Материал: Нанотехнологии для всех (Рыбалкина), 2005, c.444

Внимание! Если размещение файла нарушает Ваши авторские права, то обязательно сообщите нам

НАНОТЕХНОЛОГИИ ДЛЯ ВСЕХ

Опасность масштабного применения ГМО связывают и с вытеснением ими других растений, что ведет к значительному сокращению биологического разнообразия. Еще одна причина связана с нарушением трофических цепочек: появление ГМ растений, устойчивых к насекомым, становится причиной ис чезновения сначала многих видов насекомых; потом птиц и мелких млекопитающих, питающихся насекомыми; затем и крупных млекопитающих, употребляющих в пищу мелких жи вотных. Но особую опасность представляет третья причина: ве роятность встраивания “чужих” генов в геномы других орга низмов в результате горизонтального переноса генов. Однако у сторонников трансгенных растений есть аргументы и против этих опасений.

Похоже, человечеству в ближайшее время предстоит отве тить на непростой вопрос, какое из двух зол меньше – химика ты или генная инженерия? Или, может, следует найти некую “золотую середину”?

На наш взгляд, подобное противостояние научных лагерей в итоге выгодно всем: скептицизм и осторожность одних послу жит дополнительным фильтром, заставляющим энтузиастов биотехнологии внимательнее относиться к проверке своих дос тижений, прежде чем выпускать их в массы.

Развитие науки никогда не протекало плавно, и внедрение любой новой технологии сопряжено с ошибками. Но ведь на то они и ошибки, чтобы на них учиться и, главное, их исправлять. Ведь никогда не ошибается лишь тот, кто ничего и не делает.

О проекте “Геном человека”

Говоря о биотехнологии, нельзя не упомянуть грандиозней ший за всю ее историю проект, объединивший усилия несколь ких тысяч ученых из разных стран – расшифровку генома чело века. Это был один из самых дорогостоящих научных проектов в истории цивилизации – на него было потрачено более 2,7 миллиардов долларов.

Цель проекта заключалась в создании подробной карты че ловеческого генома, включающей определение всех его генов, их функций и взаимодействий в норме и при нарушениях, при водящих к болезням. Он длился 12 лет и полностью завершил ся к 2001 году. Результатом явились почти три миллиарда букв

308

ГЛАВА 6. Биотехнологии и наномедицина

генетического кода человека, приведенные к строгой системе. Был идентифицирован 29 181 ген. Расшифрованный код дос тупен в сети Интернет.

Что такое карта генома? Грубо говоря, это линейная схема расположения генов в хромосомах с указанием относительных расстояний между ними

Карты генома, подобно географическим, можно строить с различной степенью детализации. Последняя зависит от точ ности метода анализа. Первые генетические карты давали лишь общее представление о структуре ДНК. В них расстояние меж ду генами – мельчайшими “различимыми на местности объек тами” – составляло порядка 7 10 килобаз.

Килобаза (от англ. base основание) единица измерения длины молекулы ДНК, равная тысяче пар оснований (нуклеотидов)

Существует всего четыре вида оснований и, соответствен но, четыре вида их пар. Как известно из информатики, объект, имеющий 4 состояния, несет в себе 2 бита информации. Значит, 1 байт = 8 битам = 4 парам оснований. Получается, что одна ки лобаза соответствует 250 байтам, а во всей ДНК человека зак лючено около 750 Мб информации (что соответствует емкости современного компакт диска).

Внаше время достигнута максимально возможная степень детализации – с точностью до пары нуклеотидов. Современная генетическая карта представляет собой полную последователь ность нуклеотидов с указанием, где кончается один ген и начи нается следующий.

Воснове расшифровки генома лежит сложный процесс, называемый секвенированием (от англ. sequence – последова тельность). Он базируется на механизме “разрезания” ДНК посредством рестриктаз. Грубо говоря, сначала ДНК “шинкует ся” на кусочки, каждый из них анализируется по отдельности,

изатем воссоздается первоначальная структура. Это так назы ваемые методы «первого поколения». Однако в процессе реали зации проекта «Геном человека» было разработано множество других, более мощных методов.

Когда в 1988 г. один из первооткрывателей знаменитой двой ной спирали ДНК Дж. Уотсон публично заявил, что наука вплот

www.nanonewsnet.ru

309

НАНОТЕХНОЛОГИИ ДЛЯ ВСЕХ

ную приблизилась к раскрытию химической основы человечес кой ДНК, к его словам отнеслись довольно скептически.

