Материал: metodicheskie_ukazaniya_po_proektirovaniyu_zemlyanogo_polotna_na_slabykh

Внимание! Если размещение файла нарушает Ваши авторские права, то обязательно сообщите нам

База нормативной документации: www.complexdoc.ru

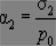
Рис. 12. Графики значений при

251

База нормативной документации: www.complexdoc.ru

Рис. 13. Графики значений при

252

База нормативной документации: www.complexdoc.ru

Рис. 14. Графики значений при

Рис. 15. Графики значений при

253

База нормативной документации: www.complexdoc.ru

Рис. 16. Графики значений при

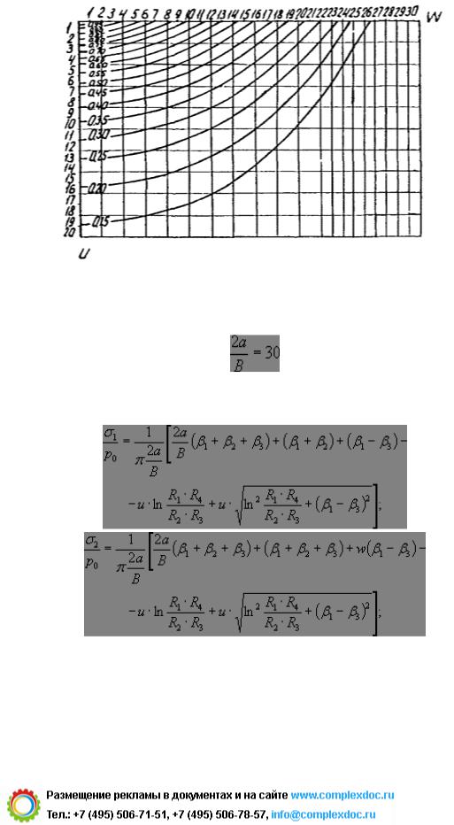
Для определения главных напряжений при составлении графиков использованы следующие выражения:

(смысл величин а, В, Ri и bi ясен из рисунка).

Для оси симметрии w = 0 по графикам могут быть определены значения вертикального и горизонтального нормальных напряжений.

254

База нормативной документации: www.complexdoc.ru

ИСПОЛЬЗОВАННАЯ

ЛИТЕРАТУРА

1. А к р о й д Т. Лабораторные испытания грунтов в строительстве. М., Автотрансиздат, 1959.

2.Альбом типовых поперечных профилей земляного полотна вновь строящихся железных дорог колеи 1524 мм общей сети Союза ССР. М., Moсгипротранс, ЦНИИ МПС, 1964.

3.Альбом типовых поперечных профилей земляного полотна вторых путей железных дорог колеи 1524 мм общей сети Союза ССР. Проект. М., Мосгипротранс, 1965.

4.Арсеньев А.А., Гайдук В.А., Кузнецова Я.П. Постройка дорог облегченного типа на болотах. М., Дориздат, 1942.

5.Арсеньев А.А. Проектирование устойчивых насыпей на болотах для дорог с покрытиями различного типа. В сб. «Исследование деформации полотна автомобильных дорог». М., Дориздат, 1947.

6.Атлас растительных остатков, встречаемых в торфе. Под ред. С.Н. Тюремнова. М., Госэнергоиздат, 1959.

7.Бабков В.Ф., Гербурт -Гейбович А.В. Основы грунтоведения и механика грунтов. М., Автотрансиздат, 1956.

8.Баркан Д.Д. Экспериментальные исследования сотрясений грунта, вызываемых паровозом. Инженерный сборник института механики. АН СССР, т. III, вып. I, 1946.

9.Березанцев В.Г. и др. Механика грунтов, основания и фундаменты. М., Трансжелдориздат, 1961.

10.Бируля А.К. Проектирование автомобильных дорог, ч. 1. М., Автотрансиздат, 1961.

11.Викторов И.И. О дальнейшем усовершенствовании основных требований к проектированию железнодорожных насыпей на болотах. В сб. «Проектирование и сооружение

255