Материал: Организация психологических структур, лежащих в основе поведения и деятельности

Внимание! Если размещение файла нарушает Ваши авторские права, то обязательно сообщите нам

Опросник ДМО. При использовании для разбиения выборки на группы значений шкал опросника для шкал 1, 3, 4, 5, 6, 8 не было выявлено достоверных различий по частоте движений мышью в процессе выбора хода в 1, 2 и 3 сериях (точный тест Манна-Уитни, p > 0.123; тест Крускалла - Уоллиса, p > 0,193).

При разбиении выборки по значениям шкалы 2 ДМО лица с высокими значениями шкалы продемонстрировали достоверное снижение частоты движений мышью при введении в состояние релаксации (точный тест Манна-Уитни, Z= -2.677, p = 0.007; тест Крускалла-Уоллиса, df=1, X2 = 7.168, p = 0.014). Шкала 2 ДМО соответствует «независимо - доминирующему» типу межличностных отношений и сочетается с такими свойствами личности как дистантность, эгоцентричность, высокий уровень притязаний, выраженное чувство соперничества, проявляющееся в стремлении занять обособленную позицию. Поведение таких лиц, как правило, не конформное, они с трудом способны подчиняться другим. Мышление, как правило, нестандартное, творческое, но при этом возводится в ранг догмы, игнорируя мнение других.

Рис. 2. Изменение частоты движений мышью при выборе хода в трех последовательных сериях по оси абсцисс

- ординарное состояние, 2 - состояние релаксации, 3 - возвращение в ординарное состояние, цифрами указано количество измерений) для групп лиц с низкими значениями по шкале 2 ДМО (1, красная линия) и высокой значениями (2, зеленая линия). По оси ординат - частота движений мышью - количество движений, отнесенное к количеству ходов в игре. Частота движений мышью снижается, и остается такой в 3-ей серии.

У лиц с низкими значениями по шкале 7 ДМО частота движений мышью достоверно снижалась при введении в состояние релаксации (точный тест Манна-Уитни, Z= -1.976, p = 0.048; тест Крускалла-Уоллиса, df=1, X2 = 3.906, p = 0.048).

Рис. 3. Изменение частоты движений мышью при выборе хода в трех последовательных сериях по оси абсцисс

- ординарное состояние, 2 - состояние релаксации, 3 - возвращение в ординарное состояние, цифрами указано количество измерений) для групп лиц с низкими значениями по шкале 7 ДМО (1, красная линия) и высокой значениями (2, зеленая линия). По оси ординат - частота движений мышью - количество движений, отнесенное к количеству ходов в игре. Частота движений мышью снижается, и остается такой в 3-ей серии.

Шкала 7 соответствует «сотрудничающему - конвенциональному» типу межличностных отношений. Низкие баллы по этой шкале могут служить показателем скрытности и не откровенности в оценивании себя, а так же не желанием сотрудничать, агрессивностью, сдержанностью в межличностных контактах.

Тест «Включенные фигуры Уиткина».

По медианным значениям оценок, полученных по тесту, выборка разделена на две части - «полезависимых» (со значениями меньше медианы) и «поленезависимых» (со значениями большими или равными медиане).

Рис. 4. Изменение частоты движений мышью при выборе хода в трех последовательных сериях по оси абсцисс

- ординарное состояние, 2 - состояние релаксации, 3 - возвращение в ординарное состояние, цифрами указано количество измерений) для групп лиц с низкими оценками по тесту «Включенные фигуры Уиткина» (полезависимые, 1, красная линия) и высокими оценками (поленезависимые, 2, зеленая линия). Частота движений мышью снижается, и остается такой в 3-ей серии.

