Материал: gH4zNnoHVd

Внимание! Если размещение файла нарушает Ваши авторские права, то обязательно сообщите нам

I1w = I1 .

w

Напряжение на многовитковом индукторе:

U1w = U1w .

Полная мощность, подводимая к многовитковому индуктору S1w:

S1w = U1w I1w .

Коэффициент мощности PF многовиткового индуктора с нагрузкой:

= P PF 1a .

S1w

Электрический КПД индуктора с нагрузкой η1w:

η =

P2

100% .

 

 

1w

P

 

 

 

1

 

 

Результаты электрического расчета заносятся в табл. 2.3.

 

 

 

Таблица 2.3

Результаты электрического расчёта

 

 

 

 

Параметр

 

 

Значение

Число секций холодного тигля n3, шт.

 

 

 

Число витков индуктора w, шт.

 

 

 

Ток многовиткового индуктора I1w, А

 

 

 

Напряжение на многовитковом индукторе U1w, В

 

Электрические потери мощности в многовитковом индукторе P1e, Вт

 

Электрические потери мощности в холодном тигле P3e, Вт

 

Активная мощность, подводимая к многовитковому индуктору P1a, Вт

 

Электрический КПД многовиткового индуктора с нагрузкой η1w, %

 

Коэффициент мощности многовиткового индуктора PF

 

Диапазон регулирования ёмкости конденсаторной батареи, Ф

 

2.2.3 Выбор высокочастотного источника питания Источник питания плавильной установки – ламповый или транзистор-

ный генератор должен иметь рабочую частоту, определенную в расчетах с учетом необходимой степени проявления поверхностного эффекта нагрева для выбранного материала при заданной температуре и рассчитанных размерах ванны расплава.

По результатам проектирования печи в пояснительной записке к курсовому проекту необходимо предоставить эскиз печи и её 3D-модель, созданную в пакетах Компас-3D, AutoCAD, SolidWorks, также данные материалы должны быть сданы преподавателю в электронном виде (файл проекта).

21

2.4 Согласование индуктора с источником питания

После выполнения электрических расчетов многовиткового индуктора необходимо согласовать работу индукционной печи с холодным тиглем и высокочастотного генератора.

Индуктивность индуктора с учётом расплава и холодного тигля равна:

 

 

 

 

 

L =

x

,

(2.1)

 

 

 

 

 

 

 

 

 

 

 

и

ω

 

 

 

 

 

 

 

 

где ω = 2π f =

 

1

 

угловая частота тока параллельного контура, настро-

 

 

 

 

 

 

 

LC

енного в резонанс, х– эквивалентное реактивное сопротивление индуктора.

В начале необходимо определить оптимальную емкость конденсатор-

ной батареи Cкб:

Cкб =

1

.

(2.2)

ω2L

 

и

 

Высокочастотный генератор снабжается конденсаторной батареей, состоящей из нескольких десятков или сотен конденсаторов. Один или несколько из них могут быть переменной ёмкости. Эти конденсаторы необходимы для регулирования емкости конденсаторной батареи в процессе плавки с целью стабилизации частоты тока индуктора. Расчётная емкость конденса-

торной батареи Cкб должна укладываться в середину допустимого диапазона регулирования емкости штатной конденсаторной батареи. Например, если конденсаторная батарея имеет неизменную емкость 5000 пФ и переменную ёмкость 1000 пФ, то необходимо выполнить расчёт таким образом, чтобы емкость Cкб была близка к значению 5500 пФ.

Обычно на высоких частотах регулирование ёмкости конденсаторной батареи производится при помощи переменного вакуумного конденсатора. Выбор вакуумных конденсаторов обусловлен достаточно высокой рабочей частотой и высокими рабочими напряжениями, а также электрическими свойствами самих конденсаторов.

Если расчётная емкость конденсаторной батареи меньше/больше значения, необходимого для обеспечения нужной резонансной частоты колебательного контура, то необходимо увеличить/уменьшить число витков индуктора. Увеличение/уменьшение числа витков индуктора приведёт к изменению его индуктивности. После выбора геометрических параметров индукто-

22

ра и его индуктивности необходимо выполнить перерасчет его электрических параметров.

