90 |
Глава 4 |
|
|
решение /(r), то в принципе мы можем найти не только распределение вероятности местонахождения частицы, но также вероятности собственных значений различных физических величин (например, энергии, импульса, момента импульса). Надо только знать способ, как извлечь значения этих величин из функции /(r). Но об этом в дальнейшем.
Заметим, что при более строгом рассмотрении стационарных состояний выясняется, что они вовсе не стационарные. Вместе с тем, решения уравнения Шредингера приводят к наличию строго стационарных состояний, в противоречии с известными экспериментальными фактами. Здесь проявляется очевидная ограниченность уравнений Шредингера: они не описывают радиационных переходов. Тем не менее, предсказываемые уравнением Шредингера стационарные состояния с хорошей точностью соответствуют почти стационарным состояниям. Об этом свидетельствует опыт.
Теперь перейдем к рассмотрению нескольких простейших случаев, на которых проиллюстрируем, что квантование — это, действительно, естественное следствие вышеприведенных условий, накладываемых на решения уравнения Шредингера. При этом никаких дополнительных предположений делать не требуется.
§ 4.3. Частица в прямоугольной яме
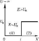
Рассмотрим поведение частицы в одномерной прямоугольной потенциальной яме U(x), имеющей две различные конфигурации — два случая. Предполагается, что частица может двигаться только вдоль оси X.
Случай 1. Он является самым простым: ширина ямы равна l, стенки ямы бесконечно высокие (рис. 4.1, а). Потенциальная энергия в этом случае имеет следующие значения: она равна нулю в интервале (0, l) и обращается в бесконечность при x = 0 и x l.
Рис. 4.1
Уравнение Шредингера. Квантование |
91 |
|
|
Исходим из уравнения Шредингера (4.9). Для одномерного случая в пределах ямы (где U 0) это уравнение упрощается:
|
2 / |
k2 / 0, |
(4.10) |
|
x2 |
||
|
|
|
|
где введено обозначение |
|
|
|
|
k2 2mE/h2. |
(4.11) |
|
Общее решение уравнения (4.10) имеет вид |
|
||
/(x) a sin(kx ), |
(4.12) |
||
где a и — произвольные постоянные.
Теперь самое главное: мы должны потребовать от функции /(x), чтобы она удовлетворяла естественным (стандартным) условиям. Видно, что (x) в виде (4.12) однозначна и конечна. Она должна быть еще и непрерывной, а именно, вне ямы частица быть не может, значит там /(x) 0, и для непрерывности /-функции необходимо, чтобы при x 0 и x l функция (4.12) была бы равна нулю. Из условия
/(0) a sin 0
следует, что = 0. Из условия же
/(l) a sin kl 0
в свою очередь следует, что
kl 1 n, |
(4.13) |
где n 1, 2, 3, ... (n 0 отпадает, так как при этом / 0 — частицы вообще нет).
Подставив k из (4.13) в (4.11), получим
En |
|
2 2 |
n 2 , n 1, 2, 3, ... |
(4.14) |
|
2ml 2 |
|||||
|
|
|
|
Энергия оказалась квантованной и ее спектр — дискретный (рис. 4.1, б).
92 |
Глава 4 |
|
|
Итак, собственные значения Е мы нашли — это (4.14). Теперь найдем соответствующие им собственные функции. Для этого подставим значения k из (4.13) в (4.12), где 0, тогда
/(x) a sin(n x/l).
Для определения коэффициента a воспользуемся условием нормировки (4.3). В нашем случае оно примет вид
l |
n x |
|
|
a2 sin2 |
dx 1. |
||
|
|||
0 |
l |
||
На концах интервала (0, l) подынтегральная функция равна нулю, поэтому значение интеграла можно представить как произведение среднего значения квадрата синуса (а оно равно 1/2) на ширину ямы l:
a2(1/2) l 1,
откуда a 
2/l.
Таким образом, собственные функции в данном случае имеют вид
/n(x) 
2/l sin(n x/l), n 1, 2, 3, ... (4.15)
Графики нескольких собственных функций показаны на рис. 4.2 пунктирными линиями, а распределение плотности вероятности — сплошными. Из этих графиков видно, что в низшем энергетическом состоянии (n 1) с наибольшей вероятностью частицу можно обнаружить в середине ямы, а вероятность нахождения ее вблизи краев ямы весьма мала. Такое поведение частицы резко отличается от поведения классической частицы.
Рис. 4.2
С увеличением же энергии (т. е. с ростом квантового числа n) максимумы распределения /2n (x) располагаются все ближе друг к другу. При очень больших значениях n картина рас-
Уравнение Шредингера. Квантование |
93 |
|
|
пределения /2n (x) практически «сливается» и представляется равномерным — частица начинает вести себя совсем «по-клас- сически».
Внимательный читатель по-видимому заметил, что найденные нами собственные функции (4.15) удовлетворяют не всем естественным условиям: на границах ямы /-функции не гладкие, испытывают излом. Это обстоятельство является следствием того, что на границах ямы U & , чего в реальном мире не бывает. При любом конечном разрыве потенциальной энергии /-фун- кция все равно остается гладкой (об этом подробнее ниже).
Заметим также, что в отличие от классики минимальное значение энергии Е частицы в яме согласно (4.14) не равно нулю. Это полностью согласуется с принципом неопределенности. Ведь у частицы в яме ограничена область возможных значений ее координаты, поэтому должен существовать разброс по импульсам, а значит, отлична от нуля и энергия.
Случай 2. Частица движется в одномерном потенциальном поле U(x), пока-
занном на рис. 4.3. Уже этот случай связан с достаточно громоздкими математическими преобразованиями.
Если полная энергия частицы E < U0, то говорят, что частица находится в потен-
циальной яме, или в связанном состоянии. Будь частица классической, она не смогла бы при этом условии выйти за пределы ямы, поскольку там ее кинетическая энер-
гия была бы отрицательной, что невозможно. Отражаясь от стенок ямы, частица двигалась бы только в ее пределах и могла быть с равной вероятностью обнаружена в любом месте ямы.
Существенно иначе ведут себя частицы, подчиняющиеся квантовым законам. Чтобы выяснить, как именно, воспользуемся уравнением Шредингера (4.9) в одномерном виде. Поскольку функция U(x), как видно из рис. 4.3, является ступенчатой, то удобно разбить область изменения x на два участка, (1) и (2), с постоянными значениями U, получить решения для каждого участка, а затем «сшить» эти решения так, чтобы /-функция была непрерывной и гладкой.
94 Глава 4
Снабдим решения на участке 1 индексом 1, а на участке 2 — индексом 2. Теперь запишем уравнение Шредингера для этих
двух участков: |
|
|
/1 k2/ 0, |
k2 2mE/h2, |
(4.16) |
/2 k2/2 0, |
k2 2m(U0 – E)/h2. |
(4.17) |
Общие решения этих уравнений имеют вид
/1(x) a sin(kx ), /2(x) be–kx cekx.
Они должны удовлетворять естественным условиям. Из условия непрерывности /-функции, учитывая, что при x i 0 /1 2 0, имеем /1(0) 0, откуда 0. Из требования конечности /-функ- ции следует, что коэффициент c 0, поскольку экспонента с положительным показателем соответствует непрерывному росту вероятности обнаружения частицы в области 2 с увеличением глубины проникновения х. И наконец, требование непрерывности и гладкости /-функции в точке x l означает, что
/1(l) /2(l), |
/1(l) /2 (l). |
|
|
Отсюда мы приходим к трансцендентному уравнению |
|
||
tgkl – k/k, |
(4.18) |
||
которое удобнее представить через синус по формуле |
|
||
sin 1/ |
|
|
|
1 ctg2 . |
|
||
В результате получим |
|
|
|
sin kl 1 Ckl, |
(4.19) |
||
где C h/
2ml2U0 .
Изобразив графики левой и правой частей этого уравнения (рис. 4.4), найдем точки пересечения прямой с синусоидой. При этом корни данного уравнения, отвечающие собственным значениям Е, будут соответствовать тем точкам пересечения, для которых tgkl < 0 согласно (4.18). Это значит, что корни уравнения (4.19) должны находиться в четных четвертях окруж-