У «полезависимых» испытуемых при введении в состояние релаксации частота движений мышью достоверно снижается - см. рис. 4 (точный тест Манна-Уитни, Z= -2.509, p = 0.012; тест Крускалла-Уоллиса, df=1, X2 = 6.294, p = 0.012), в то время как у «поленезависимых» изменения частоты движений мышью не отмечено (точный тест Манна-Уитни, Z= -0.199, p = 0.844; тест Крускалла-Уоллиса, df=1, X2 = 0.040, p = 0.842). При высоких показателях полезависимости испытуемые полагаются на внешнее видимое поле, с трудом преодолевают его влияние, им требуется много времени, чтобы «увидеть» нужную деталь в сложном изображении. Оценка запоминания количества выигрышей (см. раздел 1. Анкета для оценки глубины состояния релаксации.) Разделение выборки на группы на основании субъективных ретроспективных оценок количества выигранных игр, данными испытуемыми в ответах на опросник, предъявленный после окончания формирования компетенции (см. раздел 1. Анкета для оценки глубины состояния релаксации). По этим оценкам 8 испытуемых вообще отрицали собственные выигрыши, либо называли количество выигранных игр только в последней третьей серии (1 группа). Только 4 человека дали ответы, учитывающие все выигрыши - во всех трех сериях. Можно предположить, что незапоминание выигрышей, достигнутых в 1-ой и 2-ой сериях (а у части - во всех трех сериях) указывает на эффект диссоциации, сопутствующий состоянию релаксации, что предусмотрено примененной техникой.

Рис. 5. Изменение частоты движений мышью при выборе хода в трех последовательных сериях по оси абсцисс

- ординарное состояние, 2 - состояние релаксации, 3 - возвращение в ординарное состояние, цифрами указано количество измерений) для групп лиц, не давших точную оценку выигрышей в проведенных играх (1, красная линия) и давших достаточно точную оценку (2, зеленая линия). По оси ординат - частота движений мышью.

У лиц 1-ой группы показано снижение частоты движений мышью в процессе выбора хода в серии с применением процедуры релаксации - см. рис. 5 (точный тест Манна-Уитни, Z= -2.585, p = 0.009; тест Крускалла-Уоллиса, df=1, X2 = 6.68, p = 0.010). При выходе из состояния релаксации (переход от 2-ой серии к 3-ей) частота движений мышью не изменяется (точный тест Манна-Уитни, Z = - 0.017, p= 0.988; тест Крускалла-Уоллиса, df = 1, X2 = 0.63, p= 0.553). У лиц 2-ой группы таких соотношений не выявлено для всех сравнений: оценки достоверности по точному тесту Манна-Уитни: p> 0. 761, по тесту Крускалла-Уоллиса: p> 0,912. Заметим, что эти данные совпадают с полученными при использовании теста на склонность к диссоциации (см. рис. 1), что соответствует содержательной стороне сравниваемых показателей. Эти результаты показывают, что применение процедуры ЭГ создавало эффект релаксации, который можно отнести к классу диссоциированных состояний. Это состояние было у части испытуемых достаточно выраженным, чтобы проявиться в характеристиках двигательной активности и в субъективных отчетах о ходе игры.

. Связь между характеристиками СИЗ и состоянием релаксации в процессе взаимодействия с предметной областью

На основании результатов, представленных в разделе 2, для разделения выборки на группы, в которых достигнут различный эффект релаксации, можно использовать такие характеристики, как «точность воспроизведения количества совершенных выигрышей», оценку по шкалам 2 и 7 опросника ДМО, полезависимость или поленезависимость, оценку по шкале DES.

Из перечисленных характеристик только шкала DES обладает установленной валидностью и надежностью [Патнем, 2004, с. 30]. Поэтому для разделения выборки на сопоставляемые группы использована именно оценка по шкале DES. Для оценки достоверности связи характеристик СИЗ и введением в состояние релаксации проводили сравнение численных значений каждой из характеристик для групп испытуемых, разделенных по медианному значению оценок по тесту DES на лиц менее и более склонных к состоянию диссоциации (на всех рисунках - синяя и красная кривая соответственно), а также для группы сравнения, эквивалентной основным группам по половому и возрастному составу (зеленая линия).

Для каждого сравнения использовали точные тесты Манна-Уитни и Крускалла-Уоллиса. Расхождение кривых, отображающих динамику формирования тех или иных составляющих СИЗ в сопоставляемых группах испытуемых, можно определить по перекрытию/неперекрытию 95% доверительных интервалов, показанных на графиках. Связь расхождений кривых с событиями «введение в релаксацию» и «выведение из релаксации» можно установить по соотношению этих событий во времени.

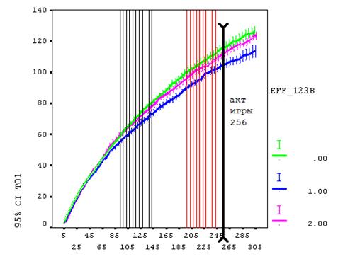
На рис. 6 показан процесс формирования протокомпонентов СИЗ в группах лиц с разной выраженностью склонности к диссоциированным состояниям в соотнесении с группой сравнения.

