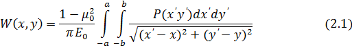
где, ![]()
- вертикальное смещение
поверхности;
![]()
- коэффициент Пуассона и модуль
деформации среды, МПа;
![]()
- координаты точки, в которой
определяется смещение;
![]()
- координаты точки элементарной
площадки загруженной реактивном давлением;
![]()
- закономерность распределения
давления;
![]()
- полудлина и полуширина шпалы.
В выражении (2.1) ![]()
(2.2)
![]()
- нагрузка на шпалу от рельсов.
Это позволяет существенно упростить (2.2), заменив интегрирование по ширине шпалы умножением на 2b.
Для расчета амплитуд вертикальных смещений с учетом только упругой работы грунта и балласта под пульсирующими напряжениями в 2.1 вместо модуля деформации используется модуль упругости. Кроме того, для определения наибольших амплитуд применяется равномерное распределение напряжений по ширине шпал в соответствии с действующими правилами производства расчетов верхнего строения пути на прочность [60].
Учитывая высокую погонную жесткость
шпалы в поперечном направлении и неизменность поперечного сечения под
нагрузкой, амплитуды смещений определяются под продольной осью расчетной шпалы,
что позволяет координаты ![]()
и x приравнять нулю. При изложенных
допущениях и ограничениях выражение 2.1 является основой для расчета амплитуд
колебаний и принимает следующий вид:
Распределение напряжений под
подошвой железобетонных шпал в значительной степени зависит от способа их
подбивки. Однако, как при сплошном опирании шпал на балласт, так и при наличии
зазора в середине шпалы наибольшие напряжения в соответствии с данными [41] и
результатами ЦНИИ МПС [7, 36, 61] регистрируются в подрельсовом сечении.
Естественно, что при различным опирании шпал по их длине регистрируются
различные по величине напряжения, но интегрирование их величины по площади
всегда равно усилию воспринимаемому шпалой от рельсов. Экспериментальные
исследования, приведенные Прокудиным И.В. [41] позволили автору получить
данные, хорошо аппроксимирующиеся выражением вида
где, ![]()
- напряжения в балласте по длине
шпалы;
![]()
- напряжения по оси пути и в
подрельсовом сечении;
![]()
- координата по оси “![]()
” изменяющаяся от 0 до 1,35 м из-за
симметрии эпюры напряжению по подошве шпал.
Кроме того, в этих экспериментах
[41] установлено, что ![]()
![]()
, а характер затухания напряжений и
их пульсаций одинаков с несколько большей интенсивностью для ![]()
. Последнее обусловливает повышенное
загасание пульсации напряжений, вследствие чего на глубине 2,7 - 3,0 м их
величина не превышает 3 - 5% от зарегистрированных по подошве шпал.
Расчетное распределение напряжений в
соответствии с 2.4 представлено на рис. 2.8. Все составляющие правой части
формулы 2.4 с учетом [11] выражены через средние напряжения по подошве шпал (![]()
).
Тогда: ![]()
Учитывая 2.5 из 2.3 получается
Характер эпюры напряжений на рис. 2.9 свидетельствует о регистрации наибольшего упругого смещения балласта и грунта подрельсовом сечении, вследствие в 2.6 принимается y = 0,8 м.
Выполняя интегрирование по ![]()
получается
Полученные интегралы в замкнутом
виде не решаются и для их вычисления по [13] используются ряды
![]()
![]()
После вычислений при a=1,35
получается, что ![]()
, а
![]()
;
Подставляя определенную величину в
2. 6, получается выражение
Формула 2.7 справедлива для расчета
колебаний поверхности полупространства, сложенного однородным грунтом. При
наличии под шпалами многослойного основания изменяется распределение напряжений
и их пульсаций по глубине. Отличие реального распространения напряжений от
получаемого в результате расчета методами теории упругости зависит от характера
расположения пластов. В случае, когда слой повышенной жесткости подстилается
более слабым грунтом, что имеет место в железнодорожном пути, в нижележащем
слое регистрируются напряжения несколько меньше расчетных по теории упругости.
При отношены ширины шпалы к высоте балластного слоя уменьшение напряжений и их
пульсации составляет 2 - 3% [45]. Этим различием без существенного изменения
точности расчета можно пренебречь, а распределение пульсации напряжений в
балластном слое и земляном полотне принимается в соответствии с решениями
теории упругости. Наличие прямолинейной связи между напряжениями и упругими
смещениями равно как между пульсацией напряжений и колебаниями, позволяет по
данным ЦНИИ МПС [30] аппроксимировать в подрельсовом сечении затухание смещений
зависимостью
![]()
при ![]()
> 0,45 м (2.8)
где, ![]()
- толщина балласта под шпалой, м;
α - коэффициент затухания
колебаний по глубине балласта.
α= 1,65+0,005∙(V - 50) при 60 ≤ V ≤ 180
- скорость поезда, км/ч.
Подставляя 2.7 в 2.8 получается
формула для расчета вертикальных амплитуд колебаний основной площадки земляного
полотна, воспринимающего воздействие в виде одиночного силового импульса
где, Е - модуль упругости грунта в пределах зоны распространения пульсации напряжений.
