Статья: К вопросу о возможности безопорного движения

Внимание! Если размещение файла нарушает Ваши авторские права, то обязательно сообщите нам

К вопросу о возможности безопорного движения















К вопросу о возможности безопорного движения


О.Ф. Меньших

Где находится центр инерции любой замкнутой механической системы (ЗМС) в инерциальной системе отсчёта (ИСО), не имеет никакого значения с позиции закона сохранения импульса силы, и положение центра инерции в ИСО может быть любым. С другой стороны, традиционная физика утверждает, что на основании закона сохранения импульса невозможно изменить положение центра инерции ЗМС лишь под действием внутренних сил. Эти два постулата содержат в себе некоторое противоречие. Последнее указанное утверждение конечно, верно, но при условии, что такая сила, действующая на ЗМС изнутри неё, вызывает равную по величине и противоположно направленную силу противодействия, так что эти силы уравновешивают друг друга, если они действуют ОДНОВРЕМЕННО, и такая система не может изменить положение своего центра инерции в ИСО. Это к тому же прямо согласуется с третьим законом Ньютона.

Однако представляется неверным утверждать, что ЗМС не может изменить положение своего центра инерции под действием внутренних сил, не нарушая закон сохранения импульса, если эти силы - действия и противодействия - приложены изнутри к такой системе в РАЗНОЕ ВРЕМЯ, например, внутренняя сила действия возникает РАНЬШЕ внутренней силы противодействия. Такая ситуация случилась вблизи берегов Японии, когда мощная ударная волна [1-6] обрушилась на Фукусиму значительно раньше, чем она дошла до берегов Америки через Тихий океан, и это привело к незначительному изменению темпа вращения Земли, которую можно было рассматривать как ЗМС.

В данном случае нарушился закон сохранения момента импульса под воздействием неуравновешенных внутренних моментов сил действия и противодействия, которые были приложены изнутри ЗМС, но в разное время. Само же изменение момента импульса, вызвавшее изменение темпа вращения Земли, было обусловлено потерями ударной волны при её дальнем распространении до американского континента. Приборы это изменение угловой скорости вращения Земли точно зафиксировали, что строго доказывает наличие ограничений в применении также и закона сохранения момента импульса для ЗМС.

Аналогично это относится и к ограничению в применении закона сохранения импульса для ЗМС, что демонстрируется следующим примером. Пусть полый эллипсоид заполнен не проводящей электрический ток жидкостью. В один из фокусов такого полого эллипсоида со значительным его эксцентриситетом, то есть при достаточно большом расстоянии между его двумя фокусами, установлен закреплённый изолированно от корпуса этого эллипсоида электрический разрядник, например, в виде двух проводящих шаров, к которым подключён генератор высоковольтных импульсов с выходным звеном на базе непрерывно заряжаемого конденсатора ёмкостью С через резистор с активным сопротивлением R от высоковольтного источника с постоянным напряжением U. Заряд конденсатора происходит по формуле

u(t) = U [1 - exp (- t / RC)].

Будем полагать, что электрический пробой в разряднике происходит при достижении между шарами разрядника напряжения U* < U, то есть через интервал времени ΔТ от начала заряда. Тогда интервал ΔТ находится из выражения

ΔТ = R C│ln (1- U* / U)│.

При определённой комбинации этих параметров легко можно задать требуемую частоту искрообразования в разряднике. При этом энергия разряда находится из выражения W = C U*2 / 2, и при этом возникает мощная ударная волна, исходящая от центра разрядника и распространяющаяся квазисферически, притом с одинаковой интенсивностью как в направлении ближней от данного фокуса эллипсоида, так и к его дальней стенке. При этом очень важно отметить, что такая квазисферичность распространения ударной волны не оказывает никакого силового действия на корпус полого эллипсоида в момент зарождения ударной волны. То есть в момент разряда при t = 0, повторяющегося через интервалы ΔТ, то есть изнутри такого эллипсоида никакая сила на него не действует при возникновении ударной волны.

Задаваясь расстоянием между фокусами полого эллипсоида, равном 2 с (см рис.1), и скоростью распространения ударной волны в используемой жидкости V (скоростью звука в данной однородной жидкости), легко понять, что наибольшее различие во времени действия ударной волны на конечные точки противоположных стенок эллипсоида (вдоль его большой оси), расположенные спереди и сзади от вертикального сечения эллипсоида, ортогонального его большой оси и проходящего через электроразрядник (то есть фокус эллипсоида), будет приблизительно равно

ΔТ* = 2 с / V.

Если длительность импульсного разряда принять равной ΔtИ, то величину интервала между смежными импульсами разряда в предельном случае можно выбрать по условию ΔТ = ΔТ* + ΔtИ. Длительность импульса разряда оценивается как

ΔtИ = 2,2 rp C,

где rp - среднее значение сопротивления разрядного промежутка в разряднике в процессе разряда. Величина полезной мощности, расходуемой на возникновение периодически следующих ударных волн, равна

Р = W / ΔT,

причём половина мощности Р затрачивается на ударно-волновой процесс, распространяющийся к передней части корпуса эллипсоида, а другая половина - к его задней части относительно указанного вертикального сечения, проходящего через фокус эллипсоида.

Первой частью этой мощности создаётся периодически действующая с частотой F = 1 / ΔТ сила, движущая ЗМС в направлении действия этой силы, и при этом система массой m перемещается в направлении, совпадающем с большой осью эллипсоида, а вторая часть указанной мощности реализует остановки ЗМС, и при этом интегрально соблюдается закон сохранения импульса. Строго говоря, это утверждение верно только для случая, когда не учитываются малые потери движущейся ударной волны в жидкости. На самом деле такие потери, безусловно, имеют место, и их величина определяется вязким трением для применяемой жидкости. При этом энергия этих потерь на трение переходит по закону сохранения энергии в выделяющееся в жидкости тепло, и вся система при этом нагревается. Пондеромоторные силы, возникающие при теплоизлучении ЗМС во внешнее пространство, не создают какого-либо изменения импульса в данной системе, поскольку их равнодействующая равна нулю при условии равномерного распределения по корпусу эллипсоида температуры при его движении. .

Согласно закона сохранения энергии для элементарного скачка такой ЗМС можно записать выражение m v12 / 2 = Ф(η) β W / 2, где m - масса ЗМС, v1 - конечная скорость движения ЗМС вдоль большой оси эллипсоида от действия той части энергии ударной волны, которая создаёт ускоренное движение ЗМС, Ф(η) - безразмерная функция потерь энергии ударной волны в заданной жидкой среде, η - экстинкция в данной жидкой среде, обусловленная, главным образом, вязким трением молекул жидкости, и β = cos γ ≤ 1 - некоторый безразмерный коэффициент, учитывающий косое действие сил давления от ударной волны на стенки эллипсоида по отношению к его большой оси с отсчётом этого угла против часовой стрелки (об угле γ будет указано ниже).

Рассмотрим значение величины Ф(η). Известно, что для заданного значения расстояния 2с между фокусами эллипсоида можно провести бесчисленное множество таких фигур, Поэтому следует задаться длиной 2а большой оси. Тогда расстояние между фокусом, где установлен разрядник, и ближней частью передней стенки эллипсоида находится из равенства ε1 = а - с, а расстояние между этим же фокусом и дальней точкой задней стенки эллипсоида равно ε2 = а + с. Отношение этих расстояний ε2 / ε1 = (а + с) / / (а - с) оказывается достаточно большим при эксцентриситете е = с / а < 1 эллипсоида, близким к единице. Д

Для оценки функции потерь Ф(η) рассмотрим применительно к эллипсу (рис. 1), как находится длина вектора s (γ), проведённого из рассматриваемого фокуса эллипса к любой произвольной точке М(х,у), лежащей на этом эллипсе. Начало декартовой системы координат при этом совмещено с центром симметрии эллипса, то есть в точке пересечения его большой 2а и малой 2b осей, совпадающих соответственно с координатными осями х и у. Как известно, параметрическое задание эллипса имеет вид: х = а cos α и у = b sin α, где а и b - соответственно его большая и малая полуоси с коэффициентом сжатия эллипса k = b / a < 1. Тогда модуль вектора

s (γ) = [(c - x)2 + y2]1/2 = [(c - a cos α)2 + b2 sin2 α]1/2.

Связь между углами α и γ находится из системы двух независимых уравнений у = b sin α , а также

у = (c - a cos α) tg (π - γ) = (c - a cos α) tg γ,

откуда

γ = arctg [b sin α / (c - a cos α)].

Рис. 1

Так при α = 0 угол γ = 0, и модуль вектора s (0) = a - c. При γ = π / 2 вектор s(π / 2) лежит в вертикальном сечении, разделяющим эллипс (и эллипсоид) на его переднюю и заднюю части, а его модуль задан выражением s (π / 2) = a sin [arcos (c / a)] = (a2 - c2) 1/2. Очевидно, что при γ = π модуль вектора s (π) = а + с. Понятно, что разница s (π ) - s (0) = = 2с, а их отношение s (π) / s (0) = (а + с) / (а - с) > > 1. Для γ = 0 имеем

s (π / 2 ) / s (0) = = (а2 - с 2)1/2 / (а - с) > 1.

В общем случае длина вектора s (γ) в диапазоне углов 0 ≤ γ ≤ π вычисляется достаточно сложным образом как функция исходных параметров а, b и c, определяющих эксцентриситет и коэффициент сжатия эллипса, и угла γ. Это даётся параметрическим описанием эллипса годографом вектора s (γ), исходящего из фокуса эллипса при повороте этого вектора по углу γ в диапазоне 0 ≤ γ ≤ π, с последующим зеркальным отображением этой кривой для диапазона углов π ≤ γ ≤ 2π. То же относится и к эллипсоиду - телу вращения эллипса относительно его большой оси 2а в диапазоне угла вращения ε* от нуля до 2 π.

Зная потери энергии ударной волны при её распространении в вязкой жидкости с величиной экстинкции η, которые линейно растут с ростом модуля вектора s (γ), и путём интегрирования их раздельно для передней части эллипсоида, то есть в диапазоне углов 0 ≤ γ ≤ π / 2, а также для задней его части, то есть в диапазоне углов π / 2 ≤ γ ≤ π, можно оценить заметное различие величин этих потерь.

Энергия dW(γ)О ударной волны, сосредоточенная в некотором дифференциальном телесном угле dψ, центрально ориентированном по углу γ, и исходящая при разряде из указанного фокуса эллипсоида, определяется некоторой функцией распределения G(γ) плотности потока энергии по углу с максимумом при γ = 0 или γ = π - соответственно для прямой или обратной части ударной волны в вязкой жидкости, заполняющей данный эллипсоид. Так как полная энергия разряда и, следовательно, возникающей ударной волны равна W, то для дифференциального её значения имеем dW(γ)О = G(γ) W dψ.

Нетрудно понять, что пара двукратных интегралов:


где 0 ≤ ε* ≤ 2π, физически обосновывает собой исходное утверждение об отсутствии силовой реакции на корпус эллипсоида со стороны закреплённого на нём разрядника (то есть силы действия и противодействия в разряднике взаимно уравновешивают друг друга, действуя при этом ОДНОВРЕМЕННО, согласно третьему закону Ньютона). 

Таким образом, искомая функция, определяющая потери ударной волны в жидкой среде эллипсоида, имеет вид:

Ф(η) = 1 - η*s(γ) = 1 - [(c - a cos α)2 + b2 sin2 α]1/2

при учёте известной связи между углами γ и α, а также заданных значений величин а, b и с.

При распространении ударной волны в каждом из множества её телесных углов dψ дифференциал энергии dW(γ), доходящей до соответствующего участка стенки корпуса эллипсоида, оказывается меньшим исходного значение dW(γ)О за счёт вязких потерь на пути длиной s(γ), что можно записать в виде

dW(γ) = [1 - η s(γ)] dW(γ)О.

Эта порция энергии отвечает действующей на данную дифференциальную площадку корпуса силе в направлении угла γ, в результате чего в направлениях, коллинеарных большой оси 2а эллипсоида, возникают дифференциалы сил

dF(γ) = ξ dW(γ) cos γ,

где ξ - постоянный множитель размерностью (ньютон / Джоуль) = ( 1 / метр), и эти силы - суть проекции действующих на данные дифференциальные участки корпуса эллипсоида на его ось 2а.

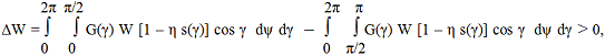
Тогда легко понять, что разность двукратных интегралов оказывается больше нуля:


Проекции сил ξ dW(γ), на малую ось эллипсоида взаимно уравновешивают друг друга и не рассматриваются в качестве движущих или тормозящих реакций рассматриваемой ЗМС.

Разностная энергия ΔW превращается в тепловую по закону сохранения энергии и может излучаться в окружающее пространство, не создавая силовой реакции на ЗМС, поскольку алгебраическая сумма всех пондеромоторных сил равна нулю, как указывалось выше, при равномерном распределении температуры по корпусу эллипсоида за счёт имеющегося процесса теплопроводности. Неравенство ΔW > 0 просто объясняется несимметрией расположения импульсного разрядника в эллипсоиде - в его фокусе, отстоящем от центра симметрии эллипсоида на расстоянии с < а.

Учитывая, что функция распределения плотности потока энергии в ударной волне по углу её распространения γ не является П-образной, то есть когда G(γ) = var (γ) и имеет очевидный максимум при γ = 0 или при γ = π, а также что импульс разряда ΔtИ, которым возбуждается ударная волна квазисферической структуры, является существенно более коротким по сравнению с задержкой ΔТ* = 2 с / V, что всегда выполнимо практически, можно утверждать, что силовое действие ударной волны на переднюю часть эллипсоида, то есть в диапазоне углов 0 ≤ γ ≤ π / 2, движущее ЗМС вперёд по оси х, заканчивается несколько раньше, чем начинается силовое действие ударной волны на заднюю часть этой конструкции, то есть в диапазоне углов π / 2 ≤ γ ≤ π, тормозящую ЗМС вдоль этой же оси х и стремящееся эту систему остановить в силу закона сохранения импульса в его интегральном представлении, то есть с учётом РАЗНОВРЕМЕННОСТИ действия на ЗМС внутренних сил действия F1(t) и противодействия -F2(t).

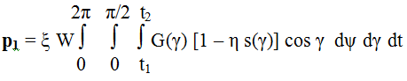
Полагая при этом, что сила - F2(t) торможения ЗМС начинается непосредственно после завершения силы её ускорения F1(t), что обеспечивается соответствующим выбором эллипсоида, в частности, выбором его параметра с, можно рассчитать раздельно результирующие импульсы действия р1 на ЗМС, приводящие её в ускоренное движение вдоль оси х, и импульсы противодействия р2, которыми ЗМС тормозится (до полной остановки, если бы экстинкция жидкой среды была бы равна нулю, т.е. при η = 0, что отвечало бы соблюдению закона сохранения импульса в его интегральной интерпретации).

Соответствующие значения указанных импульсов находятся из выражений:


для 0 ≤ γ ≤ π / 2 , при t1 = s(0) / V и при t2 = [s(π / 2) / V] + ΔtИ,


Под действием импульса р1 ЗМС массой m будет двигаться ускоренно и получит конечную скорость движения в конце действия этого импульса, то есть в момент времени t2, равную v1 = р1 / m в соответствии со вторым законом Ньютона. При этом центр инерции ЗМС переместится вдоль оси х на некоторое расстояние ΔХ > 0. И это перемещение происходит под действием внутренней движущей силы, пока ещё не уравновешенной силой противодействия в связи с её запаздыванием во времени.

В соответствии с первым законом Ньютона ЗМС стремится сохранить своё состояние движения со скоростью v1 по инерции, однако этому мешает возникающая сила торможения с полным импульсом р2 противоположного знака. Если бы модули импульсов р1 и р2 были бы одинаковы по их величинам (при η = 0), то ЗМС перемещалась бы в пространстве скачкообразно, то есть с наличием полных остановок после скачков. При частоте следования импульсов разряда F = 1 / ΔT такая ЗМС перемещалась бы вдоль оси х поступательно со средней скоростью

VСР.ДВ. = F ΔХ.

При достаточно высокой частоте F следования импульсов разряда такое движение визуально выглядело бы практически как «равномерное» во времени.