Хотя по визуальной оценке (и критерию неперекрытия доверительных интервалов) представляется, что у лиц с низкой склонностью к диссоциированным состояниям количество протокомпонентов снижается относительно как лиц с высокой склонностью к диссоциации, так и группы сравнения, применение статистических критериев не дает оснований отвергнуть нулевую гипотезу о сходстве этих кривых: Для всех статистических тестов p ≥ 0.10.

Рис. 6. Динамика формирования протокомпонентов СИЗ в группах испытуемых с низкими (синяя линия, 1.00) и высокими значениями по шкале DES (красная линия, 2.00).

Зеленая линия (00) - группа сопоставления (см. главу Методика). Вертикальные черточки на кривых обозначают 95% доверительный интервал для каждой из кривых. По оси ординат - количество сформированных протокомпонентов СИЗ. По оси абсцисс - ходы, совершенные в последовательных играх («сквозная» нумерация). Тонкие вертикальные линии: черные - начало введения в релаксацию; красные - окончание серии с релаксацией. Толстая вертикальная линия - «срез» на акте № 256, для которого даны статистические оценки различия количества протокомпонентов СИЗ, сформировавшихся в сравниваемых группах.

.

Рис. 7. Динамика формирования компонентов СИЗ в группах испытуемых с низкими (синяя линия, 1.00) и высокими значениями по шкале DES (красная линия, 2.00).

Зеленая линия (00) - группа сопоставления. Остальные обозначения - как на рис. 6.

Количество сформированных компонентов СИЗ (см. рис. 7) одинаково в обоих группах (с высокой и низкой выраженностью склонности к диссоциациии), точный тест Манна-Уитни, Z = -0.801; p = 0.485; точный тест Крускалла-Уоллиса, df = 1, χ2 = 0.64, p = 0.485,но количество сформированных компонентов у лиц с низким значениями теста DES достоверно меньше чем в группе сравнения: точный тест Манна-Уитни, Z = -2.10; p = 0.036; точный тест Крускалла-Уоллиса, df = 1, χ2 = 4.42, p =0.036

Для оценок темпа дифференциации протокомпоненгтов в компоненты СИЗ не обнаружено достоверных различий межу всеми сравниваемыми группами. Между группами 1 и 2 различий нет: точный тест Манна-Уитни, Z = -1.44; p = 0.18; точный тест Крускалла-Уоллиса, df = 1, χ2 = 2.077, p = 0.18.

Между группами 0 и 1 различий нет: точный тест Манна-Уитни, Z = -0.078; p = 0.97 ; точный тест Крускалла-Уоллиса, df = 1, χ2 = 0.006, p = 0.97.

Между группами 0 и 2 различий нет: точный тест Манна-Уитни, Z = -1.557; p = 0.132; точный тест Крускалла-Уоллиса, df = 1, χ2 = 2.42, p = 0.132.

Рис. 8. Динамика формирования синхронических отношений AND между компонентами в группах испытуемых с низкими (синяя линия, 1.00) и высокими значениями по шкале DES (красная линия, 2.00).

Зеленая линия (00) - группа сопоставления. Остальные обозначения - как на рис. 6.

На рис 8 показан процесс формирования синхронических отношений AND в сравниваемых группах 1, 2 и 3. На графике можно видеть, что отклонение кривой, соответствующей группе с высокой склонностью к состоянию диссоциации отклоняется от кривой группы сравнения раньше, чем кривая, соответствующая группе с низкой выраженностью склонности к диссоциации. Именно для группы с высокими оценками по DES различия в количестве сформированных отношениях AND показано достоверное отличие от группы сравнения: точный тест Манна-Уитни, Z = -2.259; p = 0.022; точный тест Крускалла-Уоллиса, df = 1, χ2 = 5.104, p = 0.022.

Рис. 9. Динамика формирования синхронических отношений XOR между компонентами в группах испытуемых с низкими (синяя линия, 1.00) и высокими значениями по шкале DES (красная линия, 2.00).

Зеленая линия (00) - группа сопоставления. Остальные обозначения - как на рис. 6.

