![]()
- то же, при действии статической
нагрузки;
![]()
- минимальные показатели
соотношения характеристик сцепления и внутреннего трения:
Ан - начальная амплитуда колебаний, при которой снижение характеристик не превышает 3-5 %, мкм;
![]()
- наименьшие величины,
соответственно, сцепления и угла внутреннего трения, определяемые
экспериментально при наибольшем вибродинамическом воздействии;
![]()
- максимальные величины показателей
относительного снижения прочностных характеристик,
К - коэффициент виброразрушения, для лёссовидной супесей 0,024 [1].
Из этих формул видно, что ![]()
и ![]()
определяются в любой точке
земляного полотна в зависимости от результирующей амплитуды колебаний ![]()
, которая определяется формулой [1]:
![]()
(4.12)
Подставив соотношения (4.2) в первые
два уравнения системы (4.1) с учетом зависимостей (4.3), (4.4) и (4.7) получим
систему уравнений в частных производных для решения плоской задачи теории
предельного равновесия:
где:
![]()
Уравнения (4.13) содержат в правых
частях члены ![]()
и ![]()
, которые учитывают силы инерции в
колебательном процессе грунта. В работах [6, 41] показано, что значение этих
членов можно представить следующими зависимостями:
где, Н - функция, учитывающая изменение
амплитуды колебаний в земляном полотне по сравнению с амплитудами на основной
площадке. В нашем случае:
Система уравнений (4.13) является системой
первого порядка гиперболического типа, тогда следуя идеям Соколовского В.В. [5,
6, 41, 47, 53, 54, 55, 58, 59] можно показать, что уравнения характеристик и
соотношения вдоль характеристик этой системы имеют вид:
где верхние знаки относятся к линиям скольжения
второго семейства, нижние - к первому семейству и
Определение несущей способности земляного
полотна, заключается в построении сетки линий скольжения (характеристик) и
вычисления значений напряжений и угла d в узлах этой
сетки.
4.2.1 Вывод системы уравнений
Методика, разработанная профессором Прокудиным И.В. [41, 52] прекрасно зарекомендовала себя, показывая хорошую сходимость расчетных данных с фактическими.
При разработке методики определения несущей способности земляного полотна с целью упрощения расчетов были приняты некоторые допущения. В частности при расчете в зоне особой точки «0», а также при определении граничных условий с учетом пригрузки. Сегодня возможности вычислительной техники значительно возросли и позволяют усовершенствовать методику, сделав расчет еще более точным.
Для того чтобы получить представление о методике расчета несущей способности, рассмотрим рисунки 4.1 и 4.3:
На рисунке 4.1 в общем виде представлена схема действующих сил со следующими обозначениями:- площадка загружения, на которую действуют вертикальные напряжения Р0;
Размер зоны основной площадки, воспринимающей
нагрузку от подвижного от состава определяется согласно [6, 52] по формуле:
![]()
(4.22)
где, ![]()
- длина шпалы, м;
![]()
- толщина балласта под шпалой, м;
а - условная ширина обочины земляного полотна в соответствии с рисунком 4.2.
Точка «0» называется особой потому, что в ней происходит скачкообразное изменение угла δ от α до π/2 и величины напряжений σ от qпр до Р0 предельного. Согласно рисункам 4.1 и 4.3 точка «0» является центром расчетной схемы.
В общем случае, как и при действии статических нагрузок для построения сетки линий скольжения, следует рассматривать три области (ОА0А1, О А1А2, ОА2А3), представленные на рисунке 4.3.
Далее особое внимание будет уделено расчету во второй зоне. Нахождение значений δ и σ в точке «0» во второй зоне должно производиться с учетом данных, приведенных на рисунке 4.4. Характеристики первого семейства слева от точки «0» будут наклонены к образующей откоса под углом (α+μ).
Справа от точки «0» угол наклона характеристики к горизонтали составит π/2-μ в силу того, что δ=π/2. Эти результаты определяются из уравнения характеристик первого семейства, определяющих их угол наклона к оси «y».
В зоне особой точки «0» с учетом
данных рисунка 4.4 наблюдается скачок угла δ от α до π/2, который равномерно
распределяется по характеристикам первого семейства. Угол δ определяется
по формуле:
где, n - количество частей, на которое разбивается скачок угла;- порядковый номер рассматриваемой части.
В особой точке «0», при y = 0 и δ = α,
напряжения
определяется используя следующую формулу:
В соответствии с рисунком 4.4 необходимо также отметить, что раньше не была учтена пригрузка от балластной призмы в зоне особой точки «0», что оказывало влияние на результаты расчета несущей способности земляного полотна. Схема для расчета с учетом пригрузки от балластной призмы представлена на рис. 4.5.
