![]()
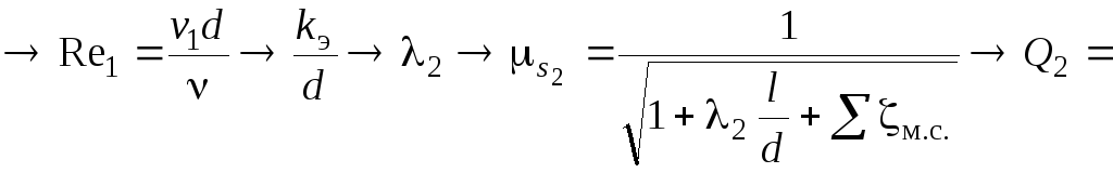
Изложенную последовательность расчета можно записать в виде схемы таким образом:


Задача 2. Дано: жидкость движется по
трубопроводу длиной
и диаметром
под действием напора
Определить расход жидкости
![]()
Расчет проводят методом последовательных
приближений. Считают, что трубопровод
работает как гидравлически шероховатый
(напомним, что в этом случае
не зависит от Re, а
следовательно, и от расхода жидкости и
обусловливается только величиной
).
Выбирают материал труб, срок их
эксплуатации, по этим данным находят
абсолютную
(эквивалентную
)
шероховатость и расчетным путем или по
графику ВТИ определяют коэффициент
гидравлического трения
Затем находят коэффициент расхода
и расход
где
Далее по величине
находят скорость движения
а затем – критерий Рейнольдса
По значению
и ранее найденной абсолютной
(эквивалентной
)
шероховатости вышеуказанным методом
находят новое значение коэффициента
гидравлического трения
Затем рассчитывают уточненное значение
коэффициента расхода
и уточненную величину расхода
.
Если отличие
от
составляет более 5 %, то величину
отбрасывают, как неправильную, и уточняют
расход
в такой же последовательности.
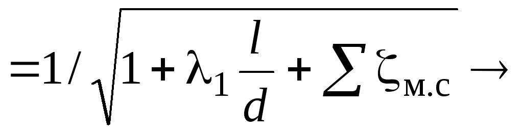
Методика решения данной задачи схематично выглядит следующим образом:

![]()
Задача 3. При движении жидкости по
трубопроводу длиной
под действием напора
потребный расход составляет
Определить диаметр трубопровода
обеспечивающий указанный расход
жидкости.
Непосредственное решение уравнения
(2.199) относительно диаметра трубопровода
невозможно, так как величина
входит одновременно в величины
и
.
Поэтому уравнение (2.199) решают относительно
произведения
методом последовательных приближений
в следующем порядке. По заданным в
условии величинам
и
находят истинное произведение
Затем задаются значением диаметра трубы
,
находят скорость движения
и критерий Рейнольдса
После этого выбирают материал труб и
срок их эксплуатации, определяют
по
табл. 33 приложения. Затем по критерию
Рейнольдса
и
определяют коэффициент гидравлического
трения
,
а затем находят коэффициент расхода
.
Наконец, рассчитывают произведение
и сравнивают полученное значение с
величиной истинного значения
.
Если совпадения значений
и
нет, то задаются другим значением
диаметра
и повторяют расчет в изложенной
последовательности до тех пор, пока не
будет получено равенство между истинным
произведением
и определенным в результате расчетов.
Для уменьшения числа итераций целесообразно
воспользоваться расчетно-графическим
методом нахождения искомой величины
диаметра трубопровода. Для этого,
задавшись тремя–четырьмя значениями
диаметра и определив соответствующие
им произведения
,
строят график зависимости
Из данного графика по заданному значению
находят искомый диаметр
![]()
Последовательность решения рассмотренной задачи схематично изображается в виде
![]()
![]()
![]()
сравнить с заданным значением
.
Задача 4. Дано: расход жидкости
длина трубопровода
Определить диаметр трубопровода
и потери напора
.
Вначале находят диаметр трубопровода.
Для этого принимают среднюю скорость
движения жидкости в пределах
м/с (для жидкостей с небольшой вязкостью
скорость можно устанавливать до 3 м/с).
Затем из уравнения неразрывности
определяют диаметр
Полученное значение диаметра округляют
до ближайшего стандартного значения,
после чего уточняют величину скорости
по уравнению неразрывности
![]()
где
– округленное значение диаметра.
Далее определяют потери напора
в соответствии с ходом решения задачи
1.
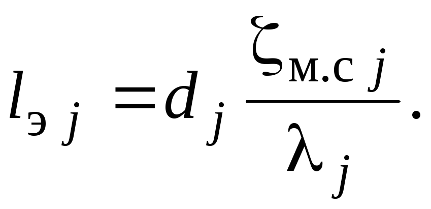
При расчете длинных трубопроводов
местными потерями либо пренебрегают,
либо принимают их равными 5–10 % от потерь
напора по длине, либо учитывают способом
эквивалентной длины трубы. Согласно
последнему способу, местное сопротивление
с потерей напора
заменяют участком трубы длиной
так, чтобы потеря по длине на ней равнялась
бы
.
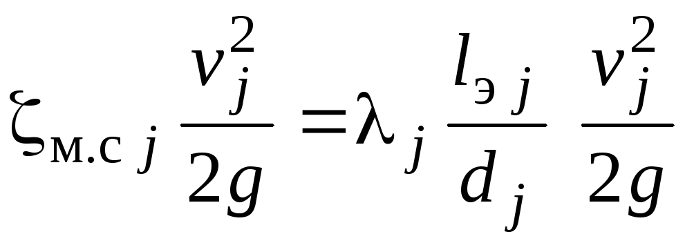
Из условия
![]()
находят эквивалентную длину
Тогда расчетная длина трубы
![]()
где
– количество местных сопротивлений.
Коэффициент расхода для трубопровода приобретает вид
![]()
поэтому средняя скорость и расход определяются следующим образом:
(2.202)
(2.203)
Формулу (2.203) принято записывать в виде
(2.204)
Величину
,
представляющую собой
, (2.205)
называют
расходной характеристикой. Для
квадратичной зоны сопротивления (область
гидравлически шероховатых труб)
зависит только от диаметра и шероховатости
стенок трубопровода. Поэтому значения
для промышленного сортамента труб
вычислены и табулированы (приводятся
в виде таблиц в гидравлических
справочниках), что является весьма
удобным для инженерных расчетов
трубопроводных систем.
Как следует из уравнений (2.204) и (2.205), расходная характеристика и расход находятся в следующей взаимосвязи:
(2.206)
где
– гидравлический уклон.
Отсюда получается, что
представляет собой расход жидкости в
трубе заданного диаметра при гидравлическом
уклоне
![]()
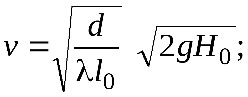
Задача 1. Рассмотрим простой длинный
трубопровод, работающий под уровень.
Такой случай показан на рис. 2.43. Пусть
длина трубопровода равна
диаметр –
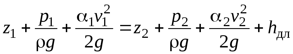
После записи уравнения Бернулли относительно оси 0–0 для сечений I–I и II–II
![]()
и очевидных упрощений с учетом
получаем
![]()
p1
I
I
II
II
0
0
p2


Рис. 2.43. Схема трубопровода под уровнями жидкости
По найденному значению
далее определяем расход на основе
зависимости (2.206):
![]()
Задача 2. Рассмотрим простой составной трубопровод, работающий в атмосферу (рис. 2.44).
На основе зависимости (2.206) для каждого из участков можно определить потери напора