Материал: фазовая проницаемости коллекторов нефти

Внимание! Если размещение файла нарушает Ваши авторские права, то обязательно сообщите нам

СПБГУАП группа 4736

поддержание пластовой температуры с точностью до +1°С. Для поддержания температуры применяются также системы электроподогрева и жидкостные термостаты (особенно при пластовых температурах более 75 ˚С).

Перепад давления измеряется высокоточными дифференциальными манометрами (ДМ), практически не имеющими «мертвых' объемов и исключающими отток жидкости из образца в систему дифманометра.

Для определения водонасыщенности образца наибольшее распространение получил 4-электродный электрометрический метод, причем в качестве электродов удобно использовать соединительные трубки,

которыми оборудован образец. В этом случае во избежание утечек тока на гидравлических коммуникациях ставятся электрические изоляторы. Более надежное измерение тока на рабочем участке образца обеспечивается применением измерительной электромагнитной катушки, внутрь которой помещаются образец и калибровочный проводник (рис. 5). Этот способ,

разработанный В.В. Покровским (1974 г.), позволяет определять значение тока на рабочем участке по величине электромагнитного поля, наводимого в катушке, представляющей собой ферритовое кольцо с обмоткой (ИК).

Предварительно проводится калибровка с помощью специального проводника (КП), через который подается ток различной величины.

Использование катушки позволяет измерять ток на рабочем участке даже при наличии шунтирующих утечек тока по гидравлическим соединениям.

Метод вытеснения

Другим способом определения фазовых проницаемостей на образцах керна является расчет значений ОФП по данным метода вытеснения (Эфрос Д.А., 1956; Джонсон Е.П., 1959), существенным преимуществом которого (по сравнению с методом стационарной фильтрации) является быстрота проведения опыта.

В основе расчетов лежит уравнение Баклея - Леверетта, описывающее процесс вытеснения нефти водой. При этом скорость вытеснения должна быть достаточно высокой (для подавления влияния капиллярных сил) и

СПБГУАП группа 4736

постоянной во всех сечениях модели. Это означает, что вытеснение должно проводиться при больших градиентах давления, а фазы должны быть несмешивающимися.

Разработан также аналитический метод расчета ОФП на основе экспериментов, проводимых при низких скоростях вытеснения и учитывающих изменение капиллярного давления при изменении насыщенности. Использование такого подхода для оценки ОФП дополнительно требует определения функции капиллярного давления для изучаемых образцов, что в целом усложняет методику.

Требования к подготовке образцов и принципиальная схема установки для проведения опытов практически остаются те же, что и для метода стационарной фильтрации.

Процедура проведения опыта по вытеснению заключается в следующем. Из нефтенасыщенного образца, содержащего остаточную воду,

нефть вытесняется водой. При этом в процессе вытеснения регистрируют во времени расход нагнетаемой воды q(t), объем вытесненной нефти Vн(t) и

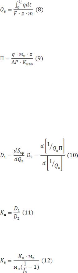
воды Vв(t) во времени и перепад давления на образце ДP(t). На основании замеренных параметров по следующим соотношениям рассчитываются фазовые проницаемости и соответствующие им насыщенности. Для заданного момента времени ti с начала вытеснения вычисляют:

среднюю водонасыщенность образца (доли единицы):

где Sво - начальная остаточная водонасыщенность, доли единицы;

VH - объем вытесненной нефти, см3;

F - площадь поперечного сечения образца, см2; z - длина образца, см;

m - пористость, доли единицы;

СПБГУАП группа 4736

объем закачанной воды в объемах пор:

параметр течения:

где мн - вязкость нефти, мПа·с;

Кнво - проницаемость по нефти при остаточной водонасыщенности,

мкм2 (замеряется при создании остаточной водонасыщенности в процессе подготовки опыта);

значения производных:

- относительную проницаемость по нефти:

относительную проницаемость по воде:

СПБГУАП группа 4736

где fв - доля воды в выходящем потоке, доли единицы;

- значения насыщенности выходного участка образца, которому соответствуют вычисленные проницаемости:

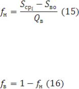
где fн - доля нефти в вышедшей продукции, доли единицы.

Вычисленные таким образом относительные проницаемости соответствуют фазовым проницаемостям, отнесенным к проницаемости по нефти при остаточном водонасышении Sво.

Известен также графический способ решения уравнений с целью расчета относительных фазовых проницаемостей по данным вытеснения,

который является наиболее простым.

Для опытов по вытеснению, выполненных при постоянной скорости вытеснения, последовательность расчетов фазовых проницаемостей заключается в следующем.

По формулам (7) и (8) вычисляются средняя насыщенность образца Sср

на различные моменты времени и соответствующие объемы закачанной воды

Qв. По вычисленным значениям Sср и Qв строится график зависимости

Sср=f(Qв).

Касательная, проведенная к полученной кривой для заданного объема закачки (в данном случае Qв= 0,30), позволяет определить насыщенность на выходном сечении образца согласно соотношению:

Действительно, точка пересечения касательной с осью ординат

СПБГУАП группа 4736

определяет величину насыщенности на выходном сёчении образца для данного объема закачки. Вертикальный отрезок АВ (рис. 6), образуемый точкой касания и горизонтальной линией, определяет величину второго слагаемого в уравнении (14).

Строя таким образом касательные к зависимости можно определить насыщенность выходного сечения образца для различных объемов закачки.

Следует отметить, что до момента прорыва воды зависимость прямолинейна, и все касательные будут отсекать на оси ординат значение насыщенности выходного сечения образца, равное начальной неснижаемой водонасыщенности .

Поскольку доля нефти в выходном потоке будет определяться наклоном касательной к построенной кривой (рис. 6), то для каждого закачанного объема воды можно вычислить:

Тогда соответственно доля воды:

Еще одним параметром, который необходим для определения относительной проницаемости, является эффективная вязкость выходного сечения образца. Для ее вычисления находят значение средней эффективной вязкости из соотношения: