Материал: Привод к моечной машине для промывки банок аккумуляторных батарей пассажирских вагонов

Внимание! Если размещение файла нарушает Ваши авторские права, то обязательно сообщите нам

Нормативный коэффициент запаса прочности:

Проверка выполнения условия прочности цепи:


Вывод о целесообразности увеличения рядов цепи:

число рядов цепи

Нагрузку на валы звездочек определяем по формуле:


После подстановки значений параметров получим:



5. ПРЕДВАРИТЕЛЬНЫЙ РАСЧЕТ ВАЛОВ

Исходные данные:

Вращающий момент на ведущем валу

Вращающий момент на промежуточном валу

Вращающий момент на ведомом валу

Допустимое напряжение при кручении материала валов (сталь 45):


Расчет ведущего вала.

Определим минимально допустимый диаметр dвала, исходя из расчета на кручение по формуле:


После подстановки значений параметров получим:


Полученное значение диаметра  округляем в большую сторону до ближайшего стандартного значения, и это число принимаем в качестве диаметра выходного участка вала:

Диаметр вала под уплотнение в соответствии с ближайшим стандартным значение принимаем равным диаметру выходного участка вала:

Диаметр вала под подшипники должен быть больше диаметра под уплотнение и оканчиваться цифрами 0 или 5. Принимаем

Диаметр вала под ступицу должен быть больше диаметра вала под подшипники не менее чем на 2 миллиметра и быть четным. Принимаем

Диаметр распорного бурта должен быть на 5…6 мм больше диаметра под ступицу. Принимаем

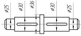
Рисунок 5.1 - Эскиз ведущего вала

Расчет промежуточного вала.

Определим минимально допустимый диаметр d вала, исходя из расчета на кручение по формуле:


После подстановки значений параметров получим:

Полученное значение диаметра  округляем в большую сторону до ближайшего стандартного значения, и это число принимаем в качестве диаметра вала под ступицу:

Диаметр вала под подшипники должен быть больше диаметра под уплотнение и оканчиваться цифрами 0 или 5. Принимаем

Диаметр распорного бурта должен быть на 5…6 мм больше диаметра под ступицу. Принимаем

Рисунок 5.2 - Эскиз промежуточного вала

Расчет ведомого вала.

Расчет ведущего вала.

Определим минимально допустимый диаметр d вала, исходя из расчета на кручение по формуле:


После подстановки значений параметров получим:

Полученное значение диаметра  округляем в большую сторону до ближайшего стандартного значения, и это число принимаем в качестве диаметра выходного участка вала:

Диаметр вала под уплотнение в соответствии с ближайшим стандартным значение принимаем равным диаметру выходного участка вала:

Диаметр вала под подшипники должен быть больше диаметра под уплотнение и оканчиваться цифрами 0 или 5. Принимаем

Диаметр вала под ступицу должен быть больше диаметра вала под подшипники не менее чем на 2 миллиметра и быть четным. Принимаем

Диаметр распорного бурта должен быть на 5…6 мм больше диаметра под ступицу. Принимаем

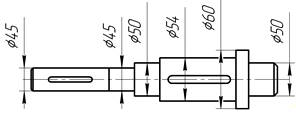
Рисунок 5.3 - Эскиз ведомого вала

6. РАСЧЕТ ПАРАМЕТРОВ ЦИЛИНДРИЧЕСКИХ КОЛЕС

Исходные данные:

Диаметр участка вала ведущего вала для закрепления шестерни:

Диаметр участка вала промежуточного вала для закрепления зубчатого колеса быстроходной и шестерни тихоходной передач:

Диаметр участка вала ведомого вала для закрепления зубчатого колеса тихоходной передачи:

Диаметр окружности вершины шестерни (быстроходная передача):

Диаметр окружности вершины зубчатого колеса (быстроходная передача):

Диаметр окружности вершины шестерни (тихоходная передача):

Диаметр окружности вершины зубчатого колеса (тихоходная передача):

Расчет быстроходной передачи.

Шестерня:

.

Так как  следовательно шестерня имеет ступицу.

