Материал: фазовая проницаемости коллекторов нефти

Внимание! Если размещение файла нарушает Ваши авторские права, то обязательно сообщите нам

СПБГУАП группа 4736

СПБГУАП группа 4736

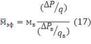
где - соответственно вязкость, перепад давления и расход воды в опыте при определении абсолютной проницаемости образца.

По рассчитанным значениям средней эффективной вязкости воды и закачанным объемам воды в долях объема пор строится график зависимости

Как и при определении насыщенности выходного сечения образца,

проводятся касательные к кривой зависимости для заданных объемов закачки (рис. 7). Тогда точка пересечения касательной с осью ординат будет определять значение искомой эффективной вязкости согласно соотношению:

Также следует отметить, что эффективная вязкость на выходном сечении образца не изменяется до момента прорыва воды и остается равной начальному значению средней эффективной вязкости.

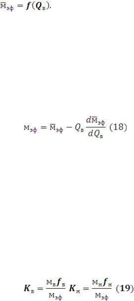
Таким образом, для заданных объемов закачки и определенных значений можно рассчитать относительные проницаемости по формулам:

Относительные проницаемости, определенные графическим методом,

соответствуют фазовым проницаемостям, отнесенным к проницаемости для воды при 100%-м водонасыщении.

Как уже отмечалось, относительные проницаемости, вычисленные по

СПБГУАП группа 4736

данным вытеснения, охватывают не весь диапазон изменения насыщенности,

а только его часть, соответствующую изменению водонасыщенности с момента прорыва воды до значения . Это ограничивает применение данного метода определения ОФП. В какой-то мере преодолеть это ограничение можно, если, например, в экспериментах использовать вязкие модели нефти и тем самым расширить диапазон изменения насыщенности,

где наблюдается двухфазный поток. Однако в этом случае не будет соблюдаться подобие по химико-физическому состоянию системы.

Для систем, где гистерезисные явления при перемене направления в изменении насыщенности проявляются слабо, можно проводить два опыта -

по вытеснению нефти водой и наоборот, что позволит построить полную кривую ОФП.

Расчетные методы определения ОФП

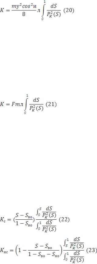
Для воспроизведения процессов совместного течения жидкостей в коллекторах с межзерновой пористостью широкое распространение получили капиллярные модели, в которых поровое пространство моделируется совокупностью капиллярных каналов. В зависимости от свойств моделируемой пористой среды и с целью более точного отражения их разработаны капиллярные модели различной степени сложности.

Наиболее простые из них представляют поровое пространство горных пород в виде пучка непересекающихся капилляров.

Рассмотрим простую капиллярную модель для расчета ОФП по кривой капиллярного давления.

Кривая капиллярного давления может быть получена способами ртутной порометрии, центрифугирования, полупроницаемой мембраны,

контактной эталонной порометрии и др.

Уравнение, предложенное У. Пурселлом (1949 г.), устанавливает связь между проницаемостью К, пористостью m и кривой капиллярного давления

:

СПБГУАП группа 4736

где л - литологический множитель, учитывающий различие форм капилляров и реальных поровых каналов.

Если для получения кривой капиллярного давления используется метод нагнетания ртути, то, приняв , формула (20) записывается в виде:

На основании сопоставления измеренных и расчетных значений коэффициента проницаемости было найдено среднее значение л, равное

0,216 (Амикс Д., Басс Д., Уайтинг Р., 1962).

Для расчета ОФП по данной капиллярной модели предполагается, что смачивающая фаза с ростом насыщенности последовательно заполняет поры от меньших к большим. Тогда формулы для расчета ОФП, дающие наиболее близкие к экспериментальным значения, имеют вид:

СПБГУАП группа 4736

Методика расчета ОФП по кривым капиллярного давления сводится к следующему. Экспериментально определенные кривые капиллярного

давления перестраиваются в функцию вида (рис. 8).

Для выбранных значений насыщенности рассчитывают значения соответствующих интегралов в формулах (22), (23). Причем значения

искомых интегралов соответствуют площади под кривой для заданных пределов интегрирования. Затем, задавая величины начальной водонасыщенности и остаточной нефтенасыщенности, вычисляют соответствующие относительные фазовые проницаемости.

Меньшее распространение получили методы расчета ОФП с использованием промысловых данных. Это вызвано неопределенностью в оценке распределения насыщенности в пласте, величин перепадов давления и дренируемых объемов.

Определение ОФП по данным геофизических исследований

скважин

На основании лабораторных определений ОФП на кернах пород была предложена методика расчета относительных фазовых проницаемостей по замерам удельного электрического сопротивления полностью и частично водонасыщенного образца.

Для известных значений остаточной водо- и нефтенасыщенности относительная проницаемость для воды в системе газ - вода вычисляется из соотношения:

где - удельное электрическое сопротивление при 100%-м и