Материал: Модернизация системы автоматического регулирования нагрева металла в двухзонной методической печи

Внимание! Если размещение файла нарушает Ваши авторские права, то обязательно сообщите нам

Наименование

Шт.

Блок питания SITOP power 24 V/3,5 A

1

Программируемый контроллер SIMATIC серии S7-200

1

Модуль дискретных выходов EM222 (4 вых.) - 6ES7 222-1H22-OXAO

1

Модуль аналоговых входов EM231 (4 вх.) - 6ES7 231-OHC22-OXAO

3

Персональный компьютер

1


2.6 Требования, предъявляемые к ПО АСУТП

.6.1 Требования к базовому (фирменному) программному обеспечению

Программное обеспечение АСУ ТП -это совокупность программ, которые обеспечивают функционирование всех цифровых вычислительных средств АСУ ТП (контроллеры, серверы, рабочие и инженерные станции, программаторы, панели оператора) и решающих все функциональные задачи на этапах разработки, наладки, тестирования и эксплуатации системы.

К программному обеспечению должно соответствовать следующим требованиям:

. Программное обеспечение (ПО) должно базироваться на международных стандартах и отвечать следующим принципам

. ПО должно разделяться на базовое (поставляется разработчиком ПТК), и прикладное (может быть разработана ПТК или разработчиком АСУ ТП).

Фирменное ПО должно сопровождаться эксплуатационной документацией.

Операционные системы устройств верхнего уровня ПТК должны иметь:

высокую производительность,

многозадачность;

быть устойчивыми и надежными;

поддержка обменов информации по используемым в ПТК локальным сетям;

иметь понятный пользовательский интерфейс;

. На нижнем уровне ПТК должны использоваться высокопроизводительные операционные системы (ОС).

Операционные системы нижнего уровня должны:

поддерживать многозадачный режим;

гибкую конфигурируемость,

малое время реакции, многоуровневую, основанную на приоритетах, обработку прерываний и присвоение меток времени зафиксированным событиям;

развитые средства коммуникации;

состыковку с техническими средствами сторонних разработчиков.

Следующие программные средства должны входить в состав инструментального ПО:

компоновка и генерация технических и программных средств ПТК;

библиотека программных модулей стандартных алгоритмов сбора и обработки технологической информации, управления, регулирования и технологических защит;

автоматизированного формирования исполняемых программных модулей на основе технологических заданий, представленных в виде БД и технологических алгоритмов, разработанных с использованием технологических языков и библиотеки стандартных алгоритмов;

. Программно-технические комплексы для отечественных АСУ ТП должны иметь полностью русифицированный интерфейс пользователя.

2.6.2. Требования и характеристика используемого системного ПО

Требования и характеристика используемой операционной системы верхнего уровня и нижнего уровня АСУ ТПиП

К используемому ПО предъявляется ряд требований:

. Программное обеспечение должно обеспечивать реализацию ПТК всех функций управления и обработки информации, включенных в техническое задание на конкретную АСУ ТП.

. Типовые задачи должны программироваться на технологических языках.

. Должна быть предусмотрена возможность сохранения исходных пользовательских данных на различных носителях.

Рисунок 13 - Уровни автоматизации

В Данной АСУ ТП используется: ОС Windows 7.7 - полностью 32-разрядная операционная система с приоритетной многозадачностью, улучшенной реализацией работы с памятью и изначально проектировалась со средствами обеспечения надежности, защиты и управления.

В данной САР компьютеры имеют следующую конфигурацию

Оперативная память - 2048 МБ (DDR2-800 DDR2 SDRAM)

Системная плата MSI P35 Neo (MS-7360) (2 PCI, 3 PCI-E x1, 1 PCI-E x16, 4 DDR2 DIMM, Audio, Gigabit LAN)ип ЦП - Тип ЦП DualCore Intel Core 2 Duo E4400, 2000 MHz (10 x 200)

Видеоадаптер NVIDIA GeForce 550 GT (1024 Мб)

Звуковой адаптер Realtek ALC888/1200 @ Intel 82801IB ICH9 - High Definition Audio Controller [A-2]

Сетевой адаптер Сетевая карта Realtek RTL8168B/8111B Family PCI-E Gigabit Ethernet NIC (NDIS 6.20) (192.168.1.3)

Объём жёсткого диска - 500 ГБ.