Диаметр ступицы найдем по следующей формуле:


Длину ступицы найдем по следующей формуле:


Рисунок 6.1 - Эскиз шестерни быстроходной передачи

Зубчатое колесо:

.

Так как  следовательно шестерня имеет ступицу.

Диаметр ступицы найдем по следующей формуле:


Длину ступицы найдем по следующей формуле:


Рисунок 5 - Эскиз зубчатого колеса быстроходной передачи

Расчет тихоходной передачи.

Шестерня:

.

Так как  следовательно шестерня имеет ступицу.

Диаметр ступицы найдем по следующей формуле:


Длину ступицы найдем по следующей формуле:



Рисунок 6 - Эскиз шестерни тихоходной передачи

Зубчатое колесо:

.

Так как  следовательно шестерня имеет ступицу.

Диаметр ступицы найдем по следующей формуле:


Длину ступицы найдем по следующей формуле:


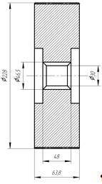
Рисунок 7 - Эскиз зубчатого колеса тихоходной передачи

7. ОПРЕДЕЛЕНИЕ КОНСТРУКТИВНЫХ РАЗМЕРОВ КОРПУСА И КРЫШКИ РЕДУКТОРА

Исходные данные:

Тип редуктора: Цилиндрический соосной;

Межосевое расстояние:

Определение конструктивных размеров.

Определим толщину стенки корпуса редуктора по формуле:


Расчет оказался менее 8 мм. Из технологических требований принимаем:.

Толщина стенки крышки редуктора:


Параметр  округляем в большую сторону до целого значения:

Диаметры болтов.

Диаметры болтов, соединяющих редуктор с рамой или фундаментом:


Принимаем болты М16.

Диаметры болтов, соединяющих корпус с крышкой у подшипников:


Принимаем болты М12.

Диаметры болтов, соединяющих корпус редуктора с крышкой по периметру:


Принимаем болты М8.

Максимальное расстояние между осями болтов диаметра :


Размер ширины фланцев определяем по формуле:


где параметр xзависит от толщины стенки корпуса, параметр k- от диаметра dсоответствующего болта.

Ширина фланца корпуса для фундаментного (нижнего) пояса:


Ширина фланцев корпуса и крышки в плоскости контакта (для верхнего пояса) у подшипников:


Ширина фланцев корпуса и крышки в плоскости контакта по периметру:

Толщина фланцев:

корпуса для фундаментного (нижнего)пояса:


корпуса в соединении с крышкой:


корпуса в соединении с крышкой:




8. ПОДБОР И ПРОВЕРКА ПРОЧНОСТИ ШПОНОЧНЫХ СОЕДИНЕНИЙ

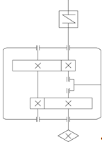
Рисунок 8.1 - Схема цилиндрического соосного редуктора

Ведущий вал:


Шейка выходного конца для закрепления упругой муфты:

Исходные данные:


Максимальные напряжения смятия в соединении и выполнение условия прочности определяем по формуле:


гдеТ - крутящий момент на соответствующем валу, Н·м;- диаметр вала в области шпоночного паза;-высота шпонки;- глубина шпоночного паза на валу;длина шпонки;- ширина шпонки.

Материал шпонок - сталь 45 нормализованная.

Все ступицы выполнены из стали.

Допускаемые напряжения смятия: [GCM] = 100÷120 МПа.


Принимаем: Шпонка ГОСТ 23360-78

Шейка для закрепления шестерни быстроходной передачи:

Исходные данные:


Максимальные напряжения смятия в соединении и выполнение условия прочности определяем по формуле:


Принимаем: Шпонка ГОСТ 23360-78

Промежуточный вал:


Шейка для закрепления зубчатого колеса быстроходной передачи и шестерни тихоходной передачи:

Исходные данные:


Максимальные напряжения смятия в соединении и выполнение условия прочности определяем по формуле:


Принимаем: Шпонка  ГОСТ 23360-78

Ведомый вал:


Шейка для закрепления зубчатого колеса тихоходной передачи:

Исходные данные:


Максимальные напряжения смятия в соединении и выполнение условия прочности определяем по формуле:


Принимаем: Шпонка  ГОСТ 23360-78