1.3 Вибродинамическое
воздействие на грунты земляного полотна железных дорог
Земляное полотно железных дорог, является основанием верхнего строения пути, обеспечивает его стабильность, прочность, долговечность и безопасность движения поездов.
Исследования показывают, что вибродинамическое воздействие поездов является одной из причин снижения несущей способности грунтов земляного полотна и образования остаточных деформаций.
Исследование поведения грунтов земляного полотна
под воздействием динамических нагрузок осуществлялась по двум направлениям. К
первому направлению относятся работы посвященные изучению амплитудно - частотных
характеристик и характера распространения колебаний в грунтах земляного полотна
и основания, ко второму - исследования изменения прочностных свойств грунтов
под влиянием вибродинамических нагрузок.
1.3.1 Характеристика колебательного процесса грунтов
Вопросам изучения распространения колебаний в грунтах земляного полотна и его основании посвящены работы И.В. Прокудина, Г.Н. Жинкина, Г.М. Стояновича, А.И. Кистанова и др. [21, 25, 40, 41, 50].
Ярко выраженное вибрационное и динамическое воздействие проходящих поездов на все элементы железнодорожного пути вызывает в грунтах земляного полотна сложный колебательный процесс. Он имеет ярко выраженный стохастический характер, его параметры зависят от большого числа факторов, важнейшими из которых являются [41]:
· вид и состояние грунтов;
· скорость движения поездов и осевые нагрузки;
· конструкция и состояние верхнего строение пути;
· вид подвижного состава, состояние его ходовых частей и их конструктивные решения.
Исследования поведения грунта при прохождении подвижного
состава были направлены на изучение основных характеристик колебательного
процесса и распространения колебаний в теле земляного полотна и за его
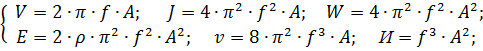
пределами. Известно [19, 64], что колебания гармонического типа определяется
следующими основными характеристиками: амплитудой (А), частотой (f), скоростью
(V), ускорением (J), мощностью (W), энергией (Е), резкостью (v) и
интенсивностью (И). При этом амплитуда и частота является исходными
характеристиками, а все остальное - производные от них и определяются по
выражениями:

(1.1)
где ρ - плотность среды, кН/м3.
Значительный объем исследований колебательного процесса грунтов земляного полотна выполнил И.В. Прокудин [40, 41]. При проходе подвижного состава он в общем характере колебаний выделяет три гармоники:
1. Низкочастотная. Характеризуется частотами от 1,5 до 3,0 Гц и амплитудами 20 - 80 мкм [41, 51].
. Среднечастотная составляющая с частотой колебаний для пассажирских поездов от 4 до 20 Гц, а для грузовых от 7 до 16 Гц. Амплитуда среднечастотной составляющей зависит от скорости движения поездов, от осевой нагрузки, от конструктивных особенностей ходовых частей подвижного состава, вида и состояния пути, и составляет порядка 35 - 215 мкм [41, 51].
. Высокочастотная. Это составляющая проявляется с частотой от 40 до 200 Гц, при этом обладая незначительными амплитудами 3 - 7 мкм. Имеет свойства интенсивно затухать в теле земляного полотна и за его пределами [41, 51].
Исследования амплитуд колебаний грунтов на основной площадке земляного полотна в зависимости от скорости движении поездов на обычных глинистых грунтах проводилось И.В. Прокудином [41], а на лёссовидных грунтах А.М. Абдукаримовом [1].
Результаты исследования амплитуд колебаний грунтов на основной площадке земляного полотна в зависимости от скорости движении поездов представлены на рис. 1.7. Кривая 1 рис. 1.7 отображает изменения результирующей максимальной вероятной амплитуды колебаний на обычных глинистых грунтах при увеличении скорости движения пассажирских поездов. В интервале изменения скорости от 50 до 180 км/ч увеличение амплитуд происходит по прямолинейной зависимости с интенсивностью 8 мкм на 10 км/ч. Максимальные смещения регистрируется при скорости движения поездов 180 - 190 км/ч, а с её дальнейшим увеличением наблюдается стабилизация амплитуд колебаний. Последнее автор объясняет, несколько большим влиянием горизонтальных составляющих и незначительным снижением амплитуд вертикальных колебаний при скоростях свыше 200 км/ч [41]. Зависимость 2 рис. 1.1 отображает изменения результирующей максимальной вероятной амплитуды колебаний обычных глинистых грунтов основной площадки при увеличении скорости движения грузовых поездов с нагрузкой на ось подвижного состава 190 - 210 кН. Как видно из рисунка амплитуда увеличивается по прямолинейной зависимости с ростом скорости движения поездов в диапазоне от 40 до 115 км/ч и характеризируется высокой интенсивностью, достигающей 19 мкм на 10 км/ч [41], т. е. практически в 2,1 раза выше по сравнению со значением интенсивности для пассажирских поездов.
