Материал: фазовая проницаемости коллекторов нефти

Внимание! Если размещение файла нарушает Ваши авторские права, то обязательно сообщите нам

СПБГУАП группа 4736

частичном водонасыщении соответственно.

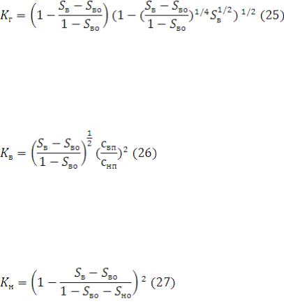
Соответственно относительная проницаемость для газа рассчитывается по формуле:

В системе нефть-вода относительная проницаемость для воды определяется из соотношения:

Соответственно, относительная проницаемость для нефти вычисляется по формуле:

Следует отметить, что приведенные соотношения выведены для гидрофильных пород с межзерновой пористостью, когда реализуется процесс впитывания в процессе фильтрации.

Сопоставление ОФП, полученных различными методами

В качестве примера на рис. 9 приведены кривые ОФП, полученные по образцам керна из пласта АВ2-3 Самотлорского месторождения методами стационарной фильтрации и вытеснения. При использовании метода вытеснения применялись режимы вытеснения нефти водой и воды нефтью.

Как видно из рис. 9, наибольшее расхождение отмечается между ОФП для нефти. ОФП для воды, полученные методом вытеснения,

характеризуются более высокими значениями в диапазоне насыщенности,

СПБГУАП группа 4736

где наблюдается двухфазный поток.

На рис. 10, а приведено сопоставление кривых ОФП, полученных методом стационарной фильтрации и рассчитанных по кривой капиллярного давления для образца кварцевого песчаника (m=22,4%, К=0,84мкм2).

Отмечается, что экспериментальная кривая ОФП для нефти хорошо согласуется с рассчитанной по кривой капиллярного давления, тогда как кривые ОФП для воды существенно различаются.

Причиной расхождения кривых ОФП является использование осредненных зависимостей (22) и (23) для расчета ОФП по кривым капиллярного давления.

По-видимому, для данного типа пород требуется корректировка указанных зависимостей путем подбора соответствующих коэффициентов в расчетных формулах.

Определение фазовых проницаемостей при фильтрации нефти, газа и

воды

Трехфазная фильтрация нефти, газа и воды может иметь место при разработке нефтяных месторождений с применением закачки газа и водогазовых смесей, нефтегазовых месторождений (особенно с обширными подгазовыми и водонефтяными зонами) и в других случаях, когда в пласте одновременно находятся нефть, газ и вода. Данные о проницаемости для трех фаз необходимы для проектирования методов воздействия на продуктивный пласт - заводнения при давлении ниже давления насыщения, циклической закачки газа, закачки пара, внутрипластового горения и др.

Совместное течение в пласте одновременно трех фаз является наиболее сложным вопросом подземной гидродинамики, его экспериментальное изучение сопряжено с целым рядом трудностей методического и технического характера.

Определение фазовых проницаемостей при совместной установившейся фильтрации нефти, газа и воды. Методика определения фазовых проницаемостей для системы нефть-газ-вода разработана на основе

СПБГУАП группа 4736

анализа результатов опубликованных работ и собственных исследований авторов обзора с учетом современного уровня развития экспериментальной техники и представлений о процессах, происходящих при течении флюидов в реальных пластах.

Методика определения ОФП при совместном течении нефти, газа и воды основывается на тех же положениях, что и методика для случая двухфазной фильтрации. Поэтому ниже рассматриваются лишь характерные особенности методики при трехфазной фильтрации.

Как и в случае двухфазной фильтрации, определение ОФП при совместной установившейся фильтрации нефти, газа и воды проводится с использованием составных образцов из кернов изучаемого месторождения,

причем подготовка образца к эксперименту совершенно аналогична.

Важной особенностью подготовки рабочих флюидов является предварительное насыщение нефти и воды пластовым газом (или его моделью), что исключает массообмен газом между нефтью и водой в процессе фильтрации через образец.

