Материал: Модернизация роторного механического пресса за счет замены копиров и пуансонодержателей с роликами на гидроцилиндры

Внимание! Если размещение файла нарушает Ваши авторские права, то обязательно сообщите нам

Основными параметрами гидроцилиндра (ГЦ) являются диаметры поршня и штока, ход поршня и рабочее давление.

Выбираем  как давление на входе ГЦ

где  - номинальное давление насоса, МПа.

Первый вариант.

Задаемся  = 6,3 МПа, тогда:

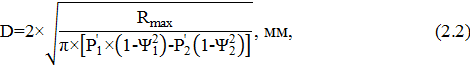
Диаметр поршня гидроцилиндра определяем по формуле:

 

где  - максимальное усилие;

 - противодавление, выбираем из диапазона Р2 = (0,3…0,9) МПа. Принимаем  = 0,6 МПа.

и - коэффициенты, принимаемые в зависимости от конструкции ГЦ. Для ГЦ с односторонним штоком принимаем:, .

Подставляем данные в формулу (2.2):

Второй вариант.

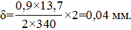
Задаемся  = 12,5 МПа, тогда:

Выбираем  = 0,6 МПа = .

Подставляем данные в формулу (2.2):

В целях уменьшения габаритных размеров гидроцилиндров выбираем второй вариант:

= 8,33 МПа; = 12,5 МПа; D = 90 мм.

По полученному значению D из справочника [12] выбираем стандартный ГЦ, у которого диаметр поршня  D.

Для рассматриваемого случая выбираем гидроцилиндр по ОСТ2 Г29-1-77, шифр обозначения: 1-10063 ОСТ2 Г29-1-77,

где 1- тип исполнения (с односторонним штоком);

- диаметр поршня, мм;

- ход штока, мм;

Данный гидроцилиндр выбран для верхних пуансонов (количество гидроцилиндров - 4 штуки).

Для нижних пуансонов выбираем 4 гидроцилиндра:

-10032 ОСТ2 Г29-1-77,

где 32 - ход штока, мм.

.4 Составление принципиальной схемы гидропривода

Составление принципиальной схемы гидропривода начинаем с гидроцилиндров (верхних и нижних), затем на рабочих гидролиниях располагаем регулирующие и направляющие аппараты в соответствии с работой привода.

Принципиальная гидравлическая схема привода показана на рисунке 2.2.

На схеме приняты следующие условные обозначения:

ЦВ и ЦН - соответственно верхние и нижние гидроцилиндры;

ТР - торцовый распределитель;

ОК1, ОК2, ОК3 - обратные клапаны;

МН1, МН2 - манометры давления;

ПМ1, ПМ2 - переключатели манометров;

ПК1, Пк2 - предохранительные клапаны;

Н1, Н2 - насосы;

Ф1, Ф2 - фильтра;

Рисунок 2.2 - Принципиальная схема привода:

БП - быстрый подвод пуансонов; БО - быстрый отвод пуансонов; РХ - рабочий ход пуансонов; ВЫГР - выгрузка кругов; СЛ - отвод жидкости.

Описание режимов работы:

БП и БО:

Ф2 - Н2 - ОК2 - ТР - ЦВ и ЦН;

РХ:

Ф1 - Н1 - ОК1 - ТР - ЦВ и ЦН;

Аварийный режим:

Ф1 - Н1 - ПК1; Ф2 - Н2 - ПК2.

При быстром подводе или отводе пуансонов жидкость через фильтр Ф2 и насос быстрых ходов Н2 поступает в обратный клапан ОК2, из него в соответствующие отверстия торцового распределителя ТР. Из распределителя жидкость поступает в соответствующие гидроцилиндры ЦВ и ЦН.

При рабочем ходе пуансонов жидкость через фильтр Ф1 и насос рабочих ходов Н1 поступает в обратный клапан ОК1, из него в соответствующие отверстия торцового распределителя ТР, а затем к гидроцилиндрам ЦВ и ЦН.

Слив жидкости производиться из соответствующих отверстий распределителя ТР через обратный клапан ОК3.

Для предохранения насосов от перегрузок в случае аварии и для настройки соответствующего давления в линиях применены предохранительные клапаны ПК1 и ПК2.

Измерение давления в соответствующих линиях гидропривода производится с помощью манометров МН1 и МН2.

Конструкция торцового распределителя будет описана ниже в подразделе «Разработка конструкции пресса».

.5 Расчет и выбор насосной установки

Выбор насосной установки осуществляется исходя из требуемых расхода жидкости и давления в гидроприводе [5].

Для ГЦ необходимо рассчитать максимальные расходы жидкости на всех этапах цикла: БПв, БОв, БПн, БОн, РХн, РХв.

Для гидроцилиндра с односторонним штоком:

;

; (2.3)

;

,

где Q, Q, Q, Q, Q, Q - максимальные расходы жидкости на соответствующих этапах цикла гидроцилиндров;

F1ст, F2ст - эффективные площади стандартного гидроцилиндра соответственно в поршневой и штоковой полостях:


Vбпв, Vбов, Vбон, Vрх - соответствующие скорости движения штоков ГЦ на разных этапах цикла (см. раздел 2.2).

Подставляем данные в формулы (2.3):

, л/мин,

, м3/мин = 7,3, л/мин,

, м3/мин = 10,2, л/мин,

, м3/мин = 1,49, л/мин.

Номинальная подача насоса Qн должна превышать наибольший из этих расходов, т.е. Qн  Qmax.