Требования и характеристика используемых пакетов программной поддержки обмена данными

Для обмена данными между нижним уровнем и средним используются 19 аналоговых входных каналов (с ИП - 8 штук; с датчиков расхода 4-20 мА - 4 штуки; с датчиков давления 4-20 мА - 3 штуки; с РЗД-22 - 4 шт.) и 5 дискретных выходных каналов (DC 24V). Исходя из этого контроллер необходимо укомплектовать модулями: модуль аналоговых входов EM231 (4 входа) - 6ES7 231-OHC22-OXAO - 1 штука; модуль дискретных выходов EM222 (4 выхода) - 6ES7 222-1H22-OXAO - 1 штука;

Связь между ПЭВМ осуществляется по сети Fast Ethernet.Ethernet - распространенный на сегодняшний день стандарт локальных сетей. Скорость передачи данных до 100Мбит/сек на расстояния до 100м. При этом передача данных осуществляется по протоколам TCP/IP FTP.

Требования и характеристика используемой системы управления локальными и распределенными базами данных

В настоящие время к БД предъявляются следующие требования

Возможность пополнения и изменения БД

Возможность дробления БД. Если для разных проектов требуются разные компоненты БД, то необходимо отключать ненужные модули БД

Удобство поиска и выбора нужного элемента из БД.

Простота и малые затраты ресурсов на развитие системы (быстрая и дешевая модификация старых и разработка новых программных приложений в рамках автоматизированной информационной системы).

Обеспечение защиты информации в БД от сбоев и отказов в работе технических средств и ошибок пользователей.

Возможность использования в распределенных вычислительных сетях компьютеров.SQL Server 2010 является платформой для разработки базы данных системы содержащей в себе (значения расхода природного газа, воздуха; давления в печи; температуры отходящих газов). В данной САР функцией БД будет являться хранение данных, а также отображение данных о ходе технологического процесса в удобном для оператора виде.

2.6.3 Требование и характеристика используемого программного обеспечение инструментальных средств разработки, отладки и документирования

Требование и характеристика используемых средств настройки базового ПО, диагностики и самодиагностики работоспособности ПЛК

Центральное устройство S7-200 предоставляет в распоряжение определенное количество встроенных входов и выходов. Добавление модуля расширения предоставляет дополнительные входы и выходы. Используя STEP7-Micro/WIN совместно с платой MPI, которая обладает интерфейсом RS-485, мы создаём сетевое соединение с помощью транзитного кабеля. STEP7-Micro/WIN является средством программирования, работающим под Windows. В пакете реализована поддержка языков LAD (релейно-контактные схемы) и STL (список инструкций). С помощью STEP7-Micro/WIN программируется контроллер S7-200 на языках программирования “список команд” - AWL и “контактный план” - KOP. Список команд состоит из нескольких операций, мнемоника которых представляет функцию CPU. Контактный план является графическим языком программирования, который похож на электрические схемы.

2.7 Требования и характеристика используемого прикладного программного обеспечения

.7.1 Требования и характеристика используемого прикладного программного обеспечения

STEP 7-Micro/WIN - программное обеспечение для разработки программ и обслуживания программируемых контроллеров SIMATIC S7-200.

