:


Число циклов нагружения валов привода на протяжении срока эксплуатации


Результаты расчетов сводим в таблицу:

Таблица 1.2.2 - основные кинематические и силовые параметры привода

Номер вала

I

1432

149,88

27,34

4,097

II

1432

149,88

27,20

4,077

III

370,98

38,83

100,57

3,905

IV

106,29

11,13

336,03

3,74

V

30,37

3,18

1062,89

3,38




2. РАСЧЕТ ТИХОХОДНОЙ ЗУБЧАТОЙ ПЕРЕДАЧИ РЕДУКТОРА

Материал шестерни: Сталь 45;

Материал зубчатого колеса: Сталь 35.

Вид упрочняющей термической или химико-термической обработки:

материал шестерни: улучшение;

материал колеса: улучшение.

Твердость:

шестерни HB280;

колеса HB 245.

Предел выносливости:


шестерни:


зубчатого колеса:


Базовое число циклов контактногонагружения:

материал шестерни:

материал зубчатого колеса:

Эквивалентное число циклов воздействия контактных напряжений за время работы передачи (из энергокинематического расчета на валах шестерни и колеса):

для шестерни:


для зубчатого колеса:


Следовательно коэффициент долговечности:.

Коэффициент безопасности:

для шестерни:

для колеса:

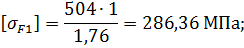
Допускаемое контактное напряжение в зацеплении зубьев:


шестерня:


колеса:


Предел выносливости зубьев в условиях изгиба при базовом числе циклов воздействия напряжений изгиба:


для шестерни:


для зубчатого колеса:


Базовое число циклов изгибногонагружения:


Эквивалентное число циклов изгибногонагружения:

для шестерни:


для зубчатого колеса:


Следовательно коэффициент долговечности:

Коэффициент безопасности:

для шестерни:

для колеса:

Допускаемое контактное напряжение в зацеплении зубьев:


шестерня:


колеса:


Вращающий момент на валу шестерни:

Коэффициент ширины венца шестерни:

Коэффициент неравномерности контактной нагрузки:

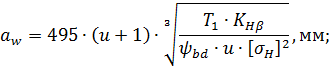
Межосевое расстояние:


Расчетное значение межосевого расстояния корректируется в соответствии с рекомендованными значениями ГОСТ:

Модуль зацепления ориентировочно принимаем:


Скорректируем параметр mпо стандарту:

Суммарное число зубьев передачи:


Число зубьев шестерни:


Число зубьев колеса:


Числа зубьев после округления до целых значений:

Фактическое передаточное число:


Диаметры делительных окружностей, мм:

шестерни:


зубчатого колеса:


Диаметры окружностейвершин, мм:

шестерни:


зубчатого колеса:


Диаметры окружностейвпадин, мм:

шестерни:


зубчатого колеса:


Ширина венца:

зубчатого колеса:


шестерни:


Окружная сила в зацеплении:


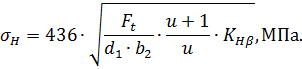
Рассчитаем действующие контактные напряжения по формуле:


Проверим выполнение условия прочности по контактным напряжениям:


Следовательно, т.к. условие не выполняется, то необходимо провести корректировку, т.е. выбрать более высокое значение  из ряда его стандартных значений и вновь рассчитать последующие параметры.

Модуль зацепления ориентировочно принимаем:


Скорректируем параметр mпо стандарту:

Суммарное число зубьев передачи:


Число зубьев шестерни:


Число зубьев колеса:


Числа зубьев после округления до целых значений:

Фактическое передаточное число:


Диаметры делительных окружностей, мм:

шестерни:


зубчатого колеса:


Диаметры окружностейвершин, мм:

шестерни:


зубчатого колеса:


Диаметры окружностейвпадин, мм:

шестерни:


- зубчатого колеса:


Ширина венца:

зубчатого колеса:


шестерни:


Окружная сила в зацеплении:


Рассчитаем действующие контактные напряжения по формуле:


Проверим выполнение условия прочности по контактным напряжениям:


Условие не выполняется, то необходимо провести корректировку, т.е. выбрать более высокое значение  из ряда его стандартных значений и вновь рассчитать последующие параметры.

Расчетное значение межосевого расстояния:

Модуль зацепления ориентировочно принимаем:


Скорректируем параметр mпо стандарту:

Суммарное число зубьев передачи:


Число зубьев шестерни:


Число зубьев колеса:


Числа зубьев после округления до целых значений:

Фактическое передаточное число:


Диаметры делительных окружностей, мм:

шестерни:


зубчатого колеса:


Диаметры окружностей вершин, мм:

шестерни:


зубчатого колеса:


Диаметры окружностей впадин, мм:

шестерни:


зубчатого колеса:


Ширина венца:

зубчатого колеса:

шестерни:


Окружная сила в зацеплении:


Рассчитаем действующие контактные напряжения по формуле:


Проверим выполнение условия прочности по контактным напряжениям:

 - условие выполняется

Определим степень снижения фактических контактных напряжений относительно допускаемых:


Коэффициент формы зуба:

шестерни:  зубчатого колеса:

Определим параметры прочности на изгиб:

шестерни:

колеса:


Принимаем решение, какой коэффициент формы зуба используем в дальнейшем расчете