К тому времени уже было известно, что геном человека насчитывает около 3 млрд. пар нуклеотидов, и эта величина ка залась необозримо большой, ведь тогда расшифровка одного единственного гена занимала годы кропотливой работы целой лаборатории, а в среде генетиков, по аналогии с правилом «один ген – один белок», бытовало выражение «один ген – од на карьера». Поэтому сама мысль о возможности получения та кого объема информации представлялась совершенно фантас тической. Критики Уотсона считали, что решение предложен ной им задачи малореально в научном отношении, поскольку для него потребовалось бы как минимум 30 40 тысяч лет.

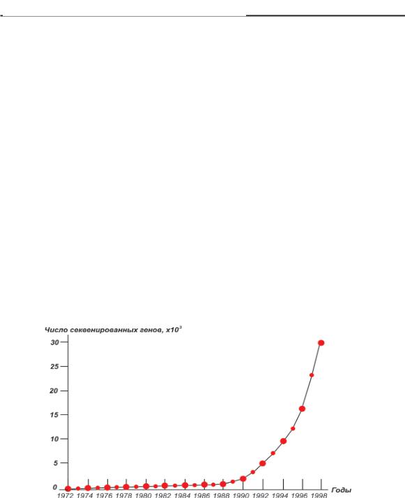
Но факт остается фактом: стремительное развитие науки и техники позволило расшифровать 99% человеческого генома всего за 12 лет. На рисунке изображен график, иллюстрирую щий динамику процесса секвенирования ДНК по годам.

Рис 192. Нарастание числа секвенированных генов человека по годам

Если такие тенденции сохранятся и дальше, то, возможно, через несколько лет родители каждого новорожденного мла денца смогут получать его индивидуальный генетический «пас порт» прямо в роддоме.

Одной из причин столь поразительного прогресса науки явилось, в первую очередь, развитие информационных техно логий. Специально разработанные программы для анализа распределения нуклеотидов в ДНК позволили достигнуть фе номенально быстрой расшифровки большинства «слов» текста нашей «книги жизни».

310

ГЛАВА 6. Биотехнологии и наномедицина

Некоторые сведения о человеческом геноме

Функции генов

Развитие генной инженерии помимо практического при менения имеет еще и большое научное значение. Благодаря ус пехам в этой области удалось впервые оценить функции генов в организме. На диаграмме представлено примерное распределе ние функций генов человека.

Рис 193. Примерное распределение генов человека по их функциям

Получена интересная информация о количестве генов, от вечающих за образование и работу отдельных органов и тканей человеческого тела. Оказалось, что больше всего генов пред назначено для формирования и поддержания активности мозга (3195), а меньше всего – для создания эритроцитов (8).

Рис 194. Количество генов, вовлеченных в развитие и функционирование органов и тканей человека

www.nanonewsnet.ru

311

НАНОТЕХНОЛОГИИ ДЛЯ ВСЕХ

Генетическая общность человека и других биологи ческих видов

Помимо человека, к настоящему времени полностью сек венированы геномы более 600 видов живых организмов. При этом оказалось, что количество генов и длина ДНК у разных видов заметно различаются. Если в хромосомах человека содер жится около 750 Мб информации, то, например, у бактерии Mycoplasma genitalium – всего 145 Кб, у бактерии кишечной па лочки Escherichia coli – 1 Mб, у плодовой мушки дрозофилы – 30 Мб, а у лабораторной мышки… почти 750 Мб. То есть, с точ ки зрения объема наследственной информации, человек мало чем отличается от мыши! Более того, результаты расшифровки генома грызуна показали, что у нас совпадают до 80% генов, а 99% можно назвать очень похожими.

Куриный геном в три раза короче генома человека (около 250 Мб). Однако при этом у человека и курицы обнаружено около 60% общих генов.

Расшифрованный геном знаменитой рыбы фугу (Takifugu rubripes), которая является изысканным лакомством в Японии, но при неправильном приготовлении становится смертельно ядовитой, еще более поразил воображение ученых. Размер ге нома фугу равен 91 Мб, что составляет всего около 12% от ге нома человека. Число же генов у этих двух организмов почти одинаково и примерно равно 31 000, а число общих генов у фу гу и человека достигает 75%!

Этот феномен объясняется тем, что наша ДНК состоит, строго говоря, не только из генов. Ген – это участок ДНК, ко дирующий молекулярную структуру определенного белка. Иначе говоря, это отрезок, на котором, как в файле, записана информация о последовательности аминокислот в белке.

Но далеко не все сочетания нуклеотидов несут смысловую нагрузку, кодируя конкретные белки. Подавляющее большин ство нуклеотидных последовательностей в ДНК – так называе мые интроны, не кодирующие ничего, и, вроде бы, не несущие никаких функций. Для них придумали даже такое обидное обозначение, как “джанк*ДНК” (от англ. junk – хлам, мусор). Конечно, о ненужности таких участков не может быть и речи: они хоть и не кодируют белков, но выполняют свои специфи ческие – как правило, регуляторные – функции.

312