Пакет STEP 7-Micro/WIN V4.0 дает возможность программировать все центральные процессоры семейства S7-200. STEP 7-Micro/WIN от V4 и выше имеет следующие показатели: 1) Простая структура программы: линейная структура программы с включением обычных подпрограмм и подпрограмм обслуживания прерываний. Дополнительно может быть создан блок данных. Возможно программирование с использованием символьной адресации. 2) Представление программ в виде LAD, CSF и IL структур с возможностью переключения с одного вида на другой. 3) Работа в LAD и CSF с использованием символики IEC 1131-1 или SIMATIC. 4) Использование символьной адресации. Присвоение символьных имен абсолютным адресам через таблицу символов. Вывод программы на печать с символьной или абсолютной адресацией 5) Набор мастеров для выполнения функций конфигурирования: - Текстовых дисплеев TD200/ TD 200C/ TD 100C. - ПИД-регуляторов. - Коммуникационных соединений для обмена данными между центральными процессорами. - Скоростных счетчиков. - Модуля позиционирования EM 253. - Модема EM 241. Набор мастеров для определения параметров настройки центрального процессора. 6) Исчерпывающий набор функций интерактивной помощи и подсказок. 7) Большое количество примеров программ на заказываемом отдельно компакт-диске.

При разработке алгоритма управления необходимо учитывать особенности программирования ПЛК фирмы Siemens. Должен быть предусмотрен выбор режима управления и возможность выбора задающего устройства. Задание соотношения газ-воздух должно производиться с использованием ЭВМ или ручного задатчика, управление температурой в зонах печи и расходом воздуха осуществляется контроллером или блоком ручного управления. Сигнализация низкого давления в магистралях организуется в соответствии с существующей схемой сигнализации параметров. При низком давлении в магистралях газа или воздуха должен загораться соответствующий индикатор и звучать звуковой сигнал. Съем сигнала нажатием кнопки должен быть предусмотрен в системе.

На рисунке 14 показан алгоритм регулирования температуры в зоне печи. Если управление происходит в ручном режиме алгоритм прекращает свое действие. В автоматическом режиме тумблером на пульте управления выбирается режим установки задания (от ручного задатчика или ЭВМ). В режиме установки задания от ручного задатчика на вход регулятора подаётся рассогласование, равное разности задания температуры от ручного задатчика и температуры в зоне. В режиме установки задания от ЭВМ на вход регулятора подаётся рассогласование, равное разности задания температуры, заданной ЭВМ и температуры в зоне печи. С выхода регулятора расхода газа управляющий сигнал поступает на ПБР-ЗА.

Рисунок 14 - Алгоритм регулирования температуры в зоне печи

где ТЗ ЭВМ - задание температуры от ЭВМ;

ТЗ РЗД - задание температуры от ручного задатчика;

ТТЕК - текущая температура в зоне печи;ЗАД - заданый расход газа;ТЕК - текущий расход газа.

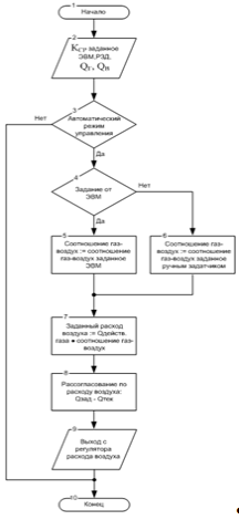
На рисунке 15 показан алгоритм регулирования соотношения газ - воздух.

Рисунок 15 - Алгоритм регулирования соотношения газ - воздух

где КСР - коэффициент соотношения расходов газа и воздуха;Г - расход газа;В - расход воздуха;

На рисунке 16 представлен алгоритм сигнализации падения давлений газа и воздуха. Датчиками давления измеряется давления в магистралях и происходит сравнение с минимально допустимыми значениями. На пульте оператора загорится световой индикатор если давление ниже минимального.

Рисунок 16 - Алгоритм сигнализации падения давлений газа и воздуха

где РГ - давление газа;

РГ МИН - минимально допустимое давление газа;

РВ - давление воздуха;

РВ МИН - минимально допустимое давление воздуха.

В приложении Ж приведены все выше представленные алгоритмы.

2.7.2 Требование и характеристика средств создания и отладки прикладного ПО

Для программирования систем автоматизации SIMATIC S7/C7/WinAC может быть использовано три языка: STL, LAD и FBD.

Язык STL (Statement List) позволяет создавать наиболее компактные программы, обладающие наиболее высоким быстродействием. При использовании данного языка программа вводится построчно с проверкой синтаксиса или в текстовом виде с последующим преобразованием.

Языки программирования контроллеров LAD (Ladder Diagram - LAD) и FBD (Function Block Diagram) позволяют создавать программы, отвечающие требованиям DINEN 6.1131-3.

В данном проекте разработана программа в среде InTouch (Wonderware, США), реализующая визуализацию технологического процесса, сбор и архивацию данных, сигнализацию о возникновении нештатных ситуаций, при необходимости, дистанционное изменение режимов работы исполнительных устройств на контролируемом пункте.система InTouch - программное обеспечение для разработки интерфейса человек-машина (НMI). HMI позволяет контролировать и управлять всеми объектами и системами, используя графические объекты, и включает:

отображение параметров для управления сигналами;

отображение текущих и исторических трендов;

отображение и регистрацию аварийных сигналов.

На рисунке 17 приведена визуализация САР нагрева металла. При дистанционном режиме управления с экрана монитора можно задавать изменение следующих параметров: расход газа в сварочной зоне, расход воздуха в сварочной зоне, расход газа в томильной зоне, расход воздуха в томильной зоне, давление в печи, давление воздуха общего. К управляющим элементам на данной панели относятся ключи автомат-дистанционный (Авт/Дист) и кнопки с синими треугольниками, предназначенные для управления заслонками. Кючи “Авт/Дист” предназначены для перевода контура регулирования в автоматический режим из дистанционного и обратно. Для управления ключом необходимо подвести к нему курсор мышки и щелкнуть один раз левой клавишей. Ключ должен изменить свое положение. Если щелкнуть еще раз, то ключ вернется на прежнее место. При работе в дистанционном режиме управления все ключи должны быть в положении “Дист”, т.е. в нижнем положении. Положением заслонок можно управлять, только если ключи находятся в нижнем положении “Дист”. Рядом с каждым параметром, значение которого можно изменять дистанционно имеется группа из четырех кнопок, обведенных в рамку, на которых нанесены синие треугольники. Два треугольника смотрят вверх, а два вниз. Если подвести курсор и нажать на левую кнопку мыши, то будет подан сигнал на открытие или закрытие заслонки. При этом цвет треугольника изменится с синего на зеленый. Если вершина треугольника обращена вверх, то будет подан сигнал на открытие, а если вниз - то на закрытие. Если над треугольником написано слово “Грубо”, то заслонка будет закрываться и открываться быстро, а если слово “Точно”, то медленно. Следует иметь в виду, что с момента посылки сигнала на открытие или закрытие заслонки до момента прихода сигнала об изменении положения заслонки может пройти 2-3 секунды, что связано с задержками в посылке и приемке сигналов от системы и в систему, а так же на выборку люфтов при работе механизмов. В системе предусмотрен сбор и архивирование технологической информации Доступ к этой информации осуществляется по кнопке “История”. После нажатия этой кнопки должен возникать экран с графиками, размеченные сеткой.

Рисунок 17 - Визуализация САР

2.8 Спецификация выбранного оборудования

Спецификация оборудования для системы автоматического регулирования представлена в таблице 6

Таблица 6 - Спецификация оборудования

Наименование

Кол.

Первичный преобразователь ТППТ-121-01

6

Вторичный измерительный преобразователь ИП-Т10-09

6

Ручной задатчик РЗД-22

5

Поворотная заслонка

5

Исполнительный механизм МЭО 100/25-0,25 У

2

Исполнительный механизм МЭО 250/25-0,25 У

2

Исполнительный механизм МЭО 630/25-0,25 У

1

Бесконтактный реверсивный пускатель ПБР-3А

5

Блок ручного управления БРУ-42

5

Диафрагма

4

Расходомер Метран-150RFA

4

Датчик давления-разряжения Метран-150CDR

1

Электр. регистрирующий прибор ТЕХНОГРАФ-160

3

Блок питания SITOP power 24 V/3,5 A

1

Программируемый микроконтроллер SIMATIC серии S7-200

1

Модуль дискретных выходов EM222 (4 вых.) - 6ES7 222-1H22-OXAO

1

Модуль аналоговых входов EM231 (4 вх.) - 6ES7 231-OHC22-OXAO

3

Персональный компьютер

1