Так как в гидросхеме, что представлена на рисунке 2.2, питание гидросети осуществляется от двух насосов с разными расходами жидкости, то насосную установку следует выбирать с двумя насосами или с одним двухпоточным насосом.

Qmax1=20,4, л/мин; Qmax2=1,49, л/мин.

Максимальное давление в системе Рmax=12,5 МПа. На основании полученных значений Qmax1; Qmax2 и Pmax из справочника [12] выбираем модель насосной установки и насос пластинчатый нерегулируемый двухпоточный.

Шифр обозначения насосной установки:

БМЛ Г48-8 4 УХЛ21Г49 - 33,

где 2 - исполнение по высоте гидрошкафа;

Б - с теплообменником;

М - один агрегат за щитом;

Л - левое расположение насосного агрегата;

Г48-8 - обозначение насосной установки;

- исполнение по вместимости бака (160 литров);

УХЛ - климатическое исполнение;

БГ12 - 23М - насос пластинчатый нерегулируемый

Q1ном=35 л/мин., Q2ном=8 л/мин., Рном=12,5 МПа.;

Ф132S4 - тип электродвигателя;

Г49 - 33 - номер насосной установки.

.6 Расчет и выбор гидроаппаратуры и трубопровода

Выбор гидроаппаратуры производится из справочника [12] в зависимости от расхода жидкости и рабочего давления в той линии, где установлен аппарат. Номинальные значения расхода и давления аппарата должны быть ближайшими к расчетным значениям.

Предохранительный клапан - 2 штуки:

- 20 - 2 - 11 (ТУ2 - 053 - 1748 - 85) Qном = 40 л/мин., Рном = 20 МПа.

- диаметр условного прохода, мм;

- номинальное давление, МПа;

- стыковое присоединение;

- с ручным управлением.

Обратный клапан - 3 штуки:

Г51 - 32 Qном = 32 л/мин., Рном = 20 МПа.

Ду = 10 мм - величина условного прохода.

Манометр - 2 штуки:

МО - 160 - 25 - 0,4 ГОСТ 6521 - 72

Мо - манометр образцовый;

- диаметр корпуса, мм;

- верхний предел измерения, МПа;

,4 класс точности.

Переключатель манометра - 2 штуки:

ПМ2.1 - С320 (ТУ2 - 053 - 1707 - 84Е) Рном = 32 МПа.

Расчет трубопроводов проводим по литературе [5].

Внутренний диаметр трубопровода определяем по формуле:


где Q - максимальный расход жидкости в трубопроводе ;

 - рекомендуемая скорость течения жидкости в трубопроводе [12, с. 447], м/сек.

Минимально допустимая толщина стенки  трубопровода:


где Р - максимальное давление жидкости в трубопроводе, МПа;

d - внутренний диаметр трубопровода, мм;

 - предел прочности на растяжение материала трубопровода (сталь),  - 320 МПа;

КБ - коэффициент безопасности, КБ = 2.

Расчет трубопроводов ведем для всех режимов движения пуансонов, т.к. значения внутренних диаметров трубопроводов необходимы для проектирования торцового распределителя.

Первый вариант (напорная линия):

Pmax=14.0 МПа, Qрх=1,49 л/мин=2,510-5 м3/сек.

При Р=12,5 МПа  =3.7 м/сек.

Подставляем данные в формулы (2.4) и (2.5):

dн=d+2=2.9+20.12=3.14 мм

Из справочника [12] выбираем dн ст  dн и при условии, что

dт ст =dн ст - 2ст  dт. расч.

1,5 ГОСТ 8734-75

Соединение: 2 - 6 - К ,

где 2 - конструктивное исполнение на давление до 16 МПа;

- наружный диаметр трубы, мм;

К - резьба коническая.

Второй вариант (сливная линия):

Рmax=0,9 МПа; Qрх=2,510-5 м3/сек.

Для сливных линий принимаем =2 м/сек.

dн = 4+20,01 = 4,02 мм.

Выбираем трубопровод 82 ГОСТ 8734-75.

Соединение: 2 - 8 - К

Третий вариант (напорная линия):

А). Рmax=Рном=6,3 МПа., QБПв=20,4 л/мин=3,410-4 м3/сек.,

=3,2 м/сек.:

Выбираем трубопровод 141 ГОСТ 8734-75.

Соединение: 2 - 14 - К

Б). Рmax=Рном=6,3 МПа., QБОв=7,3 л/мин=1,2210-4 м3/сек.,

=3,2 м/сек.:

Выбираем трубопровод 100,6 ГОСТ 8734-75

Соединение: 2 - 10 - К

В). Рmax=Рном=6,3 МПа., QБон=10,2 л/мин=1,710-4 м3/сек.,

=3,2 м/сек.:

Выбираем трубопровод 100,6 ГОСТ 8734-75.

Соединение: 2 - 10 - К

Четвертый вариант (сливная линия):

А). Рmax=Рном=0,9 МПа., QБПв=3,4 л/мин=3,410-4 м3/сек.,

=2 м/сек.:

Выбираем трубопровод 181 ГОСТ 8734-75.

Соединение: 2 - 18 - К

Б). Рmax=Рном=0,9 МПа., QБОв=1,22 л/мин=1,2210-4 м3/сек.,

=2 м/сек.:

Выбираем трубопровод 120,6 ГОСТ 8734-75

Соединение: 2 - 12 - К

В). Рmax=Рном=0,9 МПа., QБОн=1,710-4 м3/сек.,

=2 м/сек.: