Материал: Изучение функциональных свойств многослойных пленок на основе двух- и трехкомпонентных нитридов тугоплавких металлов и их соединений с легкоплавкими металлами и неметаллами

Внимание! Если размещение файла нарушает Ваши авторские права, то обязательно сообщите нам

86

 

 

 

 

 

 

 

 

 

 

 

 

 

 

 

 

 

 

 

 

 

 

 

 

 

 

 

 

 

 

 

 

 

 

 

Окончание табл.

3 . 1 6

 

 

 

 

 

 

 

 

 

 

 

 

 

 

 

 

 

 

 

 

 

 

 

 

 

 

 

 

 

 

 

 

 

 

 

 

 

 

 

 

 

 

 

 

 

 

 

 

 

 

1

 

 

 

 

 

 

 

 

2

 

 

 

3

 

 

4

 

5

 

6

 

7

8

9

 

10

 

11

 

12

 

 

13

 

 

 

 

 

 

 

 

 

 

 

 

 

 

 

 

 

 

 

 

 

 

 

 

 

 

 

 

 

Комбинированный метод – МР+ЭДИ: общие ТехП: Uвыс = 600 В; N = 2,0 кВт; Uсм = 90 В; N2 = 50 %; Iд = 75 А; Р = 1,0 Па;

 

 

 

 

 

 

 

 

 

702/600

 

 

 

 

 

 

LAl = 270 мм (катод) и LTi = 100 мм (мишень)

 

 

 

 

 

 

 

 

 

 

 

 

 

Vнагр.подл

 

К/мин

 

 

 

 

605…685

 

 

2,6

 

 

5,0

 

29

 

302

 

283

 

0,10

 

0,58

 

 

62

 

2,87

 

 

 

HF-2

 

 

 

 

 

 

 

 

 

 

 

 

 

 

 

 

 

 

 

,

 

 

602/700

 

 

615…700

 

 

2,9

 

 

5,5

 

30

 

309

 

290

 

0,1

 

0,45

 

 

66

 

0,78

 

 

 

 

HF-1

 

 

 

 

 

 

 

 

 

 

 

 

 

 

 

 

 

 

tи.о

 

мин

 

203/600

 

 

690…815

 

 

4,2

 

 

6,0

 

31

 

314

 

294

 

0,11

 

0,65

 

 

67

 

0,56

 

 

 

HF-1

 

1 TiN-Ti1–хAlхN – технологический процесс осаждения Ti1–хAlхN слоя проводится при Uсм = 280 В, остальные процессы – при

Uсм = 200 В;

 

 

 

 

 

 

 

 

 

 

 

 

 

 

 

 

 

 

 

 

 

 

 

 

 

 

 

 

 

 

 

 

 

 

 

 

 

 

 

 

2 Ti

-Ti

 

Al

N

МР+ЭДИ

;

 

 

 

 

 

 

 

 

 

 

 

 

 

 

 

 

 

 

 

 

 

 

 

 

 

 

 

 

 

 

3Ti

 

МР

 

 

1–х х

 

 

 

 

 

 

 

 

 

 

 

 

 

 

 

 

 

 

 

 

 

 

 

 

 

 

 

 

 

 

 

 

 

ЭДИ

-•TiN

-Ti

1–х

Al

 

N

МР+ЭДИ

•-Ti

1–х

Al N

МР+ЭДИ

.

 

 

 

 

 

 

 

 

 

 

 

 

 

 

 

 

 

 

 

 

 

 

 

 

 

 

 

 

 

МР

 

х

 

 

 

х

 

 

 

 

 

 

 

 

 

 

 

 

 

 

 

 

 

 

 

 

 

 

 

Перед процессом осаждения Ti1–хAlхN слоя методом МР с Uсм = 80В подложку нагревают методом ЭДИ с Vнагр.подл = 20 К/мин, в остальных экспериментах при МР нагрев осуществляют с Vнагр.подл = 70 К/мин.

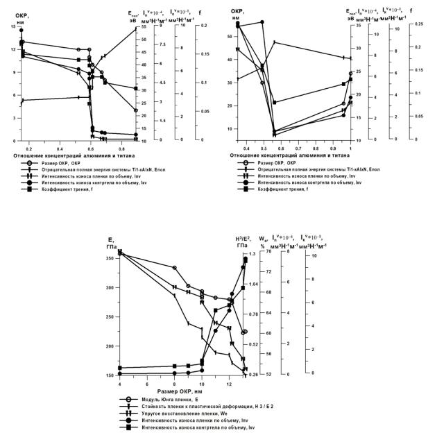
содержания Al в слое до 26,05 ат. %, степени текстурированности до 0,7, изменением типа текстуры поликристаллического Ti1–хAlхN слоя до (103) + (107) h-Ti3Al2N2 и уменьшением размера ОКР. Установленные изменения в Ti1–хAlхN слое сопровождаются улучшением всех ФМС (рис. 3.25, а, 3.26 и см. табл. 3.16). Незначительное влияние Al оказывает только на стойкость Ti1–хAlхN слоя к упругой деформации разрушения Н/Е, в связи с тем, что величины Н и E с ростом Al синхронно повышаются (см. рис. 3.26 и табл. 3.16).

а

б

Рис. 3.25. Функциональные свойства Ti1–хAlхN слоев на основе тройного нитрида Ti3Al2N2 в зависимости от их фазового и элементного состава: а) ФМС; б) ИАС

87

а

б

в

г

Рис. 3.26. Зависимости трибологических свойств Ti1–хAlхN слоев, полученных ЭДИ и ЭДИ+МР (а, в, д) и МР (б, г, е), от содержания

в нихAl, h-Ti3Al2N2 и h-Ti2AlN фаз и размера ОКР (д, е). Зависимости ИАС Ti1–хAlхN слоев от их элементного состава (а, б), объемных долей основных фаз и полной свободной энергии (в, г). Зависимости ФМС и ИАС Ti1–хAlхN слоев от размера ОКР (ж) (см. также с. 89)

88

д

е

ж

Рис. 3.26. Окончание

Наиболее оптимальный комплекс ФМС: Н = 36 ГПа; Е = 358 ГПa; We = 76 %; H/E = 0,10; H3/E2 = 1,31 ГПa, и высокие адгезионные свойства (Sотп = 0,09·105 мкм2) соответствуют Ti1–хAlхN слою с максимальным содержанием в нем Al и h-Ti3Al2N2 фазы, сформированном при оптимальных ТехП и ТемП: Тнач.с = 0,182Тпл и Vнагр.с = 6 К/мин. Данный факт объясняется превосходством h-Ti3Al2N2 фазы по полной свободной энергии и, как следствие, бóльшей термической стабильностью по сравнению с другими возможными фазами Ti1–хAlхN слоев и их сочетаниями.

89

Таким образом, значение Eп является функцией фазового и элементного состава Ti1–хAlхN слоев. Рост Еп увеличивает термостойкость Ti1–хAlхN слоя и способствует сохранению ФМС. Низкий модуль Е также является желательным, так как он позволяет заданной нагрузке распределяться на более широкой области. Очень важным обнаружением является тот факт, что Ti1–хAlхN слои с одинаковой твердостью могут иметь различные значения Еп, легко изменяемые содержанием Al и объемной долей тройных нитридов. Указанные зависимости делают возможным контроль устойчивости Ti1–хAlхN слоя к пластической деформации, которая пропорциональна отношению H3/E2, и формирование высокоэффективных Ti1–хAlхN слоев с регулируемыми ФМС: микротвердостью Н, модулем Юнга E, упругим восстановлением We. С увеличением содержания Al в Ti1–хAlхN слоях в интервале х = 0,11…0,40 и приближением ее состава к стехиометрическому, повышением объемных долей h-Ti2AlN фазы или h-Ti3Al2N2 фазы (в зависимости от ТемП осаждения) все ФМС улучшаются.

При отклонении ТехП и ТемП от оптимальных ФМС Ti1–хAlхN слоя ухудшаются: Н уменьшается, Е увеличивается, в итоге ухудшается сопротивляемость слоя к упругой деформации разрушения и сопротивляемость пластической деформации.

При постоянном содержании Al в Ti1–хAlхN слое, но при повышении в нем соотношения концентраций Al и Тi (CAl/CTi) и уменьшении содержания в нем N2 все трибологические свойства улучшаются (табл. 3.17). Данный факт по результатам химического анализа объясняется приближением состава Ti1–хAlхN слоя к стехиометрическому. Оптимальное содержание Al

в Ti1–хAlхN слое – х = 0,4 (см. рис. 3.26).

Сравнение значений m, Iпm , IпV , IкV , Vк, f и Мтр показывает, что

Ti1–хAlхN слои с наименьшим размером ОКР, большими VTi3Al2N2 и Еп при примерно одинаковой концентрации в них Al по сравнению с Ti1–хAlхN

слоями на основе h-Ti2AlN фазы обладают лучшими трибологическими свойствами (см. рис. 3.26 и см. табл. 3.17).

Коррозионные свойства многослойных пленок на основе трехкомпонентных Ti1–хAlхN слоев в зависимости от их строения, фазового и элементного состава. Коррозионным испытаниям подвергались Ti1–хAlхN слои, сформированные МР в соответствии с оптимальными ТехП. Катодные кривые поляризации сплава ВК8 в 5%-ном растворе NaOH, лежащие отрицательнее потенциала –0,4 В, отвечают процессу кислородной деполяризации (рис. 3.27). На образце без Ti1–хAlхN слоя ток растворения с увеличением потенциала выше –0,4 В стремительно растет, достигает критической

90