Материал: Методы проектирования линейно-функциональных структур

Внимание! Если размещение файла нарушает Ваши авторские права, то обязательно сообщите нам

С точки зрения "топографии" организационное пространство может быть распределено: географически (цеха, отделы...), функционально (каменщик, нормировщик...), статусно (рабочие, служащие, руководители...) и иерархически (начальник отдела, директор завода...).

Основные типы организационных структур мы рассмотрели выше, сейчас же обсудим наиболее эффективные из них.

Линейная организационная структура - основной проблемой, свойственной этому типу структуры, принято считать ограничения, задаваемые диапазоном контроля, который определяется качественными и количественными характеристиками связей, непосредственно "замыкаемых" на руководителе. С точки зрения качественных характеристик речь идет о содержании и направлениях информационных потоков между руководителем и подчиненными, которые могут быть не только односторонними или двусторонними (параметр направления), но и регулятивными, информационными и проблемными (параметр содержания).

Количественные характеристики связей в большей степени, чем качественные, поддаются измерению.

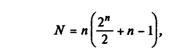
По мнению ряда исследователей, может быть использована следующая формула расчета связей в подразделении:


Формула 1.1.

где n- число подчиненных, N - число связей.

Количество всех возможных отношений, в которые вступает руководитель со своими подчиненными, рассчитанное по этой формуле, из которой следует, что принципиальное изменение количества отношений руководителя с подчиненными происходит при увеличении числа подчиненных с одного до двух.

Можно различать три вида связей между руководителем и более чем одним подчиненным: прямые, групповые и перекрестные.

В зависимости от соотношения количества иерархических уровней к общему числу работников линейные организационные структуры могут быть "плоскими" или "высокими".

Однако, отдавая предпочтение тому или иному типу линейной структуры, необходимо исходить из следующих параметров проектируемой организации:

сфера контроля над деятельностью подчиненных, которую предполагается возложить на руководителя (широкая, включающая все виды активности подчиненных, или специализированная по направлениям деятельности, узкая);

уровень взаимосвязи между подразделениями (высокая интенсивность взаимодействия и обмена информацией или низкая);

степень неопределенности задач, решаемых структурой (низкая, когда решения известны и пути достижения целей алгоритмизированы, или высокая);

Ответы на эти вопросы могут служить основанием для выбора типа линейной организационной структуры.

.2 Методы проектирования организационных структур управления

До последнего времени методы построения управления характеризовались чрезмерно нормативным характером, недостаточным разнообразием, что приводило к механическому переносу применявшихся в прошлом организационных форм в новые условия. Нередко аппарат управления на самых разных уровнях повторял одни и те же схемы. С научной точки зрения слишком узкую трактовку получали сами исходные факторы формирования структур: численность персонала вместо целей организаций; постоянный набор органов вместо изменения их состава и комбинации в разных условиях.

Одним из главных недостатков применявшихся методик являлась их функциональная ориентация, строгая регламентация процессов управления, а не их результатов. Поэтому цели и взаимосвязи различных звеньев системы управления приобретают более важное значение, чем строгое установление их функциональной специализации. Это особенно отчётливо проявляется при решении проблем, связанных с созданием корпораций, АО, финансово-промышленных групп, заказов и договоров запросам потребителей, с комплексным решением проблем качества продукции.

Системный подход, придавая важное значение научно обоснованному определению функции управления и нормативов численности как части общего процесса формирования организационно-управленческой структуры, ориентирует исследователей и разработчиков на более общие принципы проектирования организаций. Т.е. он предполагает исходное определение системы целей организации, которые обусловливают структуру задач и содержание функций аппарата управления.

Основное назначение большинства производственных организаций с точки зрения общества определяется целями удовлетворения рыночной потребности в производимой продукции и услугах. Вместе с тем соответствие между системой целей и организационной структурой управления не может быть однозначным.

В единой системе должны рассматриваться и различные методы формирования организационных структур управления. Эти методы имеют различную природу, каждый из них в отдельности не позволяет решить все практически важные проблемы и должен применяться в органическом сочетании с другими.

Эффективность построения организационной структуры не может быть оценена каким-либо одним показателем. С одной стороны, здесь следует учитывать, насколько структура обеспечивает достижения организацией результатов, соответствующих поставленным перед ней производственно-хозяйственным целям, с другой - насколько её внутреннее построение и процессы функционирования адекватны объективным требованиям к их содержанию, организации и свойствам.