Зависимость 3 рис. 1.7 отображает изменения результирующей максимальной вероятной амплитуды колебаний лёссовидных грунтов основной площадки при увеличении скорости движения грузовых поездов. Анализ зависимости 3 показывает, что амплитуда колебаний на основной площадке во всем диапазоне изменения скоростей от 20 до 60 км/ч, имеет прямолинейный характер с интенсивностью 20,0 мкм с ростом скорости на 10 км/ч [1]. Из графика видно, что амплитуды колебаний на основной площадке, полученные для лёссовидных грунтов выше по сравнению со значением амплитуд колебаний на основной площадке для обычных глинистых грунтов.
На рис. 1.8 представлено загасание амплитуд колебаний по глубине земляного полотна из обычных глинистых грунтов [41] и из лёссовидных грунтов [1].
Анализ рис. 1.8 показывает, что для обычных глинистых грунтов загасание амплитуд колебаний происходит практически с одинаковой интенсивностью по всей глубине, а на лёссовидных грунтах затухание амплитуд смещений происходит по некой криволинейной зависимости и по интенсивности затухания делиться на две зоны. От уровня основной площадки до глубины 0,5 м амплитуды колебаний затухают более интенсивно, чем на глубине от 0,5 до 1,5 м.
Расчет параметров колебательного процесса грунтов железнодорожного земляного полотна характеризуется большой сложностью и трудоемкостью, поэтому основная характеристика колебаний грунтов - амплитуда смещений - определяется экспериментальным путем.
Исследование распространения колебаний в теле
полотна и за его пределами выявило, что загасание их происходит одновременно в
вертикальной и горизонтальной плоскостях по экспоненциальной зависимости.
Поэтому амплитуды результирующих колебаний в любой точке земляного полотна,
отсыпанного из лёссовидных грунтов, определяются следующими выражениями,
которые полученны А.М. Абдукаримовом [1]:
![]()
(1.2)
где ![]()
(1.3)
![]()
(1.4)
![]()
(1.5)
![]()
(1.6)
![]()
(1.7)
где, ![]()
- результирующая амплитуда в точке
с координатами z и y, мкм;
А0 - максимальная вероятная результирующая амплитуда колебаний глинистого грунта основной площадки полотна, мк;, y - координаты рассматриваемой точки по вертикали и горизонтали расположении центра координат по оси пути на основной площадке, м;
![]()
, ![]()
- коэффициенты, характеризующие
затухание по глубине земляного полотна амплитуд колебаний, 1/м;
![]()
, ![]()
- коэффициенты, характеризующие
затухание в горизонтальный плоскости в пределах зоны проявление пульсации
напряжений 1/м;
δ3 - коэффициент загасания колебаний в откосе, 1/м;
α1 - угол заложения откоса насыпи
или выемки;пл - ширина основной площадки земляного полотна, м.
1.3.2 Изменение прочностных свойств грунтов под влиянием вибродинамических нагрузок
Динамические воздействия как слабые, возникающие вследствие движения неуравновешенных частей машин (вибрации, колебания и пр.), так и сильные - кратковременные однократные и многократные (удары, импульсы большой силы и т. п.), существенно сказываются на свойствах грунтов.
Вибрации вызывают уменьшение трения между частицами грунтов и общее уменьшение их сопротивления сдвигу, импульсные воздействия средней величины вызывают осадки и просадки, а импульсы значительной величины - разрушение структуры грунтов и потерю их прочности [55].
Наиболее полно вопросы снижения-восстановления прочности глинистых грунтов земляного полотна исследовались в работах А.И. Лагойского [33], А.И. Кистанова [25], Л.П. Зарубиной [23] и И.В. Прокудина [40, 41] и др.
