где
– полное касательное напряжение в
турбулентном потоке.
Обозначив в уравнении (2.174) произведение
через
и подставив его в уравнение (2.186), получим
. (2.187)
Величина
есть аналог коэффициента кинематической
вязкости, но в отличие от последней не
является физической константой и
зависит от характера движения жидкости, называется коэффициентом турбулентного переноса импульса (турбулентной вязкостью).
Из уравнения (2.187), с учетом (2.168) и (2.171), следует
(2.188)
Приведем уравнение (2.188) к безразмерному виду, используя универсальные координаты, и запишем
(2.189)
Из уравнений (2.176) и (2.189) следует, что
при
;
(2.190)
при
Однако разграничение потока на две зоны
с совершенно различным характером
движения жидкости не отвечает реальной
картине турбулентного переноса импульса.
Эксперименты показали, что функция
изменяется по сечению потока плавно.
Т. Карман, исправляя недостатки двухслойной
модели, ввел промежуточный слой,
находящийся между значениями
и
Согласно модели Кармана, изменение
турбулентной вязкости описывается
системой уравнений
при
;
при
; (2.191)
при
Решение задач теплообмена на основе
модели Т. Кармана показало, что
теоретические и экспериментальные
данные имеют хорошую сходимость до
значений числа
С увеличением числа Pr
ошибка возрастает, а при Pr
> 20 применение системы уравнений
(2.191) становится нецелесообразным.
Недостаток модели Т. Кармана заключается
в том, что в ней, так же как и в системе
уравнений (2.190), при
![]()
Было высказано предположение, что
турбулентные пульсации затухают
постепенно, по мере приближения к стенке,
и равны нулю только на самой стенке.
Дальнейшее развитие теории турбулентности
было направлено на установление явного
вида зависимости
от
в пристеночных слоях. Здесь мнения
ученых разделились. Не вдаваясь в
подробности научной дискуссии, отметим,
что часть из них склоняется к так
называемому закону третьей степени,
согласно которому
(2.192)
Другие исследователи полагают правомерным закон четвертой степени
(2.193)
Такие ученые, как Л. Д. Ландау [6], В. Г. Левич [7], Л. Г. Лойцянский [8], И. В. Доманский [9], придерживаются закона четвертой степени (2.193); В. В. Консетов [10], Рейхард [11] и другие предпочитают уравнение (2.192). Как обычно бывает в таких случаях, истина, видимо, находится посередине. Исследования по тепло- и массообмену свидетельствуют, что показатель степени есть величина переменная, т. е. можно записать
(2.194)
Показатель степени
в уравнении (2.185) и
в уравнении (2.194) связаны равенством
. (2.195)
Следует иметь в виду, что равенство
(2.193) не исключает закона третьей степени.
Оно лишь предполагает, что при
показатель степени в уравнении (2.195)
Тогда, согласно закону (2.192),
не может быть меньше 0,33, т. е. закон
четвертой степени более универсален и
в определенном диапазоне изменения
может дать значение
![]()
Используя степенные законы, разные авторы предлагают различные модели распределения турбулентных пульсаций по сечению потока. Например, в работах В. Н. Соколова и И. В. Доманского [9] используется трехслойная модель, согласно которой
при
;
при
; (2.196)
при
Отрицательной стороной системы уравнений
(2.196) является отсутствие сходимости
функции
в граничных точках. Хотя это не сказывается
существенным образом на решениях задач
гидродинамики, тепло- и массообмена,
отдельные авторы, стремясь устранить
