Материал: Иродов. т5 Квантовая физика Основные законы. 2014, 256с

Внимание! Если размещение файла нарушает Ваши авторские права, то обязательно сообщите нам

110

Глава 4

 

 

откуда Е 7h2/m.

Учитывая (2), находим из (1), что

U(x) 272 2 x2. m

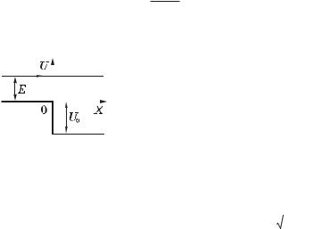
4.10.Прохождение частицы через порог. Частица массы т движется

слева направо в потенциальном поле (рис. 4.15), которое в точке x 0 испытывает скачок U0. При х < 0

 

 

 

 

 

 

 

 

 

 

 

 

 

энергия частицы равна Е. Найти коэффи-

 

 

 

 

 

 

 

 

 

 

 

 

 

циент отражения R, если Е I U0.

 

 

 

 

 

 

 

 

 

 

 

 

 

Р е ш е н и е. Здесь следует повторить рас-

 

 

 

 

 

 

 

 

 

 

 

 

 

 

 

 

 

 

 

 

 

 

 

 

суждения, приведенные в § 4.5 для случая

 

 

 

 

 

 

 

 

 

 

 

 

 

1. Отличие заключается лишь в том, что в

Рис. 4.15

 

 

 

 

выражении для k2 (4.28) должно, как вид-

 

 

 

 

но из рис. 4.15, стоять не Е – U0, а Е U0.

 

 

 

 

 

 

 

 

 

 

 

 

 

Таким образом, искомый коэффициент с учетом того, что k1 I k2, можно записать так:

 

k2

2

 

 

k1

 

 

k1

 

 

k1

 

 

 

 

 

 

 

 

 

 

k1

 

 

2

 

2

 

% 1 4

1

4 E/U0

 

 

 

 

 

R

 

 

% 1

 

1

 

 

k2

k1

k2

 

 

k2

 

k2

 

 

 

 

(здесь мы пренебрегли величиной k1/k2 в квадрате).

Отсюда следует (чисто квантовый эффект), что чем меньше Е, тем ближе R к единице. С классической точки зрения это в принципе невозможно.

Глава 5

Основы квантовой теории

§5.1. Операторы физических величин

Впредыдущей главе было показано, что состояние кванто-

вой частицы определяется не координатами и импульсом, а зада- нием /-функции, вид которой зависит от конкретного потенциального поля. Кроме того, как выяснилось, /-функция, описыва-

ющая сама по себе распределение по координатам, определяет также распределение по импульсам и другим динамическим характеристикам частицы, таким как кинетическая энергия,

момент импульса и др.

Таким образом, /-функция полностью определяет не только «положение» частицы, но и все ее динамические характеристи-

ки. Надо только знать рецепты, с помощью которых можно «извлечь» интересующую нас информацию из /-функции. К

решению этой задачи мы и приступаем.

Средние значения физических величин. Понятие среднего значения различных физических величин является весьма важным в квантовой теории. Рассмотрим этот вопрос на конкретном примере — определим среднее значение координаты x частицы, если известна ее /-функция, которую мы ради простоты будем считать функцией только одной пространственной координаты х.

Мы уже знаем, что |/(x)|2 или /(x) *(x) является плотностью вероятности найти частицу в окрестности координаты х. Тогда вероятность местонахождения частицы в интервале (х, х + dх) есть dР = //*dx, и среднее значение х определяется как

pxq x//* dx,

(5.1)

где интегрирование проводится по интересующей нас области. При этом предполагается, что /-функция является нормированной в (5.1). т. е. удовлетворяет условию (4.3):

// 0 dx 1.

112

Глава 5

 

 

И вообще, среднее значение любой функции координат f(x) определяется формулой, аналогичной (5.1), т. е.

pf(x)q f(x)//* dx.

(5.2)

Значительно сложнее задача о нахождении среднего значения проекции импульса рx частицы, состояние которой задается определенной пси-функцией /(х). Весьма громоздкий расчет (выходящий за рамки данной книги) приводит к следующему результату:

ppx /* i q

/

dx . (5.3)

x

Для единообразия перепишем выражения (5.1) – (5.3) в такой форме:

pхq /* x/ dx.

 

pf(x)q /* f(x)/ dx.

(5.4)

 

 

 

 

ppxq /*

i

 

/ dx.

 

 

 

 

 

x

 

Запись средних значений этих величин именно в такой форме поможет нам в следующем параграфе сделать важный шаг в развитии адекватного математического формализма, выражающего специфические свойства микрочастиц.

Операторы. Оператором называют символическое обозначение математической операции, которую необходимо совершить с интересующей нас функцией. Примером оператора могут служить умножение на x или на какую-либо функцию f(x), дифференцирование по х, т. е. / х, 2/ х2 и т. д. Операторы принято

 

 

обозначать буквами со «шляпкой», например Q, и его действие

на некоторую функцию

 

f(x) записывают как Qf(x).

Некоторые свойства операторов. Операторы можно складывать:

 

 

 

A B. Действие такого суммарного оператора на любую функцию f(x)

 

 

 

дает результат Af(x) Bf(x).

 

 

 

понимают оператор, результат

Под произведением операторов AB

 

 

 

действия которого на любую функцию f(x) равен A(Bf(x)). Т. е. функ-

 

 

 

ция f(х) сначала подвергается действию оператора B, а затем получен-

ный результат — действию оператора

 

A.

Основы квантовой теории

 

113

 

 

 

 

 

 

Следует иметь в виду, что не всегда AB BA. Если такое равенство

 

 

коммутируют друг с

соблюдается, то говорят, что операторы A и B

другом (коммутирующие операторы). В противном случае операторы некоммутирующие. Пример некоммутирующих операторов — это x и/ x. В самом деле,

 

 

x

f

 

 

 

 

 

( xf ) 1

x

f

 

x

 

f

 

,

 

 

x f

 

 

.

 

x

x

x

x

 

x

 

 

 

 

 

 

 

 

Следовательно,

x x x x.

Сложение и умножение операторов производится по обычным алгебраическим правилам сложения и умножения чисел. Отличие лишь в том, что при умножении операторов не всегда можно переставлять порядок операторов-сомножителей: это зависит от того, коммутируют они или нет.

 

 

 

Оператор A называют линейным, если для любых двух функций f1

и f2 и любых постоянных 1 и 2 выполняется соотношение

 

 

 

A ( 1f1

+ 2f2) 1 A f1

+ 2 A f2 .

Именно с линейностью операторов связан принцип суперпозиции состояний.

§ 5.2. Основные постулаты квантовой теории

Общее утверждение квантовой теории заключается в том, что среднее значение любой физической величины Q находится по формуле

8Q /

0

 

(5.5)

 

Q/ dx,

где — оператор физической величины .

Q Q

Сопоставив (5.5) с (5.4), приходим к выводу, что оператора-

ми величин х и px являются

 

 

 

 

 

 

 

 

 

 

 

 

 

 

 

 

 

 

 

 

 

 

 

 

 

 

 

 

 

 

 

 

 

x x,

 

 

 

px

–i

 

x

.

(5.6)

Аналогично для операторов

 

 

 

 

 

 

 

 

 

 

 

 

 

 

 

y,

z,

p y

, p z .

 

 

 

 

являются основными в квантовой теории.

Операторы x и px

114

Глава 5

 

 

Общее правило, позволяющее находить операторы других физических величин, таково:

формулы классической физики для связи между величинами в квантовой теории следует рассматривать как формулы, связывающие операторы этих величин.

Так, например, связь между квадратом импульса и квадратами его проекций в классической механике дается формулой

p2 px2 py2 pz2 .

Поэтому оператор квадрата импульса

 

 

 

 

 

 

 

 

 

 

 

 

 

 

 

 

 

 

 

 

 

2

 

 

 

 

 

 

 

 

 

2

 

 

 

 

 

 

 

 

2

 

 

 

 

 

 

 

 

 

 

 

 

 

 

 

 

 

 

 

 

 

 

 

 

 

 

 

 

 

 

 

 

 

 

 

 

 

 

 

 

 

 

 

 

 

 

 

 

 

 

 

 

 

 

 

 

 

 

 

 

 

 

 

 

 

 

 

.

 

p2 =

p

2

 

p

2

p

2 =

i

 

 

 

 

 

 

 

i

 

 

 

 

 

 

i

 

 

 

 

 

 

x

 

 

y

 

 

z

 

 

 

 

 

 

 

 

 

 

 

 

 

 

 

 

 

 

 

 

 

 

 

 

 

 

 

 

 

 

 

 

 

 

 

 

 

 

 

 

 

 

 

 

 

 

 

 

 

 

x

 

 

 

 

 

 

 

 

 

y

 

 

 

 

 

 

z

 

 

В результате получим

 

 

 

 

 

 

 

 

 

 

 

 

 

 

 

 

 

 

 

 

 

 

 

 

 

 

 

 

 

 

 

 

 

 

 

 

 

 

 

 

 

 

 

 

 

2

 

 

 

 

 

2

 

 

 

 

2

 

 

 

 

 

 

 

 

 

 

 

 

 

 

 

 

 

p

2 2

 

 

 

 

2

 

 

 

 

 

 

 

2

 

 

 

 

 

2

 

 

 

 

 

 

2

. 2 ,

 

 

 

 

(5.7)

 

 

 

 

 

 

 

 

 

 

 

 

 

y

 

 

 

 

z

 

 

 

 

 

 

 

 

 

 

 

 

 

 

 

 

 

 

 

 

 

 

 

 

x

 

 

 

 

 

 

 

 

 

 

 

 

 

 

 

 

 

 

 

 

 

 

 

 

 

 

 

 

 

где оператор . 2

— это лапласиан, т. е. выражение в круглых

скобках.

 

 

 

 

 

 

 

 

 

 

 

 

 

 

 

 

 

 

 

 

 

 

 

 

 

 

 

 

 

 

 

 

 

 

 

 

 

 

 

 

 

 

 

 

Аналогично находим оператор кинетической энергии:

 

 

1

 

 

 

 

2

 

2

 

 

 

 

 

 

2

 

 

 

2

 

 

 

 

2

 

 

 

 

K

 

 

 

p2

 

 

 

 

 

 

 

 

 

2

 

 

 

 

 

2

 

 

 

 

 

2

 

 

 

 

 

 

. 2

 

(5.8)

 

2m

 

 

 

2m

 

x

 

 

 

y

 

 

z

 

 

 

2m

 

 

 

 

 

 

 

 

 

 

 

 

 

 

 

 

 

 

 

 

 

 

 

 

 

 

 

и оператор полной энергии частицы — гамильтониан (его об-

 

 

 

 

 

 

 

 

означают H):

 

 

 

 

 

 

 

 

 

 

 

 

 

 

 

H K U

2

 

2

U.

 

 

.

 

 

 

 

 

 

 

 

(5.9)

 

 

2m

 

 

 

 

 

 

 

 

 

 

 

2

,

 

 

 

 

Зная выражения операторов p

 

K

и H, можно найти сред-

ние значения pp2q, pKq и pЕq по формуле (5.5), если известна /-функция частицы.

Пример. Найдем среднее значение кинетической анергии pКq частицы

в состоянии /(x) 1 eikx , k p/h. Функция /(x) нормирова-

2l

на в интервале –l < х < l, вне этого интервала /(х) 0.