Материал: фазовая проницаемости коллекторов нефти

Внимание! Если размещение файла нарушает Ваши авторские права, то обязательно сообщите нам

СПБГУАП группа 4736

проницаемость для газа (несмачивающая фаза) являются функциями только их собственных насыщенностей, поскольку они занимают в поровом пространстве коллектора соответственно наименьшие и наибольшие поры.

Данное предположение подтверждается результатами экспериментов,

проведенных на образцах песчаников.

Вследствие этого значения относительных проницаемостей для воды и газа как функции их собственных насыщенностей будут одинаковыми как при двухфазном, так и при трехфазном насыщении порового пространства.

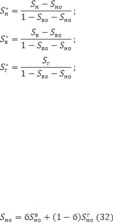
Относительная проницаемость для нефти в случае трехфазного насыщения будет зависеть не только от собственной насыщенности, но и от соотношения насыщенностей газом и водой.

Определение ОФП для нефти при трехфазном насыщении по данным об ОФП для двухфазного течения сводится к следующему.

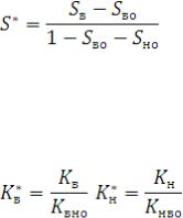
Для системы нефть-вода определяются соответствующие зависимости

ОФП:

Верхний индекс «в' в формуле означает, что величина ОФП для нефти определялась для системы нефть - вода.

Определяются также ОФП для системы газ - нефть при остаточном неизменяемом насыщении водой:

Тогда зависимость ОФП для нефти от насыщенности водой и газом можно рассчитать по формуле:

СПБГУАП группа 4736

где Кнво - относительная проницаемость для нефти в системе нефть -

вода при остаточном водонасыщении;

Sно - параметр остаточной нефти.

Поскольку количество остаточной нефти будет различным в зависимости от того, чем будет вытесняться нефть (водой или газом), то необходимо коррелировать величину Sно в зависимости от степени газонасыщения. В первом приближении можно воспользоваться следующим уравнением:

где - остаточное нефтенасьпцение, полученное соответственно для систем нефть-вода и нефть-газ.

При Sг = 0°С б= 1, при Sв = Sвo б= О; в связи с этим . Таким образом, на основании экспериментальных данных по

двухфазной фильтрации для систем нефть-вода и нефть-газ, используя соотношение (31) можно рассчитать относительную проницаемость для нефти при трехфазном насыщении.

СПБГУАП группа 4736

3. Использование данных о фазовых проницаемостях нефти и газа

Как уже отмечалось, данные об ОФП находят применение при решении широкого круга нефтепромысловых задач (оценки кондиций переходных зон пластов, анализа разработки, расчета технологических схем и методов контроля разработки нефтяных пластов, прогнозирования характера притока при испытании скважин и обоснования кондиционных пределов петрофизических свойств коллекторов и др.). Остановимся на рассмотрении некоторых из них.

Данные об ОФП характеризуют объем порового пространства,

обеспечивающий проницаемость. Они позволяют оценить величину динамической пористости, т.е. объем пор, в котором осуществляется фильтрация.

Актуальным является использование данных об ОФП для установления геофизических критериев продуктивного коллектора и прогнозирования характера притока из пластов.

На основании изучения образцов керна получают значения ОФП,

отображающие конкретные свойства исследованных образцов. Если изучаемый пласт рассматривается как однородный, то необходимо произвести осреднение значений ОФП, полученных по керну.

Одним из приемов осреднения может служить следующий подход

(Крейг Ф.Ф., 1974). Для получения средней кривой ОФП по семейству кривых определяют среднеарифметические значения насыщенности для одинаковых значений относительных проницаемостей и с учетом средних значений насыщенности остаточной водой и остаточной нефтью строят кривую ОФП для средней проницаемости пласта.

Часто в экспериментах не удается достичь значения остаточной водонасыщенности, соответствующей пластовому значению. Для корректировки экспериментальных данных ОФП служит способ,

СПБГУАП группа 4736

предложенный в работе Оуэнса и Арчера.

При этом считается, что ОФП для нефти достигает значения 1,0 при пластовом значении Sво. Значения ОФП для воды и остаточной нефтенасыщенности (Sно), полученные экспериментально, соответствуют пластовым значениям. Откорректированные кривые ОФП для пласта по форме подобны экспериментальны м.

Другой способ сравнения данных ОФП, полученных для различных литологических типов пород, предложен Р. Коллинзом (1964 г.). Согласно этому методу кривые ОФП строятся в нормированных координатах.

Нормированные значения водонасыщенности определяются из выражения:

Соответствующие нормированные значения ОФП имеют вид:

где Kнво и Kвно - относительные проницаемости для нефти и воды соответственно при остаточной водо- и нефтенасыщении.

Тогда ОФП, полученные для образцов, обладающих подобной структурой порового пространства, в нормированных координатах будут описываться единой кривой.

На рис. 3 а) приведены зависимости ОФП от водонасыщенности для образцов песчаника из пластов АБ2-3 Самотлорского месторождения.

Положение кривых ОФП для нефти на графике определяется абсолютной проницаемостью образцов. Зависимости ОФП для воды характеризуются одной кривой.

Перестроив полученные кривые в нормированных координатах

СПБГУАП группа 4736

(рис. 15,6) можно отметить, что в этом случае экспериментальные точки, характеризующие ОФП различных образцов,

аппроксимируются едиными кривыми как для нефти, так и для воды. Это свидетельствует о том, что структуры порового пространства исследованных образцов подобны.

Последнее обстоятельство позволяет использовать зависимости ОФП,

построенные в нормированных координатах, для расчета ОФП образцов с абсолютной проницаемостью, отличных от исследованных и обладающих подобной структурой порового пространства.

Зависимости ОФП от насыщенности являются исходными данными при расчете технологических показателей разработки месторождений нефти и газа. В частности, при многофазной фильтрации необходимы ОФП для системы нефть - газ - вода либо ОФП для нефти и газа при остаточной водонасыщенности в комплексе с ОФП для нефти и воды в присутствии остаточного газа.

При использовании ОФП в гидродинамических расчетах показателей разработки необходимо учитывать неоднородность пласта.

Наиболее правильно определять ОФП для условий каждого пропластка

(объекта разработки). Однако это требует больших затрат времени на экспериментальные работы и, кроме того, необходимого количества представительного керна из всех пропластков.