На рис. 9 показан процесс формирования синхронических отношений XOR в сравниваемых группах. Синхронно с введением в состояние релаксации продукция отношений XOR увеличивается у лиц с высокой склонностью к состоянию диссоциации и достигает уровня достоверного отличия от значений для группы с низкой выраженностью склонности к диссоциации, причем кривая для этой группы на всем протяжении эпохи регистрации не отклоняется от кривой для группы сравнения. Результаты сравнения значений для групп с высокой склонностью к диссоциативным состояниям и группы сравнения: точный тест Манна-Уитни, Z = -3.425; p = 0.000074; точный тест Крускалла-Уоллиса, df = 1, χ2 = 11.026, p = 0. 000073.

Глава 4. Обсуждение результатов

. Характеристики состояния релаксации

Анализ отчетов испытуемых о состоянии релаксации в сравнении с состояниями до введения в релаксацию после выхода из нее показало, что большинство из них отмечало либо особенное состояние (заторможенность, расслабленность, спокойствие, «чувство оптимизма») либо измененное отношение к процессу игры («не было злости от проигрыша», «факт выигрыша перестал быть значимым», «пассивное отношение к процессу», появление азарта, вторая серия - «интересней, более-менее осознанные ходы»). У восьми из 12 человек отмечены ошибки в воспоминании о важных деталях происшедших событий (ошибки в оценке количества выигранных игр), причем эти ошибки могли относиться как к серии игр, проведенных в состоянии релаксации, так и к серии, игр, проведенных после выхода из состояния релаксации. Эффект незапоминания количества выигрышей в части случаев имел и ретроактивный характер - испытуемые утверждали, что они вообще не достигали выигрышей, при том, что выигрыши присутствовали во всех трех сериях. Эти наблюдения позволяют предполагать, что у некоторых испытуемых введение в состояние релаксации имело и ретроактивный эффект («забывание» деталей 1-ой серии), так и проактивный эффект (невоспроизведение важных событий в 3-ей серии).

Для описаний состояния в релаксации, данные некоторыми испытуемыми, характерны неуверенность и двойственность оценок (см. главу Результаты, п. 1).

Установлено, что лица с эффектом «нарушения точности оценки достигнутых выигрышей» проявляют в состоянии релаксации снижение уровня двигательной активности - не общей и диффузной активности, а предметно-ориентированной, - движений мыши в процессе выбора хода в игре. Важно, что такое снижение активности характерно для лиц с повышенной склонностью к диссоциативным состояниям, с выраженной полезависимостью, с высокими значениями по шкале 2 опросника ДМО (указание на эгоцентричность и стремление к обособленной позиции) и низким - по шкале 7 (указание на сдержанность в межличностных контактах).

Установлено, что снижение двигательной активности, выраженное в уменьшении частоты поисковых движений мыши также связано с оценками склонности к диссоциативным состояниям.

Можно предположить, что незапоминание выигрышей, достигнутых в 1-ой и 2-ой сериях (а у части - во всех трех сериях) указывает на эффект диссоциации, сопутствующий состоянию релаксации. Приведенные самооценки вполне соответствуют описанным в литературе характеристикам состояния, достигаемого при применении процедуры ЭГ [С.Гиллиген,1999; Беккио Ж., Жюслен Ш.,1997; Эриксон М., Росси Э., 2010; Эриксон Э., 2011]. Показатель высокой склонности к диссоциативным состояниям соответствует таким состояниям индивида, как изменения чувства идентичности, нарушения памяти (West, 1967; Nemian, 1980). Отмеченная некоторыми испытуемыми противоречивость состояния соответствует также диссоциативному состоянию [Патнем, 2004].

Учитывая совокупность перечисленных свойств, можно утверждать, что состояние релаксации, в которое вводили испытуемых, используя технику ЭГ, относится к классу диссоциативных состояний. Важно, что это введение в диссоциативное состояние установлено не только на основе экспертной оценки, данной гипнотерапевтом и по высказываниям испытуемых при анкетировании, но и по характеристикам двигательной активности и точности воспроизведения важных для данной деятельности характеристик поведения. К ряду доказательств того, что испытуемые (по крайней мере, те, для которых отмеченные характеристики были достоверно выражены) находились в особенном состоянии, относятся и результаты исследования, указывающие на связь снижения активности в состоянии диссоциации с индивидуально-психологическими характеристиками. Заметим, что перечисленные индивидуальные характеристики можно обозначить как черты, характерные для лиц, склонных к диссоциированным состояниям.