После определения емкости конденсаторной батареи и индуктивности индуктора, опираясь на формулы (2.1) и (2.2) необходимо вычислить диапазон регулирования резонансной частоты колебательного контура, т. е. мини-

мально возможное значение частоты тока индуктора fmin и максимальное fmax. Рабочая частота тока должна входить в разрешенный диапазон частот.

В случае использования для построения конденсаторной батареи вакуумных конденсаторов, которые практически не имеют потерь проводимости, одним из основных параметров согласования является их согласование по току.

Ток, протекающий через конденсаторную батарею:

Iкб = Uкб , xкб

где Uкб – напряжение на конденсаторной батарее; xкб = 1 / ω × Скб – реактивное сопротивление конденсаторной батареи. Далее, опираясь на схему включения конденсаторов, необходимо определить ток, протекающий по каждому из конденсаторов. После определения тока, протекающего через каждый конденсатор, необходимо сравнить полученное значение тока с номинальным током каждого из конденсаторов, представленным в паспорте. Номинальный ток должен превышать реальный ток более чем в 2 раза.

Кроме того, проверяется работа каждого конденсатора на номинальное напряжение, указанное в его паспорте. Оно должно быть больше рабочего напряжения на 20 … 30 %.

Колебательная мощность выбирается большей или равной номинальной мощности, необходимой для работы печи из ряда выпускаемых промышленных генераторов.

2.5 Расчет системы охлаждения Характерной особенностью плавильных устройств с холодными тиглями

является система водяного охлаждения, к которой предъявляются повышенные требования. В частности, система должна обеспечить работу тигля даже в условиях безгарнисажной плавки и при значительных перегревах расплава.

В стационарном тепловом состоянии соотношение между лучистыми потерями с поверхности расплава и потерями теплопроводностью через гар-

23

нисаж к воде зависит от температуры расплава, площади поверхности расплава и площади внутренней поверхности ванны. Потери теплопроводностью составляют большую часть и снимаются охлаждающей водой. Лучистые потери, в зависимости от конструкции тигля, либо рассеиваются в окружающем пространстве, либо падают на стенки тигля и также должны быть сняты водой.

Цель расчета и конструирования системы охлаждения состоит в обеспечении условий для снятия выделяющегося в тигле тепла при заданном давлении воды в напорной системе при начальной температуре t1 и допустимом повышении температуры на выходе воды t1 при допустимом повышении температуры стенки тигля t2.

2.5.1 Расчет системы охлаждения индуктора Индуктор нагревается током, проходящим по нему, и теплом, теряе-

мым через зазоры между секциями холодного тигля. В дальнейшем для расчёта системы охлаждения индуктора будет учитываться только мощность электрических потерь в индукторе P1e.

Исходными данными для расчёта являются:

1.Электрические потери в индукторе P1e.

2.Кинематическая вязкость воды μ ' .

3.Температура воды на входе t1.

4.Максимальная температура воды на выходе t2.

5.Коэффициент шероховатости первого рода kш.

6.Удельная теплоёмкость воды cv.

7.Толщина стенки трубки индуктора ∆b1.

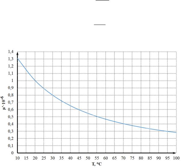
Значения кинематической вязкости воды μ ' в зависимости от темпера-

туры определяются по графику, представленному на рисунке 2.5. Значение

μ ' определяют для средней температуры:

t = (t1 + t2 ) .

2

Расход воды, требуемый для охлаждения индуктора:

W1 = Sb1v1 ,

где v1 – скорость охлаждающей воды; Sb1 – площадь отверстия трубки индуктора, по которому течет вода:

24

 

b − 2

b1

2

Sb1

= π

1

.

2

 

 

 

 

 

Минимальный расход воды необходимый для отвода мощности P1e находят из выражения:

 

=

P

 

 

W1

1e

.

cv (t2

t1)

 

 

 

Проверка на турбулентность осуществляется на основе критерия Рейнольдса Re1:

= v1Dg1

Re1 μ ,

'

где Dg1 – гидравлический эквивалент диаметра:

Dg1 = 4Sb1 ,

Fb1

где Fb1 – внутренний периметр трубки индуктора.

Рис. 2.5 – Зависимость кинематической вязкости от температуры

Для индуктора из круглой трубки получим, что гидравлический диаметр Dg1 равен диаметру отверстия трубки индуктора.

25