указанный недостаток, предлагают иные
модели. Некоторые из них приведены в
табл. 32 приложения. Приведенные в таблице
зависимости можно разделить на два
вида. Одни описывают изменение турбулентных
пульсаций послойно (№ 1, 2, 4, 5), другие –
непрерывно (№ 3). Уравнения, непрерывно
описывающие изменение функции
,
более сложны, но нельзя сказать, что
более точны. Поэтому они реже используются
при решении различных задач гидродинамики
и теплообмена.
Вопросы для самоконтроля
1. Какая модель турбулентного потока вам известна и в чем ее суть?
2. Что такое динамическая скорость и что она характеризует?
3. Что такое универсальные координаты?
4. Напишите уравнения, описывающие профиль скорости по сечению турбулентного потока согласно двухслойной модели?
5. Как рассчитывается толщина пристенного слоя?
6. Дайте определение гидравлически гладким и шероховатым трубам.
7. Как рассчитывается коэффициент Дарси для гидравлически гладких и шероховатых труб?
В зависимости от длины и условий работы различают два типа трубопроводов – короткие и длинные. Короткими называются такие трубопроводы, в которых местные потери напора являются значительными и составляют не менее 5–10 % от потерь напора по длине. Длинными называются трубопроводы, имеющие значительную протяженность, в которых потери напора по длине являются основными.
Рассмотрим работу короткого трубопровода,
считая, что жидкость вытекает из
резервуара в атмосферу (рис. 2.42). Полагаем
диаметр трубопровода
длину
сумму коэффициентов местных сопротивлений
.
I
I
II
II
0
0
Рис. 2.42. Схема сопротивления трубопровода
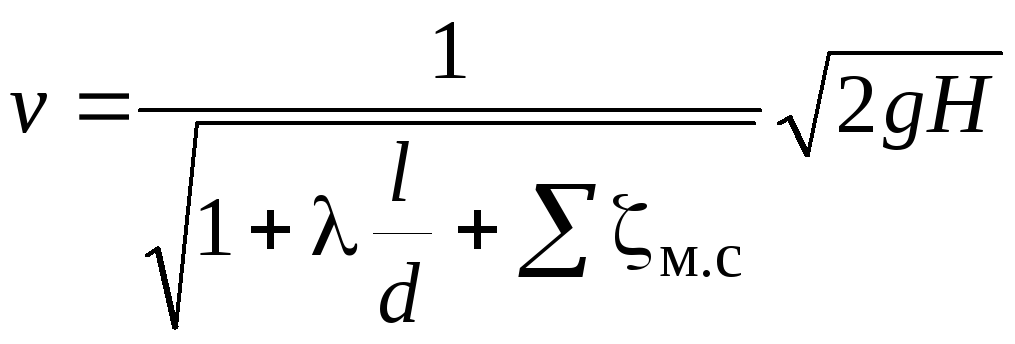
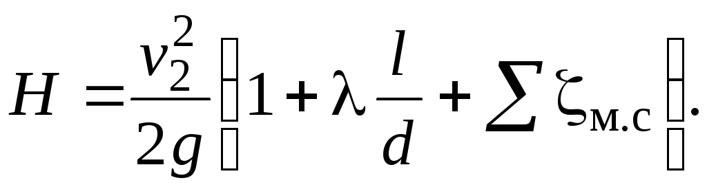
Уравнение Бернулли относительно плоскости 0−0 для сечений I–I и II–II записывается в виде
![]()
Принимая
получаем при
и
![]()
(2.197)
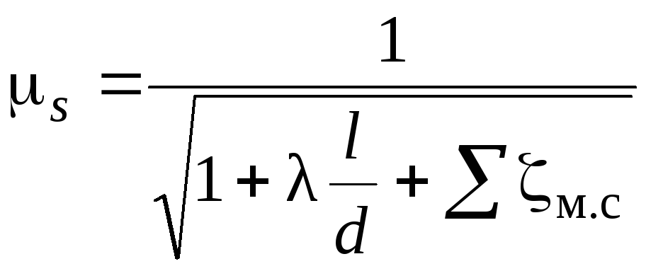
Средняя скорость течения получается равной (индекс «2» опускаем)
,
или
, (2.198)
где
– коэффициент расхода трубопроводной
системы.
Объемный расход жидкости
, (2.199)
где
![]()
Формулы (2.197)–(2.199) являются основными при расчете коротких трубопроводов.
Если трубопровод работает под уровень
и
то в формулы (2.197) и (2.199) следует подставлять
действующий напор
![]()
В случае, если трубопровод является
составным и содержит
участков труб разного диаметра, то
диаметр одного из них (например, диаметр
)
принимают за основной. Затем, используя
уравнение неразрывности, потери на всех
участках выражают через скорость
на этом участке. Так, потери по длине на
-м
участке

а потери в j-м местном сопротивлении

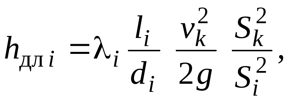
В результате зависимость (2.197) принимает вид

Находим среднюю скорость и расход:
(2.200)
(2.201)
где
– коэффициент расхода трубопровода,

Задача 1. Дано: расход жидкости
длина трубопровода
и его диаметр
Определить потери напора
.
Вначале находят среднюю скорость
затем определяют режим течения,
предварительно рассчитав критерий
Далее задают материал труб и сроки их
эксплуатации, из табл. 33 приложения
находят эквивалентную
шероховатость и затем относительную
шероховатость
После этого рассчитывают коэффициент
гидравлического трения
по зависимости, соответствующей найденным
режиму течения и зоне гидравлического
со-противления, или определяют
графически по графику ВТИ
(см. рис.
2.41). В заключение находят искомые потери
напора: