Рис 1.1.3 Эквивалентная схема емкостей МОП транзистора
Емкость изолятора находится как:
(1.1.26)
Где S-площадь.
Емкость обеднённого слоя находится как:
(1.1.27)
(1.1.28)
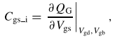
Емкость, которую вносит свободный заряд может быть определена как:
(1.1.29)
Сопротивление Rs это последовательное сопротивление нейтрального полупроводникового слоя и контактов.
Также на высоких частотах необходимо учитывать эффекты, которые отвечают за задержку. Это делается с помощью коэффициентов RGR и Cfc.
Модель MOS9. Данная модель описана в книге «Device Modelling for ANALOG and RF CMOS Circuit Design» [1]. Данная модель разработана компанией Philips. Данная модель работает с параметрами. Рассмотрим, как в этой модели учитываются высокочастотные эффекты.
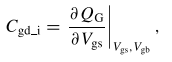
Для расчета емкостей используют зарядовые модели. Для определения заряда
для стока и истока используют следующие формулы:
(1.1.30)
(1.1.31)
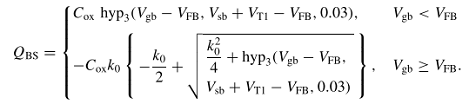
Для определения емкости затвора и емкости активной зоны, используются
формулы:
(1.1.32)
(1.1.32)
(1.1.33)
(1.1.34)
Где напряжение VFB:
(1.1.35)
Емкость COX:
(1.1.35)
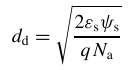
Внедрение емкости между областями находятся по формуле
(1.1.36)
(1.1.37)
(1.1.38)
Индекс i указывает, что это внутренние
емкости. Для учета полной емкости необходимо добавить дополнительную емкость перекрытия,
как показано ниже:
(1.1.39)
(1.1.40)
Эквивалентная емкостная схема представлена на рисунке 1.1.4
Рис. 1.1.4 Эквивалентная емкостная схема МОП транзистора
(1.1.41)
Вывод. В статье «A Comparative Study of Various MOSFET Models at Radio» [2] приводится сравнение моделей МОП транзистора. Результаты представлены в таблице 1.1.1.
Погрешность моделирования на высоких частотах измеряли с помощью S-параметров. МОП транзистор, который
изучался, был представлен как четырёхполюсник. Исток соединялся с землей, на
затвор подавался входной сигнал, а на стоке измерялся выходной сигнал. Ширина
МОП транзисторов лежала в пределах от 50 до 100 мкм, а длина 0.4, 0.6 и 0.8
мкм. Схема измерений S-параметров
представлена на рисунке 1.1.5. Общий вид установки приведен на рисунке 1.1.6.
Рис. 1.1.6 Схема измерения S-параметров
МОП транзистора
Рис. 1.1.6 Вид установки для измерения S-параметров
|
Погрешность % |
EKV |
Bsim3v3 |
MOS9 |
|
S11 амплитуда |
31 |
31.8 |
30.7 |
|
S11 угол |
11.1 |
13.4 |
9.9 |
|
S21 амплитуда |
10.8 |
12 |
14.3 |
|
S21 угол |
30 |
23.8 |
24.3 |
|
S12 амплитуда |
9.8 |
10.9 |
6.7 |
|
S12 угол |
7.3 |
8.5 |
6.4 |
|
S22 амплитуда |
21.2 |
17 |
27.5 |
|
S22 угол |
16.4 |
17.4 |
13.6 |
|
Средняя |
17.2 |
16.9 |
16.7 |
Как видим по средней погрешности, лучшей моделью оказалась MOS9, хотя модель BSIM3v3 отличается всего на 0.2%. Модель EKV показала худший результат, но результат хуже всего на 0.5 от модели MOS9. Видим что все модели дают хороший результат с погрешностью в районе 16%.
Если рассмотреть по отдельности каждый S параметр, то видим что конкретные погрешности для них могут сильно отличатся от средней. К примеру, при измерении погрешности амплитуды параметра S22 наихудший результат показала модель MOS9, а лучшим стала модель BSIM3v3.
Приходим к выводу, что на высоких частотах лучше всего пользоваться моделью MOS9, но использование других моделей также обосновано и не влечет за собой сильное уменьшение погрешности.

1.3.1


Keithley 2602. Данные взяты из технической документации [10]. Источник/Измеритель
KEITHLEY 2602 состоит из 6 1/2 разрядного прецизионного, высокостабильного
источника питания постоянного тока с высокоимпедансным мультиметром. Прибор
Keithley 2602 обладает высокой стабильностью, а также имеет высокий класс
точности. Также KEITHLEY 2602, имеет встроенный TSP (Test Script Processor)
процессор. Это позволяет увеличить пропускную способность и скорость прибора.
