Материал: Обеспечение несущей способности земляного полотна из лёссовидных грунтов при высокоскоростном движении поездов

Внимание! Если размещение файла нарушает Ваши авторские права, то обязательно сообщите нам

Анализ рис. 3.6 и рис. 3.7 показывает, что лёссовидная супесь, находящаяся в твердом состоянии обладает высокими значениями удельного сцепления и угла внутреннего трения даже при вибродинамических нагрузках. В статике при влажности 13%, при показателе консистенции JL = 0, сцепление равно 0,24 кг/см2 и угол внутреннего трения 32 град, а при вибродинамической нагрузке соответственно: сцепления - 0,22 кг/см2 и угол внутреннего трения - 30 град.

С увеличением влажности грунта происходит снижения удельного сцепления и угла внутреннего трения как при действии статической, так и при действии вибродинамической нагрузки. Так, в статике, повышение влажности до 15%, до показателя консистенции JL = 0,3, сцепление составило 0,17 кг/см2, т. е. снизилось на 32%. В этом же состоянии угол внутреннего трения определяется величиной в 21є, т. е. уменьшился на 28%. При действии вибродинамической нагрузки удельное сцепление составило 0,11 кг/см2, т. е. снизилось на 50%, а угол внутреннего трения равен 17є, т. е. уменьшился на 43%. Аналогичная картина наблюдается при значениях влажности 16%. Следовательно, действие вибродинамической нагрузки, возникающей при действии высокоскоростного подвижного состава приводит к более интенсивному снижению прочностных характеристик лёссовидной супеси, залегающих в теле земляного полотна.

3.4 Влияние вибродинамического воздействия на прочностные характеристики лёссовидной супеси

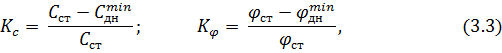
Для оценки влияния вибродинамического воздействия на прочностные характеристики лессовидной супеси использовались показатели относительного снижения удельного сцепления и угла внутреннего трения, определяемые по формуле 3.3:


где,  и  - удельное сцепление и угол внутреннего трения грунта при статических испытаниях;

 и  - минимальные удельное сцепление и угол внутреннего трения, определенные при максимальной вибродинамической нагрузки, соответственно возникающей при скорости 200 - 250 км/ч.

В отдельных случаях использовался показатель соотношения характеристик:


Взаимосвязь показателей определится формулами:


В таблице 3.3 представлено результаты исследований указанных показателей от влажности.

ТАБЛИЦА 3.3. Влияние вибродинамического воздействия на прочностные характеристики лёссовидной супеси

Показатель консистенции, JL

Коэффициент уплотнения

Плотность грунта, т/м3

Статика

Динамика

Относительное снижение удельного сцепления, Кс

Относительное снижение угла внутреннего трения, Кφ











Удельное сцепление С, кг/см2

Угол внутреннего трения φ, град.

Удельное сцепление С, кг/см2

Угол внутреннего трения φ, град.


































































0

1,00

2,14

0,24

32

0,22

30

0,08

0,06

0,1

1,02

2,18

0,22

28

0,18

25

0,18

0,11

0,2

1,02

2,19

0,20

24

0,14

20

0,30

0,17

0,3

1,02

2,20

0,17

21

0,11

17

0,35

0,20

0,4

1,01

2,19

0,14

19

0,09

15

0,33

0,19

0,5

1,00

2,18

0,10

17

0,08

14

0,20

0,18


На рис. 3.8 и на рис. 3.9 представлено изменение показателя относительного снижения сцепления и показателя относительного снижения угла внутреннего трения от консистенции лёссовидного грунта, при действии вибродинамической нагрузки, которая возникающей при скорости 100 км/ч [1] и при скорости 250 км/ч.

Анализ рис. 3.8 и рис. 3.9 свидетельствует о незначительном снижении прочности лёссовидный супеси при влажности близкой к пределу раскатывания (JL = 0). Коэффициент относительного снижения сцепления составляют всего 0,08, а коэффициент относительного снижения угла внутреннего трения 0,06 при действии максимальной вибродинамической нагрузки. С увеличением влажности прочностные характеристики под влиянием вибродинмической воздействии снижаются. Максимальная чувствительность лёссовидной супеси при действии вибродинамической нагрузки достигается в диапазоне от 0,28 до 0,47. При действии вибродинамической нагрузки, возникающей при скорости до 100 км/ч сцепление снижается на 28%, а угол внутреннего трения снижается на 17% и при скорости 250 км/ч сцепление снижается на 35%, а угол внутреннего трения снижается на 20%.

3.5 Выводы по главе III

Выполненные экспериментальные исследования прочностных характеристик лёссовидной супеси под влиянием вибродинамической нагрузки, которой возникающей при высокоскоростном движении поездов, позволяют сделать следующие выводы:

. Снижение прочностных характеристик лёссовидной супеси железнодорожного земляного полотна происходит под влиянием динамического воздействия, нарушающего силы контактного взаимодействия между элементарными частицами.

. С увеличением влажности лёссовидных супесей при действии вибродинамической нагрузки, которой возникающей при скорости 200 - 250 км/ч, происходит более интенсивное снижение прочностных характеристик, чем в статике. При увеличении влажности с 13% до 15% удельное сцепление в статике снижаются на 32%, а в динамике на 50%. Соответственно угол внутреннего трения в статике снижается на 32%, в динамике на 43%.