Конечным критерием эффективности при сравнении различных вариантов организационной структуры является наиболее полное и устойчивое достижение целей. Однако довести этот критерий до практически применимых простых показателей, как правило, чрезвычайно трудно. Поэтому целесообразно использовать набор нормативных характеристик аппарата управления: его производительность при переработке информации; оперативность принятия управленческих решений; надёжность аппарата управления; адаптивность и гибкость. При возникновении проблем необходимо формулировать численность персонала как критерий экономической эффективности, в соответствии с которым должна быть обеспечена максимизация результатов по отношению к затратам на управление. Численность аппарата управления должна быть объективно обоснованной для того, чтобы во всей полноте обеспечить решение задач, вытекающих из целей организационной системы.

Процесс формирования организационной структуры включает в себя формулировку целей и задач, определение состава и место подразделений, их ресурсное обеспечение (включая численность работающих), разработку регламентирующих процедур, документов, положений, закрепляющих и регулирующих формы, методы, процессы, которые осуществляются в организационной системе управления.

Весь этот процесс можно организовать по трем крупным стадиям:

) формирование общей структурной схемы во всех случаях имеет принципиальное значение, поскольку при этом определяются главные характеристики организации, а также направления, по которым должно быть осуществлено более углублённое проектирование, как организационной структуры, так и др. важнейших аспектов системы (способность переработки информации);

) разработка состава основных подразделений и связей между ними - заключается в том, что предусматривается реализация организационных решений не только в целом по крупным линейно-функциональным и программно-целевым блокам, но и вплоть до самостоятельных (базовых) подразделений аппарата управления, распределения конкретных задач между ними и построения внутриорганизационных связей. Под базовыми подразделениями понимаются самостоятельные структурные единицы (отделы, бюро, управления, сектора, лаборатории), на которые организационно разделяются линейно-функциональные и программно-целевые подсистемы. Базовые подразделения могут иметь свою внутреннюю структуру;

) регламентация организационной структуры - предусматривает разработку количественных характеристик аппарата управления и процедур управленческой деятельности. Она включает: определение состава внутренних элементов базовых подразделений (бюро, групп и должностей); определение проектной численности подразделений; распределение задач и работ между конкретными исполнителями; установление ответственности за их выполнение; разработку процедур выполнения управленческих работ в подразделениях; расчёты затрат на управление и показателей эффективности аппарата управления в условиях проектированной организационной структуры.

Когда требуется взаимодействие многих звеньев и уровней управления, разрабатываются специфические документы, которые называются - органиграммами.

Органиграмма представляет собой графическую интерпретацию процесса выполнения управленческих функций, их этапов и входящих в них работ, описывающую распределение организационных процедур разработки и принятия решения между подразделениями, их внутренними структурными органами и отдельными работниками. Построение органиграммы позволяет увязать процесс рационализации технологических маршрутов и информационных потоков с упорядочением взаимосвязей между структурными элементами систем управления, возникающими при организации согласованного выполнения её задач и функций. Они фиксируют лишь организацию управленческого процесса в виде распределения полномочий и ответственности за обеспечение, разработку и принятие управленческих решений.

Методы сочетают в себе как технологические, экономические, информационные, административно-организационные взаимодействия, которые поддаются непосредственному анализу и рациональному проектированию, так и социально-психологические характеристики и связи.

Специфика проблемы проектирования организационной структуры управления состоит в том, что она не может быть адекватно представлена в виде задачи формального выбора наилучшего варианта организационной структуры по чётко сформулированному, однозначному, математически выраженному критерию оптимальности. Это - количественно-качественная, многокритериальная проблема, решаемая на основе сочетания научных, в том числе формализованных, методов анализа, оценки, моделирования организационных систем с субъективной деятельностью ответственных руководителей, специалистов и экспертов по выбору и оценке наилучших вариантов организационных решений.

Процесс организационного проектирования состоит в последовательности приближения к модели рациональной структуры управления, в котором методы проектирования играют вспомогательную роль при рассмотрении, оценки и принятия к практической реализации наиболее эффективных вариантов организационных решений.

Существуют взаимодополняющие методы:

) метод аналогий состоит в применении организационных форм и механизмов управления, по отношению к проектируемой организации. К методу аналогий относится выработка типовых структур управления производственно-хозяйственных организаций и определение границ и условий их применения.

Использование метода аналогий основано на двух взаимодополняющих подходах. Первый из них заключается в выявлении для каждого типа производственно-хозяйственных организаций и для различных отраслей значений и тенденций изменения главных организационных характеристик и соответствующих им организационных форм и механизмов управления. Второй подход представляет типизацию наиболее общих принципиальных решений о характере и взаимоотношений звеньев аппарата управления и отдельных должностей в чётко определённых условиях работы организаций данного типа в конкретных отраслях, а также разработку отдельных нормативных характеристик аппарата управления для этих организаций и отраслей.

) типизация решений является средством повышения общего уровня организации управления производством. Типовые организационные решения должны быть, во-первых, вариантными, а не однозначными, во-вторых, пересматриваемыми и корректируемыми с регулярной периодичностью и, допускающими отклонения в случаях, когда условия работы организации отливаются от чётко сформулированных условий, для которых рекомендуется соответствующая типовая форма организационной структуры управления.

) экспертно-аналитический метод состоит в обследовании и аналитическом изучении организации силами квалифицированных специалистов с привлечением её руководителей и других работников для того, чтобы выявить специфические особенности, проблемы в работе аппарата управления, а также выработать рациональные рекомендации по его формированию или перестройке, исходя из количественных оценок эффективности оргструктуры, рациональных принципов управления, заключений экспертов, а также обобщения и анализа наиболее передовых тенденций в области организации управления. Сюда относится и проведение экспертных опросов руководителей и членов организации для выявления и анализа отдельных характеристик построения и функционирования аппарата управления, обработка полученных экспертных оценок статистико-математическими методами.

) к экспертным методам следует отнести также разработку и применения научных принципов формирования организационных структур управления. Принципы формирования организационных структур управления являются конкретизацией более общих принципов управления (например, единоначалия или коллективного руководства, специализации). Примеры формирования организационных структур управления: построение организационной структуры исходя из системы целей, отделение стратегических и координационных функций от оперативного управления, сочетание функционального и программно-целевого управления и целый ряд других.

Особое место среди экспертных методов занимает разработка графических и табличных описаний организационных структур и процессов управления, отражающих рекомендации по их наилучшей организации. Этому предшествует разработка вариантов организационных решений, направленных на устранение выявленных организационных проблем, отвечающих научным принципам и передовому опыту организации управления, а также требуемому уровню количественно-качественных критериев оценки эффективности организационных структур.

) метод структуризации целей предусматривает выработку системы целей организации, включая их количественную и качественную формулировки. При его использовании чаще всего выполняются следующие этапы:

разработка системы (дерева) целей, представляющей собой структурную основу для увязки всех видов организационной деятельности исходя из конечных результатов;

экспертный анализ предлагаемых вариантов организационной структуры с точки зрения организационной обеспеченности достижения каждой из целей, соблюдения принципа однородности целей, устанавливаемых каждому подразделению, определения отношений руководства, подчинения, кооперации подразделений исходя из взаимосвязей их целей и т.п.;

составление карт прав и ответственности за достижение целей для отдельных подразделений, так и по комплексным межфункциональным видам деятельности, где регламентируется сфера ответственности (продукция, ресурсы, рабочая сила, информация, производственные и управленческие ресурсы);конкретные результаты, за достижения которые устанавливается ответственность; права, которыми наделяется для достижения результатов (согласовать, подтверждать, контролировать).

) метод организационного моделирования представляет собой разработку формализованных математических, графических, машинных и других отображений распределения полномочий и ответственности в организации, являющихся базой для построения, анализа и оценки различных вариантов организационных структур по взаимосвязи их переменных.

Можно назвать несколько основных типов организационных моделей:

математико-кибернетические модели иерархических управленческих структур, описывающие организационные связи и отношения в виде систем математических уравнений и неравенств;

графоаналитические модели организационных систем, представляющие собой сетевые, матричные и другие табличные и графические отображения распределения функций, полномочий, ответственности, организационных связей. Они дают возможность анализировать их направленность, характер, причины возникновения, оценивать различные варианты группировки взаимосвязанных видов деятельности в однородные подразделения, "проигрывать" варианты распределение прав и ответственности между разными уровнями руководства и т.п. Примерами могут служить "метасхемные" описания материальных, информационных, денежных потоков совместно с управленческими действиями;