Материал: mekhatronika_UrGUPS

Внимание! Если размещение файла нарушает Ваши авторские права, то обязательно сообщите нам

Итак, CALS-технологии призваны, в конечном счете, повысить эффективность создания и использования сложной техники (в том числе мехатронных систем). В чем выражается повышение эффективности?

Во-первых, улучшается качество изделий за счет более плотного учета имеющейся информации при проектировании и принятии управленческих решений. Так, обоснованность решений, принимаемых в автоматизированной системе управления предприятием (АСУП), будет выше, если лицо, принимающее решение, и соответствующие программы АСУП имеют оперативный доступ не только к базе данных АСУП, но и к базам данных других автоматизированных систем – системам автоматизированного проектирования (САПР), автоматизированной системе технологической подготовки производства (АСТПП) и автоматизированной системе управления технологическими процессами (АСУТП), и, следовательно, могут оптимизировать планы работ, содержание заявок, распределение исполнителей, выделение финансов и т. п. Под оперативным доступом необходимо понимать не просто возможность считывания данных из баз данных, но и легкость их правильной интерпретации, т. е. согласованность по синтаксису и семантике с протоколами, принятыми в АСУП. То же относится и к другим системам, например, технологические подсистемы должны с необходимостью воспринимать и правильно интерпретировать данные, поступающие от подсистем автоматизированного конструирования. Последнего не так легко добиться, если основное предприятие и организации-смежники работают с разными автоматизированными системами.

Во-вторых, сокращаются материальные и временные затраты на проектирование и изготовление изделий. Применение CALS- технологий позволяет существенно сократить объемы проектных работ, так как описания ранее выполненных удачных разработок компонентов и устройств, многих составных частей оборудования, машин и систем, проектировавшихся ранее, хранятся в базах данных сетевых серверов, доступных любому пользователю CALS технологий. Доступность опять же обеспечивается согласованностью форматов, способов, руководств в разных частях общей интегрированной системы. Кроме того, появляются более широкие возможности для специализации предприятий, вплоть до создания виртуальных предприятий, что также способствует снижению затрат.

В-третьих, значительно снижаются затраты на эксплуатацию благодаря реализации функций интегрирования логистической поддерж-

51

ки. Существенно облегчается решение проблем ремонтопригодности, интеграции продукции в различного рода системы и среды, адаптации к меняющимся условиям эксплуатации и т. п.

Выше было отмечено, что для реализации CALS-технологий необходимо обеспечить единообразное описание и интерпретацию данных, независимо от места и времени их получения в общей системе, имеющей масштабы вплоть до глобальных. Это единообразие достигается за счет разработки системы CALS-стандартов, созданных под эгидой ISO (International Standard Organization) – международной организации стандартизации. Центральное место в системе CALS-стандартов занимает ISO 10303 под названием STEP (Standard for Exchange of Product Data – стандарт для обмена данными о промышленных изделиях), определяющий средства описания (моделирования) промышленных изделий на всех стадиях их ЖЦ. Для этого был разработан инвариантный к приложениям язык Express, введенный в STEP. Совокупность стандартов STEP составляет основу CALS-технологий.

STEP – это совокупность стандартов, состоящих из нескольких томов. Тома имеют свои номера и обозначаются как «часть » или ISO 10303-. К настоящему времени разработано более сотни томов. Стандарты ISO 10303 определяют средства описания (моделирования) промышленных изделий на всех этапах их ЖЦ.

Том 1 (ISO 10303-1) – вводный стандарт, выполняющий роль аннотаций всей совокупности томов. В этом стандарте вводится ряд терминов, используемых в других стандартах, например, таких как продукт (product), приложение (application), проектные данные (product data), модель (model), модели AAM, AIM, ARM, прикладной протокол (AP), интегрированный ресурс (integrated resource), элемент функциональности (unit of functionality UoF).

Тома 11–14 – методы описания (description methods).

Тома 21–29 – методы реализации (implementation methods).

Тома 31–35 – основы тестирования моделей (conformance testing

methodology and framework).

Тома 41–50 – интегрированные основные ресурсы (integrated ge-

neric resources).

Тома 101–108 – интегрированные прикладные ресурсы (integrat-

ed application resources).

Тома 201–236 – прикладные протоколы (application protocols). Тома 301–332 – абстрактные тестовые наборы (abstract test suites). Тома 501–520 – прикладные компоненты (application interpreted

constructs).