. Максимальное снижение сцепления и угла внутреннего трения лёссовидной супеси, залегающей в теле насыпи, под воздействием вибродинамических нагрузок, возникающей при скорости 200 - 250 км/ч, регистрируется при значении показателя консистенции от 0,28 до 0,37 и составляет 35% для сцепления и 20% для угла внутреннего трения.

4. ТЕОРИЯ РАСЧЕТА НЕСУЩЕЙ СПОСОБНОСТИ ЗЕМЛЯНОГО ПОЛОТНА ВЫСОКОСКОРОСТНОЙ ЖЕЛЕЗНОЙ ДОРОГИ, ОТСЫПАННОГО ИЗ ЛЁССОВИДНЫХ ГРУНТОВ С УЧЕТОМ ВИБРОДИНАМИЧЕСКОЙ НАГРУЗКИ

4.1 Общие сведения

Существенная часть железных дорог Узбекистана сооружается из местных лёссовидных грунтов. Необходимость расчета несущей способности земляного полотна, отсыпанного из лёссовидной супеси с учетом вибродинамической нагрузки для узбекских железных дорог крайне необходима, поскольку недавно была реконструирована железнодорожная магистраль Ташкент - Самарканд под скорости 200 - 250 км/ч. Основная часть пути (насыпи) сооружена из лёссовидной супеси. Таким образом, для обоснованности конструкции насыпей, под скорости 200 - 250 км/ч, сооруженных из лёссовидных грунтов, необходимо обеспечить несущую способность основной площадки земляного полотна.

Несущая способность основной площадки земляного полотна определяется величинами предельных напряжений на её поверхности, зависящих от прочностных свойств грунтов, и от величины вибродинамического воздействия.

Под предельным напряженным состоянием основной площадки земляного полотна понимается такое состояние, при котором малейшее увеличение внешнего воздействия от статической либо динамической нагрузки, или малейшее снижение прочности грунта приводит к образованию в земляном полотне поверхностей скольжения. По этим поверхностям происходит разрушение земляного полотна. Вследствие этого появляются деформации земляного сооружения. Предельное напряженное состояние есть не что иное, как предел равновесия между прочностью грунтового массива и действующими на массив нагрузками, включая собственный вес грунта.

Исходя из изложенного, представляется возможным дать определение несущей способности. Под несущей способности основной площадки земляного полотна понимается, величина предельных напряжений на её поверхности, при действии которых грунт находится в предельном напряженном состоянии, а их превышение приводит к разрушению земляного полотна.

Расчет несущей способности может базироваться на законах теории упругости или пластичности, либо с использованием теории предельного равновесия. Основным недостатком метода определения прочности основной площадки земляного полотна по теории упругости является невозможность строго аналитически вычислить несущую способность. Критерием прочности в данном случае является отсутствие зон пластических деформаций основной площадки. Такое ограничение следует признать достаточно жестким, так как значительно занижается величина несущей способности земляного полотна. Поэтому, определение несущей способности должно базироваться на решении задачи теории предельного равновесия, основные положения которой приведены в работах В.В. Соколовского, В.Г. Березанцева, В.А.Флорина, С.С. Голушкевича и т.д. [48, 5, 53, 8, 9]. В этом случае удается уйти от недостатков, присущих ранее созданным методам, а именно: координаты точек кривых скольжения определяются аналитически на основе предельного напряженного состояния грунтового массива; удается строго определить величину несущей способности земляного полотна, а также размер зоны смещение грунта.

Применительно к земляному полотну железных дорог с учетом действия вибродинамических нагрузок и снижения под их влиянием прочностных характеристик грунтов теория предельного равновесия была применена впервые в ЛИИЖТе (ПГУПСе) профессором Прокудиным И.В. [41].

4.2. Теоретические основы определение прочности основной площадки земляного полотна, отсыпанного из лёссовидных грунтов при высокоскоростном движении поездов

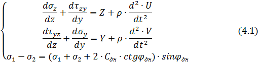
Методика расчета несущей способности земляного полотна основывается на решении плоской задачи теории предельного равновесия [1,16,18,19], в которой учитывается вибродинамическое воздействие от проходящих поездов и инерционные силы. Такое решение было получено профессором Прокудиным И.В. [41].

Основная система уравнений плоской задачи состоит из уравнений движения грунтовой среды и условия предельного равновесия Кулона и имеет следующий вид:


где,  - составляющие нормальных напряжений, соответственно в вертикальной и горизонтальной плоскостях, т/м2;

 - составляющие касательных напряжений, т/м2;, V - перемещения при колебаниях в направлении осей Z и Y;

 - максимальное и минимальное главное напряжения;

 - сцепление и угол внутреннего трения грунта, воспринимающего вибродинамическую нагрузку;и Y - объемные силы, при направлении оси z вертикально вниз Z =γ, а Y = 0;

γ - объемный вес грунта, т/м3;

Для получения решения, система преобразуется с помощью введения двух новых неизвестных: угла наклона δ большие главного напряжения  к оси у и величины напряжения σ выражаемого через главные напряжения следующей формулой:


После подстановки этого выражения в третье уравнение системы (4.1) получим:


Известно, что можно представить компоненты напряжений вдоль соответствующих координатных осей через величины главных напряжений по формулам:


После подстановки выражений (4.2) и (4.3) в формулы (4.4)-(4.6) получим следующие выражения для компонент напряжений через величину среднего приведенного напряжения [47, 53, 55, 59].


В работах [27, 29, 41] по исследованию влияния вибрации на прочностные характеристики грунтов показано, что они в зависимости от величины вибродинамического воздействия изменяются по следующим зависимостям:


где,  - прочностные характеристики грунтов, определенные при действии динамической нагрузки;