Материал: Моделирование и изготовление высокочастотного усилителя на МОП транзисторе

Внимание! Если размещение файла нарушает Ваши авторские права, то обязательно сообщите нам

Моделирование и изготовление высокочастотного усилителя на МОП транзисторе

Оглавление

Введение

1.   Обзор литературы

1.1 Методы моделирования характеристик КМОП транзисторов с учетом высокочастотных эффектов

.2 Модели КМОП транзисторов для анализа схем с учетом высокочастотных эффектов

.3 Методы измерения характеристик КМОП транзисторов с учетом высокочастотных эффектов

2. Экспериментальная часть

2.1 Измерительное оборудование для измерений статичных и динамических параметров высокочастотных КМОП схем

.2 Программное обеспечение для моделирования и исследования высокочастотных схем

2.3 Описание тестового транзистора

.4 Измерение характеристик и параметров КМОП элемента

2.5 Проектирование высокочастотного усилителя на МОП транзисторе с использованием S-параметров

.6 Изготовление высокочастотного усилителя на МОП транзисторе и измерение его характеристик и параметров

2.7 Сравнение измеренных и рассчитанных характеристик усилителя на МОП транзисторе

Заключение (выводы)

Список литературы

Введение

высокочастотный усилитель транзистор

В настоящее время, многие электронные приборы работают на высоких и сверхвысоких частотах (до 1 ГГц). В связи с этим появляется потребность в быстродействующем транзисторе. Таким элементов является МОП транзистор, так как он имеет высокую скорость переключения и малую мощность потребления, что также является несомненным плюсом.

Проблемой моделирования высокочастотных схем и элементов занимались и занимаются многие ученные. Например, Ali M. Niknejad из Калифорнийского университета в Беркли, Trond Ytterdal из Норвежского университета науки и технологий.

Объектом исследования дипломной работы являются высокочастотные КМОП схемы. Предметом исследования являются моделирование и исследование высокочастотного усилителя на МОП транзисторе.

Целью дипломной работы является моделирование и изготовление высокочастотного усилителя на МОП транзисторе, а также сравнение теоретических и экспериментальных данных, полученных в результате проектирования усилителя.

Задание на дипломную работу:

. Обзор литературы по высокочастотным эффектам в элементах КМОП схем и методам их исследования

. измерение статических и динамических характеристик и параметров элементов КМОП схем

. Определение параметров моделей элементов КМОП схем с учетом высокочастотных эффектов

. моделирование характеристик высокочастотных элементов и фрагментов КМОП схем с использованием SPICE - моделей

. моделирование характеристик высокочастотных элементов и фрагментов КМОП схем с использованием S-параметров

1.       Обзор литературы


Высокочастотное моделирование является актуальной темой в настоящее время. На данную тему посвящено много статей и книг. В книге «Device Modelling for ANALOG and RF CMOS Circuit Design» [1] автор Trond Ytterdal описывает процесс моделирования КМОП схем, а высоких частотах. Также приводится описание моделей МОП транзисторов, описываются эффекты в МОП транзисторах, возникающих на высоких частотах.

В статье «A Comparative Study of Various MOSFET Models at Radio» [2] авторы проводят эксперимент с целью определения наиболее точно модели КМОП транзистора на высоких частотах. В данной работе исследуются такие модели как: BSIM 3v3, EKV, MOS9, LEVEL 3.

В статье «A High-Frequency MOS Transistor Model and its Effects on Radio-Frequency Circuits» [3] авторы описывают эффекты, возникающие в МОП транзисторах на высоких частотах и проверяют экспериментально степень влияния данных эффектов.

На сайте калифорнийского университета “Berkley” #"902724.files/image001.gif">

Рис 1.1.1 Упрощенная модель для с схем с малым сигналом. Собственные узлы устройства представлены обведенными в круг

Рассмотрим поведение S параметров в схемах с переменным током, основываясь на схеме на рисунке 1.1.1. Самый главный фактор влияющий на коэффициент S11 падающей волны является входное сопротивление Rin, которая формируется с основном за счет сопротивления затвора Rg и входной емкости Cin, которая является суммой емкостей Cgd, Cgs, Cgb.. Емкость Cin найдена как:

(1.1.1)

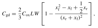
где: COX емкость оксида;и Leff эффективная ширина и длина затвора соответственно.

Индекс «0» указывает на нулевое смещение. С другой стороны, в области насыщения Cin может быть найдена как:

(1.1.2)

С помощью Rin и Cin параметр S11 может быть выражен как

(1.1.3)

где: Z0 базовый импеданс (обычно 50 Ом). Уравнение (1.1.3) хорошо описывает параметр S11 на частотах в несколько ГГц, в случае с типовыми высокочастотными транзисторами. В области отсечки уравнение (1.1.3) корректно даже на частотах в десятки ГГц. Так же следует учитывать, что при увеличении частоты, эффект, вызываемый объемным сопротивлением, становится значительным. Из уравнения (1.1.3) можно также увидеть, что при низких частотах S11 приближается к нулю.

