или в проекциях на оси декартовой системы координат
![]()
![]()
![]()
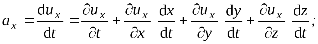
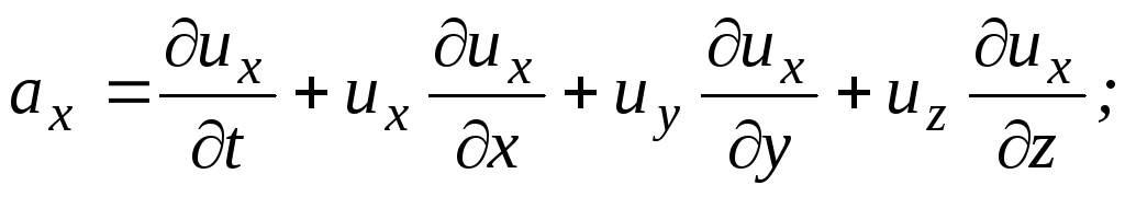
Заменив производные от координат по времени соответствующими скоростями, получим
![]()
(2.5)
![]()
Первое слагаемое в уравнениях (2.5) называется локальным ускорением и характеризует изменение скорости в данной точке пространства; сумма трех последних – конвективным ускорением и обусловлено перемещением точки в пространстве.
Различают несколько видов движения сплошных сред. Дви-жение называется установившимся, если все его характеристики (плотность, давление, составляющие скорости вдоль осей координат и т. д.) в каждой точке потока не изменяются во времени. Движение, не удовлетворяющее этому определению, называется неустановившимся.
При равномерном движении величины составляющих скорости вдоль координатных осей не изменяются по длине потока. Движение, для которого данное определение не выполняется, считается неравномерным.
Напорным называют такой вид движения жидкости, при котором поток не имеет свободной поверхности. Движение, при котором поток не со всех сторон ограничен стенками трубопровода, т. е. имеет свободную поверхность, называется безнапорным или движением со свободной поверхностью.
движение жидкости
В начале данного раздела отмечалось, что при движении элемент жидкости претерпевает линейные и угловые деформации. Определим, какими величинами они характеризуются.
Линейная деформация. Рассмотрим
движение элемента жидкости в виде
отрезка 0А вдоль оси 0x
(рис. 2.2). Пусть за время dt
точка переместится из положения A
в положение A1.
При этом приращение длины отрезка
составит
![]()
![]()
Рис. 2.2. Линейная деформация элемента жидкости
Для бесконечно малого отрезка
имеем
тогда
Скорость относите-льного удлинения
отрезка
,
или скорость относительной линейной
деформации вдоль оси
,
![]()
Аналогично для остальных осей
. (2.6)
Таким образом, частные производные от составляющих скорости по одноименным координатам есть скорости относительных линейных деформаций элемента жидкости вдоль координатных осей.
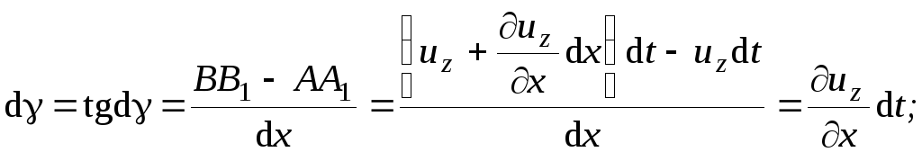
Угловая деформация. Деформация
может происходить по всем координатам.
Выделим в жидкости элемент в виде отрезка
длиной dx,
ориентированного вдоль оси 0x
(рис. 2.3) в плоскости x0z.
За время dt
он из положения
переместится в положение A1B1,
при этом происходят его угловая и
линейная деформации
![]()

откуда
(2.7)
![]()
![]()
![]()

![]()
![]()
![]()
![]()

![]()
![]()
![]()
![]()
Рис. 2.3. Угловая деформация элемента жидкости
Аналогичным образом можно получить
следующие скорости угловых деформаций
в плоскостях
,
и
:
(2.8)
Следовательно, производные от составляющих скоростей по разноименным координатам есть скорости относительных угловых деформаций элемента жидкости, или его угловые скорости вращения относительно осей координат.
Из выражения (2.8) видно, что первые две
производные – это угловые скорости
вращения бесконечно малого отрезка
относительно оси 0
,
вторые – относительно оси 0
и третьи – относительно
оси 0
.
Вихревое движение жидкости. При
движении жидкости можно наблюдать
образование вихрей (например, при встрече
с препятствиями). Рассмотрим движение
элемента жидкости, имеющего проекцию
на плоскость
в виде прямоугольника 0ABC (рис. 2.4).
За время
прямоугольник повернется и деформируется
таким образом, что точка A переместится
в положение
,
– в положение
и т. д.
Рис. 2.4. Линейная и угловая деформации
элементарного объема жидкости
Согласно уравнению (2.7) и рис. 2.4,
![]()
![]()
Суммарная угловая деформация элемента жидкости
![]()
Скоростью угловой деформации в плоскости
принято называть величину
(2.9)
Подставляя в равенство (2.9) значения
,
запишем
(2.10)
Аналогичным образом можно выразить
скорости угловых деформаций в плоскости
и
:
(2.10а)
(2.10б)
Из девяти скалярных величин угловых деформаций можно составить матрицу, называемую тензором скоростей деформаций:
.
(2.11)
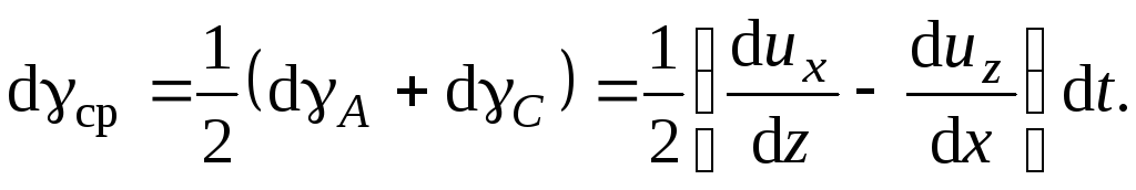
Средний угол поворота
![]()
Тогда угловая скорость вращения элемента
жидкости относительно оси 0![]()
(2.12)
Аналогичным образом можно записать
величины
и
:
(2.12а)
(2.12б)
Выражение в скобках обозначается
.
Так как
то
(2.13)
Для безвихревого движения
![]()