В качестве модели газа могут использоваться индивидуальные углеводородные газы и азот.

Поскольку нефть и вода насыщены газом, возникают определенные трудности с определением их вязкости в пластовых условиях. Для этой цели необходимо использовать вискозиметры высокого давления либо применять расчетные методы.

При подготовке эксперимента определяется растворимость газа в нефти и воде, которая учитывается в последующем при определении объемов вышедших флюидов.

Более сложную, по сравнению с двухфазной, конструкцию имеет лабораторная установка, принципиальная схема которой показана на рис. 11.

В состав механической системы, обеспечивающей подачу флюидов в образец, входит еще один пресс (дозировочный насос), который служит для закачки в образец газа. На выходе из кернодержателя имеется система

СПБГУАП группа 4736

сепарации и замера объема нефти, воды и вышедшего газа (в том числе выделившегося из жидкостей).

На гидравлических линиях, по которым нефть, газ и вода подаются из прессов непосредственно в образец, устанавливаются обратные клапаны для предотвращения возможных перетоков фаз по линиям.

Поскольку при трехфазной фильтрации необходимо определять насыщенность как минимум двух фаз, то компоновка образца предусматривает замер не только перепада давления и электрического сопротивления, но и скорости продольных ультразвуковых волн, которая тесно связана с насыщенностью газом исследуемого участка. При этом акустические датчики располагаются в выбранном сечении образца на том же участке, где замеряются другие параметры.

Газонасыщенность можно также определить снятием PV - диаграмм,

повышая или снижая давление в образце, когда он изолирован от других систем. В ряде случаев хорошие результаты дает метод определения насыщенности по балансу закачанных и вышедших жидкостей.

Предпочтительнее в экспериментах использовать оба метода контроля газонасыщенности в комплексе, поскольку они дополняют друг друга и тем самым повышается точность определения.

Особенностью методики определения ОФП для трехфазной системы нефть-газ-вода является проведение эксперимента при давлении не ниже 5,0

МПа, что позволяет не учитывать изменение объема газа при течении через образец, поскольку перепад давления не превышает 10% от рабочего давления (Кундин С.А., 1960).

Линейная скорость течения фаз в эксперименте для трехфазного течения рассчитывается по формуле

СПБГУАП группа 4736

где Sго - остаточная газонасыщенность, соответствующая пластовым условиям, доли единицы (остальные обозначения приведены выше).

При проведении эксперимента по определению ОФП для системы нефть-газ-вода число опытов (режимов) существенно возрастает и может быть различным в зависимости от задач исследований.

Значения фазовых и относительных проницаемостей определяются из уравнения Дарси как и для случая двухфазной фильтрации, причем расчеты значительно упрощаются, если расходы фаз замеряются при рабочем давлении по показаниям прессов.

Для качественной оценки полученных результатов строят тройные диаграммы, а для дальнейшего использования данных об ОФП в технологических расчетах результаты представляются в виде двухпараметрических таблиц.

Оценка ОФП для системы нефть-газ-вода по данным о двухфазной

фильтрации

Экспериментальное определение фазовых проницаемостей по керну для случая трехфазного насыщения позволяет получить наиболее достоверные результаты, однако этот процесс является сложным и трудоемким. Вместе с тем для оценки ОФП при трехфазном насыщении можно воспользоваться данными о двухфазной фильтрации, полученными для систем нефть-вода и газ-вода, экспериментальное определение которых значительно проще.

Известен рад эмпирических зависимостей, позволяющих оценивать относительные фазовые проницаемости для нефти, газа и воды при различном их соотношении. Наилучшее согласие с известными экспериментальными данными дают расчеты, выполненные по модели,

предложенной Х.Л. Стоуном (1973 г.).

При этом предполагается, что при трехфазном насыщении породы фазовая проницаемость для воды (смачивающая фаза) и фазовая