52

Ряд томов переведен на русский язык и представлен в виде национальных стандартов России. Это, например, ГОСТ Р ИСО 10303-1- 99, посвященный обзору и основополагающим принципам STEP, ГОСТ Р ИСО 10303-11-99 – справочное руководство по языку Express, ГОСТ Р ИСО 10303-21-99 – то же по обменному файлу, ГОСТ Р ИСО 10303-41-99 – описание интегрированных родовых ресурсов. Перечисленные документы соответствуют стандартам ISO 10303-1, ISO 1030311, ISO 10303-21, ISO 10303-41. Подготовлены к утверждению ГОСТы, соответствующие томам 43, 44, 203 стандарта ISO 10303.

Таким образом, в томах STEP описаны основные принципы обмена данными, изложены правила языка Express, даны методы его реализации, а также модели, методы тестирования моделей, ресурсы как общие для приложений, так и некоторые специальные (например, геометрические и топологические модели, описание материалов, процедуры черчения, конечно-элементного анализа и т. п.), введены прикладные протоколы, отражающие специфику моделей

вконкретных предметных областях. Вопросам взаимодействия АС

вSTEP уделяется основное внимание – выделена подгруппа томов, посвященных способам обмена данными между разными системами, созданными в рамках STEP-технологий.

Информационные обмены возможны через обменный файл и через базу данных SDAI (Standard Data Access Interface) – интерфейс к данным, представленным в соответствии с CALS-стандартами.

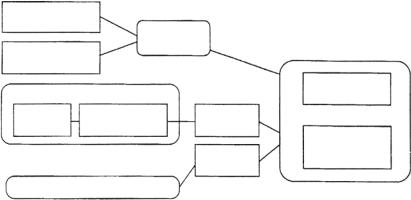
Обменный файл используется при связи моделей A и B, имеющих общие данные с различными обозначениями. Пользователь должен написать перекодировщик (например, на языке Express-X), с помощью которого отождествляются идентификаторы одних и тех же сущностей, имевших разные обозначения в моделях A и B (рис. 3.10).

Клиент А

 

 

 

Сервер В

 

 

 

 

Express-

П

Express-

Обменный

Express-

схема А

схема В

файл

 

схема В

 

 

 

 

П – перекодировщик

Рис. 3.10. Взаимодействие Express-приложений через обменный файл

Связь через интерфейс SDAI отличается от предыдущего способа обмена тем, что в SDAI имеет место не просто обмен, а разделение данных многими пользователями, и SDAI фактически выступает

53

в роли метамодели для разных САПР. Другими словами, SDAI представляет собой интерфейс, содержащий набор функций на языках C++ и C, для доступа к разделяемым моделям, которые могут быть представлены в виде обменного файла (рис. 3.11).

В CALS-технологиях рассматриваются не только вопросы представления данных и организации информационных обменов, но и вопросы моделирования приложений и проектирования сложных систем на базе концептуального проектирования.

Интегрированные

 

 

 

 

ресурсы

 

SDAI-

 

 

 

 

 

 

 

СУБД конкретных

интерфейс

 

 

 

 

 

 

CAD/CAM-систем

 

 

 

 

 

Клиент А

 

 

 

Базы данных

 

 

 

 

SDAI (STEP)

База

Express-схема

 

Обменный

 

данных А

приложения А

 

файл

Функции SDAI

 

 

 

 

 

 

 

 

 

Обменный

Компилятор

 

 

 

 

Express-M

 

 

 

 

файл

 

Клиент В

Рис. 3.11. Взаимодействие Express-приложений через базу данных SDAI

Взаключение лекции отметим, что качество мехатронных систем

врешающей степени зависит от применяемых мехатронных технологий, в основе которых лежат производственные, технологические и информационные процессы и их интеграция.

54

Лекция 4 Современные мехатронные и робототехнические модули и системы

Целевой задачей мехатроники и робототехники является создание качественно новых модулей и систем. Машины и системы нового поколения должны отвечать таким об-

щим критериям, как отношение цена / качество, высокая надежность

ибезопасность функционирования, гибкость и быстрая реконфигурация в новых условиях, степень интеллектуализации эргатических систем управления.

4.1.Современные требования

кмехатронным и робототехническим модулям и системам

Внастоящее время происходит мехатронизация техносферы – решительный поворот развития производственной и бытовой техносферы в направлении все более широкого внедрения мехатронных

иробототехнических систем, построенных с использованием мехатронных технологий.

Кроме того, можно констатировать, что происходит расширение классической механической парадигмы мехатроники, связанное с переходом от компьютерного управления механическими процессами к компьютерному управлению физическими процессами. Этот этап развития мехатроники отражает эволюцию взаимосвязей различных форм движущейся материи – переход от наиболее простых, механических, к более сложным, физическим, формам движения материи [2].

Отмеченные выше тенденции развития мехатроники могут быть реализованы только при условии выполнения новых современных требований к функциональным и структурно-конструктивным пока-

55