Для оценки влияния вибродинамического
воздействия на прочностные характеристики глинистых грунтов А.И. Лагойским [33]
введены показатели относительного снижения удельного сцепления и угла
внутреннего трения, соответственно определяемые в долях или процентах по
формулам:
где, ![]()
, ![]()
- сцепление и угол внутреннего
трения, определенные при действии статической нагрузки;
![]()
, ![]()
- то же при действии максимальной
вибродинамической нагрузки.
Изменение прочностных характеристик при действии вибродинамических нагрузок для обычных глинистых грунтов более подробно исследовано И.В. Прокудином [41], а для лёссовидных грунтов А.М. Абдукаримовом [1]. Исследования выполнены в лабораторных условиях, в качестве максимальной вибродинамической нагрузки в камере стабилометра была принята величина 280 мкм, соответствующая при движении грузового поезда со скоростям 60 км/ч Изменение показателя относительного снижения сцепления и показателя относительного снижения угла внутреннего трения в зависимости от консистенции лёссовидного грунта представлено на рис. 1.9 и на рис.1.10.
Анализ рис. 1.9 и рис. 1.10 свидетельствует о незначительном снижении прочностных характеристик обычных глинистых грунтов при влажности близкой к пределу раскатывания (JL=0). Аналогичной вывод можно сделать и для лёссовидных грунтов. С увеличением влажности прочностные характеристики под влиянием вибродинамического воздействии снижаются. Важным показателем для характеристики грунтов являются диапазон изменения влажности, которой называемый
Так для обычных глинистых грунтов при действии вибродинамической нагрузки этот диапазон изменяется от 0,27 до 0,36 [41], а для лёссовидных грунтов это диапазон изменяется от 0,34 до 0,50 [1]. Полученные результаты указывают о меньшей чувствительности лёссовидных грунтов земляного полотна к вибродинамическим воздействиям по сравнению с обычными глинистыми грунтами. При критических влажностях (0,27≤JL≤0,36) прочностные характеристики обычных глинистых грунтов снижаются: сцепление - на 43%, угол внутреннего трения на 34% [3]. Прочностные характеристики лёссовидных грунтов при критических влажностях (0,34≤JL≤0,50) снижаются: сцепление на 28%, угол внутреннего трения на 17% [1].
Учитывая пропорциональную
зависимость амплитуд колебаний от пульсации напряжений, закономерность
изменения прочностных характеристик от величины амплитуд колебаний грунтов
описывается следующими формулами, которые предложенны И.В. Прокудином [41] и с
учётом исследований Абдукаримовом А.М. [1], апробированы на лёссовидных
грунтах:
![]()
(1.9)
![]()
(1.10)
где, ![]()
, ![]()
- сцепление, угол внутреннего
трения, определяемые при вибродинамическом воздействии по величине действующих
амплитуд колебания;
![]()
, ![]()
- сцепление, угол внутреннего
трения, определяемые при действии статической нагрузки;
![]()
и ![]()
- минимальные показатели
соотношения характеристик сцепления и внутреннего трения;
![]()
и ![]()
- максимальные величины показателей
относительного снижения прочностных характеристик, определяющих
чувствительность грунта к вибродинамическим нагрузкам;
К - коэффициент виброразрушения;
А - результирующая амплитуда колебаний, при которой определяются характеристики;
![]()
- начальная амплитуда колебаний,
при которой снижение характеристики не превышает 3 - 5 %.
.4 Выводы
по главе I
. Лёссовые и лёссовидные грунты отличаются друг от друга теми или иными признаками. Нельзя не отметить, что отсутствие определенных критериев отделения лёссовых от лёссовидных грунтов часто приводит к тому, что одинаковые по составу и свойствам породы получают различные названия и, наоборот, различные породы могут быть названы одинаково.
. При строительстве земляных сооружений из лёссовых и лёссовидных пород, приходится решать следующие вопросы: 1) выявления геологических условий залегания лёссовой толщи в целях проектирования размещения карьеров, а также подсчета запасов этих пород; 2) выбор метода укладки; 3) выявление оптимальных условий уплотнения лёссовых и лёссовидных пород; 4) установления свойств уплотненных лёссовых и лёссовидных пород.