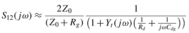
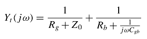
Наиболее важным компонентом, влияющим на S-параметр S12, является Cdg. Приближенная формула для вычисления S12 может быть получена в области насыщения и в области отсечки как:

(1.1.4)

где Cdg ≈ Cdg0

Адмиттанс Yt может быть найден как

(1.1.5)

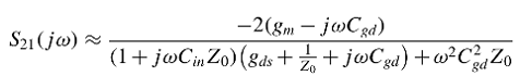
-параметр S21 наиболее значительно зависит от области смещения. Для типичных высокочастотных МОП транзисторов можно воспользоватся упрощением: Rs=Rd=Rg=0. Следовательно S21 может приближенно равна:

(1.1.6)

Уравнение (1.1.6) для типичных высокочастотных МОП транзисторов справедлива вплоть до 1-2 ГГц и даже выше. Также следует отметить, что в схеме на рисунке 1.1.1 емкость Cgd не взаимообратное, поэтому параметры S12 и S21 считаются по-разному. При малых сигналах модели с взаимообратной емкостью Cgd, не могут одновременно точно реализовать параметры S12 и S21. Емкость Cdg практически эквивалентно к емкости Cgd0 при насыщении, и является намного меньшим, чем Cgd. Это является причиной, почему емкость Cdg не может быть использована в уравнении (1.1.6) так как это бы привело к недооценке прямой связи между затвором и стоком.

Наконец параметр S22 может быть найден с помощью параметра y22, который может быть найдет как:

(1.1.7)

Из уравнения (1.1.7) как это видно, на высоких частотах параметр y22 также как S22 определяются с помощью последовательных сопротивлений и проводимости gds, которая является наиболее доминирующим фактором. На низких частотах уравнение (1.1.7) точна только если Rs и gm очень маленькие, но если это условие выполняется, то формула точна на частотах в несколько ГГц для типовых МОП транзисторов.

Аналитические выражения могут быть получены только с помощью аппроксимации и в основном описывают поведение S-параметров МОП транзисторов в схемах с переменным током. С целью сравнения экспериментально полученных данных моделей МОП транзисторов на всем диапазоне исследуемых частот необходимо использовать инструменты симуляции, которые предоставляются системами проектирования схем.

В книге «Device Modelling for ANALOG and RF CMOS Circuit Design» [1] рассмотрено какие паразитные емкости возникают в МОП транзисторах на высоких частотах. На рисунке 1.1.2 представлены паразитные емкости. Рассмотрим все компоненты, на которые можно разделить паразитные емкости:

1.       CFO - внешняя ёмкость между поликремнием затвора и стоком\истоком;

2.       CFI - внутренняя ёмкость между поликремнием затвора и стоком/истоком;

3.       CDO/CSO емкость перекрытия между поликремнием затвора и сильно легированными областями стока/истока соответственно, которые не зависят от смещения затвора;

4.       CDOL/CSOL емкость перекрытия между поликремнием затвора и слабо легированными областями стока/истока соответственно, которые зависят от смещения затвора;

.        CJD / CJS емкость стокового/истокового перехода;

6.       Csub емкость подложки;

7.       CFI емкость между затвором и границей между каналом и стоком/истоком;

8.       CGSI/CGDI емкость между затвором и канатом истокока/стока;

9.       CGBI внутренняя емкость между затвором и подложкой;

10.     CGBO внешняя емкость между затвором и подложкой.

Рис. 1.1.2 Паразитные емкости в МОП транзисторах на высоких частотах.

1.2 Модели КМОП транзисторов для анализа схем с учетом высокочастотных эффектов


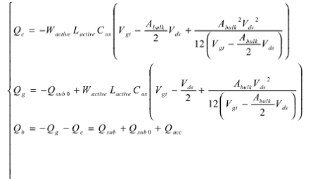
Модель BSIM 3v3. Данная модель описана в книге «Device Modelling for ANALOG and RF CMOS Circuit Design» [1]. Модели bsim совершили большой скачок в сложности скачок по сравнению с его предшественниками. BSIM представляет модель, состоящую из внутренней структуры и внешней структуры для описания геометрии транзистора. Модели bsim также стали использовать полиномные выражения. С помощью этого появилась возможность более точно моделировать емкости каналов, а также других параметров. Рассмотрим емкостную модели bsim МОП транзистора. Для определения емкости используются три фундаментальных параметра: заряд на затворе QG, заряд объемных слоев QB, заряд в области канала QINV. Существуют следующие зависимости в МОП транзисторах:

 (1.1.1)

Где QD и QS - заряды канала, связанные с областями стока и истока, соответственно.

