где
–
порядковый номер элемента в таблице
Менделеева, для водорода
=1;
е – заряд
электрона;
– электрическая постоянная.
Уравнение движения электрона в классической механике в этом случае имеет вид:
.
(4)
Исключив
из уравнений (3) и (4), получим выражение
для радиусов допустимых орбит (боровских
орбит):
.
(5)
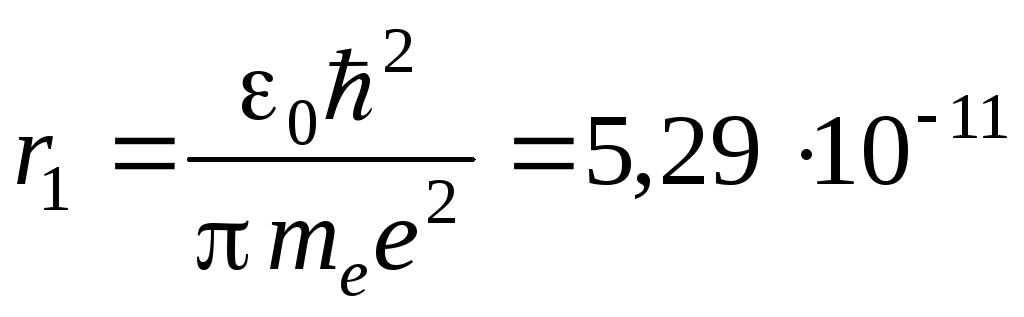
Радиус первой орбиты водородного атома называется боровским радиусом. Его значение равно:
,
м. (6)
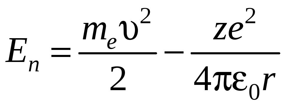
Внутренняя энергия атома слагается из кинетической энергии электрона (ядро неподвижно) и энергии взаимодействия электрона с ядром
.
(7)
Из формулы (4) следует, что
.
Следовательно,
.
(8)
Подставив в
(8) значение
из формулы (5), найдем дозволенные значения
внутренней энергии атома:
(n = 1, 2, 3 …).
(9)
Схема энергетических уровней приведена на рис. 1.

Рис.1
При переходе атома
водорода (
=1)
из состояния
в состояние
излучается, согласно формулам (1) и (9),
фотон энергии:
.
Частота испущенного фотона:
.
(10)
Учитывая, что
,
получим:
.
(11)
Получена обобщенная формула Бальмера, причем для постоянной Ридберга определено значение:
,
(12)
Тогда
.
(13)
Из формулы (13) следует,
что все линии в спектре водорода могут
быть объединены в серии. Серией называется
совокупность линий, длины волн которых
описываются формулой (13) при
,
т.е. серия возникает при переходе
электрона с вышележащих энергетических
уровней на уровень с данным квантовым
числом (
).