Расчет вертикальных амплитуд
колебаний по формуле 2.9 определяет смещение среды при действии одиночного
силового импульса на рассматриваемую шпалу. Вызванные такими импульсами
колебания распространяются в балластной призме по всем направлениям. Так как
при проходе поезда такие колебания зарождаются одновременно под многими
шпалами, то в процессе распространения колебаний наблюдается их наложение друг
на друга. При совпадении колебаний по фазе происходит сложение амплитуд, их
величина достигает наибольшего значения, что создает наиболее неблагоприятные
условия работы грунтов земляного полотна. Следовательно, необходимо
рассчитывать максимальные амплитуды колебаний грунтов основной площадки. Для
этого используется уравнение затухания колебаний в горизонтальном направлении,
принимая условно среду их распространения в виде песка и смеси щебня с песком.
Коэффициент загасания колебаний в горизонтальном направлении (α1) для такой
среды приведен Ершовым В.А. и с учетом осреднения равен 0,489 [20]. Используя
уравнение для определения колебаний на некотором расстоянии от источника,
получается
Для определения суммарной амплитуды
колебаний грунтов основной площадки проинтегрируем 2.10 по “x”, принимая
расстояние распространения колебаний близким к бесконечности, т. к. α1 имеет
размерность 1/м, а длина измеряется сотнями метров.
![]()
![]()
(2.11)
Подставляя 2.9 в 2.11 получается
окончательная формула для расчета амплитуд вертикальных колебаний грунтов
основной площадки железнодорожного земляного полотна.
Расчеты по формуле 2.12 должны производиться с учетом изменения свойств грунтов под действием вибродинамической нагрузки.
Величины амплитуд горизонтальных
колебаний в направлении перпендикулярном оси пути определяются следующим
выражением, полученным И.В. Прокудиным [41]:
![]()
(2.13)
где, ![]()
- амплитуда горизонтальных
колебаний поперек оси пути, мкм;
![]()
- амплитуда вертикальных колебаний,
определенный расчетным путем, мкм;- скорость для которой определяется
амплитуда, км/ч.
Экспериментальные данные полученные И.В. Прокудиным [41] позволил автору сделать следующий вывод, с возрастанием скорости движения пассажирских поездов изменяется соотношения между амплитудами различных составляющих. Определенный практический интерес представляет оценка влияния амплитуд горизонтальной составляющей вдоль пути на величину максимальной результирующей амплитуды. Расчеты показывает, что при различных скоростях ее влияние определяется величиной 2,3-2,7%. Следовательно, при определении результирующей амплитуды колебаний грунтов, возникающей от прохода пассажирских поездов по пути с шириной колеи 1520 мм, для практических расчетов можно не учитывать горизонтальную составляющую амплитуду колебаний вдоль пути [41].
Тогда, максимальное результирующие амплитуд колебаний на основной площадке земляного полотна определяются:
![]()
, (2.14)
где, ![]()
- амплитуда вертикальных колебаний,
мкм;
![]()
- амплитуда горизонтальных
колебаний в направлении поперек оси пути, мкм.
2.2.2 Исходные данные и результаты расчета
Для расчета максимальных результирующих амплитуд колебаний на основной площадке земляного полотна, отсыпанного из лёссовидных грунтов, при высокоскоростном движении, принимались следующие исходные данные:
. Значения напряжений под шпалой, в соответствии определенной в п. 2.1.
. Модуль упругости лёссовидной супеси с учетом вибродинамической воздействии - Е = 20 МПа [28].
. Коэффициент Пуассона для лёссовидной супеси - μ = 0,30 [57].
. Толщина балластного слоя под шпалой - hб = 0,5 м.
. Параметры шпала типа Ш1: полудлина шпала - а = 1,35 м и полуширина шпала - b = 0,15 м.
Результаты расчета представлено в таблице 2.1. Зависимость
изменение амплитуд колебаний от скорости движения поездов представлено на рис.
2.9.
ТАБЛИЦА 2.1. Результаты расчета максимальная результирующая амплитуда колебаний на основной площадке земляного полотно отсыпанного из лёссовидной супеси
|
Скорость движения поездов V, км/ч |
Напряжения в сечении по оси рельса под шпалой σр, кг/см2 |
Напряжения в сечении по оси пути под шпалой σо, кг/см2 |
Средние напряжения по подошве шпал σδср, кг/см2 |
Коэффициент затухание колебаний по глубине балласта α |
Амплитуда вертикаль- ной колебаний Аz, мкм |
Амплитуда горизонталь- ной колебаний Аy, мкм |
Максимальная резуль- тирующая амплитуда колебаний Ар, мкм |
|
|
|
|
|
|
|
|
|
|
|
|
|
|
|
|
|
|
|
|
|
|
|
|
|
|
|
|
|
|
|
|
|
|
|
|
|
|
|
|
|
|
|
|
|
|
|
|
|
|
|
|
|
|
|
|
|
|
|
|
|
|
|
|
165 |
1,08 |
0,356 |
1,036 |
2,23 |
215 |
119 |
246 |
|
195 |
1,25 |
0,413 |
1,200 |
2,38 |
238 |
129 |
271 |
|
230 |
1,35 |
0,446 |
2,55 |
244 |
131 |
276 |
|
|
280 |
1,5 |
0,495 |
1,439 |
2,95 |
240 |
134 |
276 |