Пригрузка условной поверхности откоса и обочины (включая особую точку «0») определится в соответствии с рисунком 4.5. При этом смещение центра координат на величину 0,5·b0 по отношению к прежним осям, связано с необходимостью осуществления расчета в координатных осях, проходящих через точку «0», лежащую на границе зоны загрузки основной площадки.
С целью упрощения учета пригрузки на
обочине и в особой точке «0» от балластного слоя трапецеидальную эпюру
напряжений заменим треугольной, распределенной по всей ширине расчетной обочины
(а). Эта замена является равноценной, так как площади эпюр равны.
где, a - угол наклона условной поверхности откоса к горизонту, рад.;
a1 - угол наклона откоса насыпи к горизонту, рад.;
a2 - угол в треугольной эпюре напряжений, характеризующий распределение пригрузки на обочине (а), рад.;
g - объемный вес грунта;
gб - объемный вес балласта;н - высота насыпи;б - толщина балласта.
Из рисунка 4.5 и формулы 4.25
следует, что пригрузка в особой точке «0» равно произведению толщины балласта
на его объемный вес (hб·γб).
4.2.2 Алгоритм определения несущей способности земляного полотна
Расчет производится в трех зонах (рис. 4.6): первая зона включает в себя характеристики первого семейства с 0 по 10; вторая охватывает характеристики первого семейства с 11 по 20; третья зона с 21 по 30. Кроме того, каждая зона пересекается 10 характеристиками второго семейства.
Определение несущей способности земляного полотна начинается с точек, расположенных на условной поверхности откоса. Эти точки намечаются произвольно на равных расстояниях друг от друга. На основании ранее выполненных расчетов расстояние между соседними точками (Н) принимают равно 0,06·b0. Фиксированное положение точек 0.10, 1.0, 10.0 позволяет точно определить для каждой из них координаты z и y, по которым определяются Azy, Cдн, jдн по формулам (4.12), (4.8), (4.9). Значения коэффициентов в вышеназванных формулах определяются исходя из характеристик грунта земляного полотна.
Среднее приведенное напряжение s в точках, расположенных на
поверхности условного откоса определяется из выражения:
Значение угла d, определяющего угол между
первым главным напряжением s1
и осью OY рассчитывается по формуле:
(4.27)
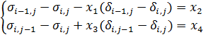
Зная значения величин y, z, s, d для двух соседних точек
характеристик первого и второго семейств (i-1, j) и (i, j-1) (рис. 4.7),
определяются координаты в точке (i, j) в результате решения системы двух
линейных уравнений с двумя неизвестными, заменяя значения частных производных в
уравнениях (4.18) их конечно-разностными соотношениями:
где:
С учетом полученных значений zi,j и
yi,j определяют величины di,j и si,j путем решения уравнений
(4.19), которые в конечно-разностной форме имеют вид:

(4.32)
где:
![]()
(4.33)
![]()
(4.34)
(4.35)
(4.36)
![]()
![]()
(4.37)
![]()
![]()
(4.38)
Значения функций B и D в формулах (4.35) и (4.36) определяются по формулам (4.20) и (4.21) с внесением соответствующих индексов i и j.
Так как уравнения характеристик
являются криволинейными, а приближенное вычисление в точках значений функции
напряженного состояния и формы линий скольжения выполнено исходя из
прямолинейности уравнений характеристик на участках между соседними точками, то
вычисление значений d и s имеют погрешность.
Корректировка величины d для
повышения точности вычислений производится по следующим формулам:
![]()
(4.39)
![]()
(4.40)
Полученные значения подставляются в
формулы с (4.28) по (4.38) и расчет повторяется. Итерационный процесс
повторяется до тех пор, пока разность по модулю между ![]()
и ![]()
не станет меньше 0,005 радиана.
Определение значений d и s во второй зоне начинается с
их вычислений в особой точке «0». В этой точке угол d изменяется от a до ![]()
. Это изменение распределим
равномерно по характеристикам первого семейства. Тогда значение угла d определится в точке «0»
следующим образом:
где: ![]()
Величина напряжений в этих точках по исследованием Колоса А.Ф. [27] и Козлова И.С. [26] определяется более точно следующей формулой:
![]()
(4.42)
В формуле 4.42 в соответствии с
рисунком 4.5 и формулой (4.26) ![]()
а ![]()
.
В третьей зоне касательное
напряжение![]()
. Тогда приравнивая нулю левую часть
третьего уравнения (4,7) получим, что в этой зоне угол ![]()
. Величины d и s в этой зоне начинаются с их
определения в точке 21.1, находящейся на поверхности площадки загружения. В
этой точке координата z=0. Далее по формулам (4,28) - (4,38) определяются
значения в точках 21.2, 21.3……21.10. Затем определяются d и s в следующей точке на
поверхности площадки загружения 22.2. Далее расчет аналогичен описанному выше.