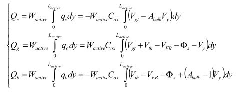
Емкость между двумя любыми из четырех областей (исток S, сток D, затвор G и собственный объем области B) может быть найден как:

 (1.1.2)

 (1.1.3)

Где V - напряжение между областями. Поэтому для емкостной модели необходима зарядовая модель транзистора.

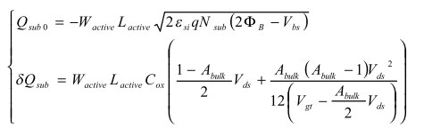
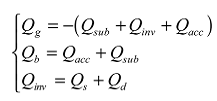
Накопленный заряд и заряд на подложке, который возникает при прохождении заряда по каналу может быть подсчитан как:

 (1.1.4)

Где Qacc - накопленный заряд, Qsub - заряд, связанный с подложкой.

Заряд на подложке может быть разделен на два компонента - заряд на подложке при нулевом смещении между стоком и истоком (Qsub0) и переменным зарядом (dQsub). Теперь заряд на затворе можно представить в виде:

 (1.1.5)

Для определения прошедшего заряда необходимо проинтегрировать заряд вдоль всего канала. При этом пороговое напряжение модифицировано с помощью неоднородного заряда на подложке:

 (1.1.6)

Следовательно, заряд можно найти из следующей систем уравнений:

 (1.1.7)

Подставляя формулы  (1.1.8) и

(1.1.9)

В уравнение 1.1.7 и проинтегрировав получаем сисему:

(1.1.10)

(1.1.11)

Используя эти формулы можно найти все емкости с помощью формул 1.1.2 и 1.1.3 [7]

На высоких частотах необходимо включить сопротивление в затворе. В bsim данное условие может быть выполнено при включении rgateMod. На рисунке 1.1.1 представлена эквивалентная схема данного дополнения.

Сопротивление Rgeltd может быть найдено как:

 (1.1.12)

Рис. 1.1.1 Модель с добавленными узлами для учета эффектов на затворе при rgateMod = 3

На высоких частотах сигнал, который уходит на подложку должен быть также учтен. Для учета этого эффекта необходимо использовать параметр rbodyMod. Эквивалентная схема показана на рисунке 1.1.1.

Рис. 1.1.2 пяти-резистивная модель работы подложки

Также к каждому сопротивлению включается параллельно емкость GBMIN для учета нелинейности сопротивлений, возжигаемых в процессе моделирования. Iii - ударный ток ионизации, IGIDL - GIDL ток [3].

Модель EKV Модель описана в книге «Device Modelling for ANALOG and RF CMOS Circuit Design». Данная модель была разработана С. Энцем, Ф. Круменахером и Е. Виттосом и является математической моделью МОП-транзистора. Данная модель входит в состав многих схемотехнических пакетов. Рассмотрим какие динамические параметры необходимо учитывать для работы с данной моделью. В первую очередь необходимо выяснить как эта модель учитывает емкостные эффекты.

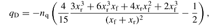
Для того чтобы учесть емкостные эффекты необходимо знать уравнения для определения зарядов. Начальной точкой для определения заряда является коэффициент наклона nq. Оно определяется как:

 (1.1.13)

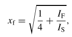
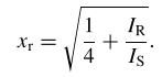
Для того, чтобы разделить общий заряд на составляющие между истоком и стоком, можно воспользоваться следующими уравнениями:

 (1.1.14)

 (1.1.15)

Из этих коэффициентов можно теперь получить нормированные заряды стока и истока:

 (1.1.16)

 (1.1.17)

Общий нормализированный заряд получается как сумма стокового и истокового заряда:

 (1.1.18)

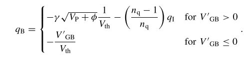
Объемный заряд в этой модели учитывается как:

(1.1.19)

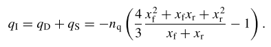
Для выполнения закона сохранения заряда вводят нормированный заряд затвора, который является отрицательным, и рассчитывается как сумма:

 (1.1.20)

Для нахождения зарядов, в различных областях используют нормализированный заряд, а геометрические параметры области:

 (1.1.21)

 (1.1.21)

 (1.1.21)

 (1.1.21)

 (1.1.21)

Внутреннее сопротивление теперь может быть найдено как:

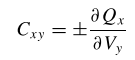
 (1.1.22)

Где x, y = B, D, G, S. Знак плюс используют, когда x=y, в противном случае берется отрицательный знак.

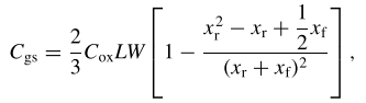
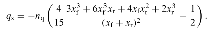
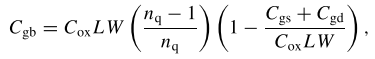
Таким образом получаем емкости:

 (1.1.22)

 (1.1.23)

 (1.1.24)

 (1.1.25)

 (1.1.25)

Внешние емкости также учитываются, и эквивалентная схема представлена на рисунке 1.1.3