Островные характеристики приведены в таблице 2.1.1. Внешний вид генератора представлен
на рисунке 2.1.1.
Таблица 2.1.1 Основные характеристики Keithley 2602
Рис. 2.1.1 Внешний вид источника/измерителя Keithley 2602
ГСС 120. Для формирования высокочастотных сигналов использовался генератор сигналов специальной формы ГСС 120. Данный генератор может генерировать сигналы следующих типов: синус, пилообразный, прямоугольный, импульсный и другие. Основные характеристики генератора взяты из руководства по эксплуатации [11] и приведены в таблице 2.1.2. Внешний вид генератора представлен на рисунке 2.1.2.
Tektronix TDS 3032B. Для измерения входных и выходных
сигналов на высокочастотный усилитель использовался осциллограф TDS 3032B.
Осциллограф имеет два канала, что позволяет сразу снимать входной и выходной
сигнал. Основные характеристики осциллографа взяты из руководства по
эксплуатации [12] и приведены в таблице 2.1.2. Внешний вид генератора
представлен на рисунке 2.1.2.
Таблица 2.1.2. Основные параметры ГСС 120
Рис. 2.1.2. генератор сигналов специальной формы ГСС 120
Таблица 2.1.2. Основные параметры Tektronix TDS 3032B
Рис. 2.1.2. осциллограф Tektronix TDS 3032B
-73303D. Для подачи постоянного напряжения
смещения и питания использовался источник напряжения GPD-73303D. Источник имеет
два канала, которые плавно регулируются и дают возможность ограничивать
максимальный ток. Основные характеристики генератора постоянного напряжения
взяты из руководства по эксплуатации [13] и приведены в таблице 2.1.4. Внешний
вид представлен на рисунке 2.1.4.
Таблица 2.1.4 Основные характеристики GPD-73303D
|
Характеристики |
Значения |
|
Диапазон тока |
0...3 А |
|
Диапазон напряжения |
0...30В |
|
Нестабильность при изменении напряжения питания |
<0,01%+3 мВ |
|
Нестабильность при изменении тока нагрузки |
<0,01%+3 мВ |
Рис. 2.1.4. Внешний вид источника постоянного напряжения
Обзор-304/1. Для измерения динамических характеристик в данной работе будет использоваться векторный анализатор «Обзор-304/1». Описание прибора приведено в руководстве к пользованию [9]. Данный прибор с помощью USB кабеля соединяется с компьютером, а установленное программное обеспечение обрабатывает получаемый сигнал. На рисунке 2.1.5 представлен внешний вид векторного анализатора.
Данный прибор позволяет снимать одновременно четыре S-параметра. Данные полученные в
результате эксперимента могут быть представлены в виде: прямоугольных
координат, полярной диаграммы, либо диаграммы Вольперта - Смита.
Рис. 2.1.5 Векторный анализатор «Обзор-304/1»
При выведении информации в виде прямоугольных координат, по оси OX откладывается стимул, а по оси OY откладывается измерение,
преобразованное в определенный формат. S параметр является векторной величиной, поэтому для вывода на
экран её необходимо преобразовать в скалярную величину.
(2.1.1)
Существует несколько форматов, основные из них описаны в таблице 2.1.2.1. Для калибровки четырехполюсника используют двухпортовая модель ошибок. При этом появляется два графа воздействия измерения на итоговую ошибку. Первый граф относится к первому порту, а второй ко второму, рисунок 2.1.6.
Где: S11a, S21a, S12a, S22a - истинные значения S параметров;
S11m, S21m, S12m, S22m - измеренные значения S параметров;
Таблица 2.1.5
2.1.6 Сигнальные графы для двухпортового измерения ошибок
На результаты измерения влияют двенадцать систематических ошибок,
представленные в таблице 2.1.6
Таблица 2.1.6 Двенадцать систематических ошибок при измерении S параметров
Рис 2.1.7 Схема двухпортовой калибровки
Векторный анализатор автоматически устраняет эти ошибки и в результате калибровки появляется возможность мерить истинное значение S параметров. На рисунке 2.1.7 представлена схема двухпортовой колибровки, где КК - короткое замыкание, а ХХ - холостой ход.
Для автоматической калибровки применяются калибровочные модули, например,
модуль представленный на рисунке 2.1.8
Рис 2.1.8 Автоматический модуль для двухпортовой калибровки
Параметры, которые были установлены на приборе, калибровка, а также результаты измерений могут быть сохранены в следующих форматах: CSV, s2p, s1p, которые в дальнейшем могут быть использованы программными обеспечениями, например, Microwave Office.