Материал: metodicheskie_ukazaniya_po_proektirovaniyu_zemlyanogo_polotna_na_slabykh

Внимание! Если размещение файла нарушает Ваши авторские права, то обязательно сообщите нам

База нормативной документации: www.complexdoc.ru

Рис. 23. Насыпь на болотах I и II типов с частичным выторфовыванием

Рис. 24. Насыпь на болотах II и III типов с посадкой на минеральное дно

Рис. 25. Насыпь на болотах I и II типов без выторфовывания

111. При сооружении дорог IV - V категорий на болотах со сплавиной разрешается оставлять сплавинную корку под насыпью при обеспечении минимальной толщины насыпного слоя и соответствии с табл. 7.

На дорогах III - V категорий бермы (см. рис. 24) могут не устраиваться.

112. Типовой поперечный профиль (рис. 25) можно применять на дорогах всех категорий при любой мощности слабой толщи в тех случаях, когда решено полностью использовать слабый грунт в основании насыпи. Элементы верхней части земляного полотна

81

База нормативной документации: www.complexdoc.ru

принимают в зависимости от высоты насыпи по СНиП II-Д.5-62. Размеры нижней части устанавливают по расчету, а очертание - в виде трапеции с меньшим основанием, равным ширине земляного полотна поверху.

113.Типовой поперечный профиль (рис. 26) применяется на болотах I и II типов глубиной до 3 м. Расстояние между прорезями

ичисло прорезей определяют расчетом. Ориентировочно можно принимать: при ширине земляного полотна 8 м - 3 - 4 прорези, при ширине 10 - 12 м - 4 - 5 прорезей. Очертание верхней части насыпи - в соответствии с требованиями СНиП II-Д.5-62. Величина осадки определяется по расчету. Очертание нижней части насыпи принимается в виде трапеции с меньшим основанием, равным ширине земляного полотна поверху.

114.Типовой поперечный профиль (рис. 27) применяется на болотах I и II типов при глубине болот от 3 до 6 м. Расстояние между дренами, их число и размеры определяются расчетом. Ориентировочно можно принимать диаметр дрен 0,3 - 0,4 м и расстояние между ними 2 - 3 м. Очертание верхней части насыпи принимается в соответствии с требованиями СНиП II-Д.5. Величину осадки определяют расчетом. Очертание нижней части насыпи принимается в виде трапеции с меньшим основанием, равным ширине земляного полотна поверху. Дрены располагают в шахматном порядке.

115.На дорогах V категории и на временных подъездных путях можно применять типовые конструкции земляного полотна, предусматривающие устройство сланей (жестких настилов). Для постоянных и временных дорог и подъездных путей при однополосном и двухполосном движении также применяются типовые конструкции (рис. 28 - 30).

З е м л я н о е п о л о т н о а в т о м о б и л ь н ы х д о р о г н а

мо к р ы х с о л о н ч а к а х

116.Типовые поперечные профили земляного полотна, представленные на рис. 31, а и б применяются при высоте насыпи до 3 м на мокрых солончаках типа IA при наличии верхнего более сухого слоя грунта. Конструкции типа б применяются при необеспеченном водоотводе. Они отличаются от конструкций на обычных солончаках (см. ВСН 97-63) малой глубиной резервов (20

-40 см), ограничиваемой уровнем грунтовых вод и влажностью грунта.

82

База нормативной документации: www.complexdoc.ru

При удовлетворительной проходимости мокрого солончака I типа для гусеничных машин насыпь можно возводить из боковых резервов, а при отсутствии сухого грунта - из переувлажненных грунтов. В этом случае, чтобы достигнуть необходимого уплотнения, грунт осушают до допустимой влажности путем естественного подсушивания, устраивают поглощающие прослойки из песка или применяют химические добавки.

Рис. 26. Насыпь на болотах I и III типов глубиной до 3 м с дренажными прорезями

Рис. 27. Насыпь на болотах I и II типов глубиной до 6 м с вертикальными дренами

83

База нормативной документации: www.complexdoc.ru

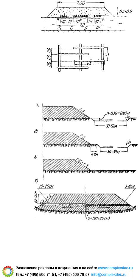
Рис. 28. Земляное полотно на сплошном деревянном настиле. Конструкция для постоянных дорог

Рис. 29. Земляное полотно на жестком колейном настиле для временных дорог и подъездных путей при однополосном движении:

1 - поперечины; 2 - подкладки; 3 - продольные лежни; 4 - колейный настил

84

База нормативной документации: www.complexdoc.ru

Рис. 30. Земляное полотно на жестком колейном настиле (для временных дорог и подъездных путей при двухполосном движении)

Рис. 31. Рекомендуемые поперечные профили земляного полотна на мокрых солончаках:

а - при высоте насыпи до 3 м на мокрых солончаках типа IA и наличии верхнего более сухого слоя грунта; б - то же при необеспеченном водоотводе; в - то же,

85