Материал: Электроснабжение канализационной насосной станции

Внимание! Если размещение файла нарушает Ваши авторские права, то обязательно сообщите нам

Рисунок 5.2 - Схема замещения

5.2 Расчет параметров эквивалентной схемы замещения

Определим сопротивления ветвей:

 

 

 

 

 

 

 

 

 

 

Определим проводимости ветвей по формуле:

 


 


Определим эквивалентное сопротивление:

 

 

Определим эквивалентную ЭДС:

 

 

Эквивалентная схема замещения представлена на рисунке 5.3.

Рисунок 5.3 - Эквивалентная схема замещения

Определим пусковой ток:

 

 

Определим напряжение на выводах двигателя в начальный момент пуска:

 

 

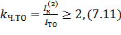
5.3 Определение возможности пуска двигателя

По условию необходимого момента вращения пуск двигателя обеспечивается, если выполняется условие:

 

где U*п2 - относительное напряжение на выводах двигателя в начальный момент пуска;

mп - кратностьначального пускового момента двигателя по отношению к номинальному;

mмех.0 - кратность начального момента сопротивления механизмапо отношению к номинальному.

Проверим возможность пуска двигателя, принимая, что условия пуска являются нормальными (mмех.0 = 0,5 [9]):

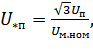
Значение U*п можно определить следующим образом:

 

 

 

Условие (5.10) выполняется, следовательно, пуск двигателя обеспечивается.

5.4 Проверка устойчивости работы предвключенного двигателя

Устойчивость работы предвключенного двигателя при снижении напряжения в момент пуска обеспечивается, если выполняется условие:

 

гдеmмах - максимальный момент вращения двигателя по отношению к номинальному;

mмех - момент сопротивления механизмапо отношению к номинальному, численно равный коэффициенту загрузки двигателя.

Проверим устойчивость работы предвключенного двигателя:

Условие (5.11) выполняется, следовательно, устойчивая работа предвключенного двигателя обеспечивается.

6 Выбор и проверка коммутационной аппаратуры

6.1 Выбор и проверка выключателей 6 кВ

Рассмотрим выбор выключателя, устанавливаемого на вводе 1-й секции распределительного устройства 6 кВ.

Выбор и проверка выключателей напряжением выше 1 кВ осуществляется по следующим критериям [2]:

Выбор по допустимому напряжению:

 

гдеUв.ном - номинальное напряжение выключателя, кВ;

Uном - номинальное напряжение сети, кВ;

Выбор по допустимому нагреву длительно протекающим максимальным рабочим током:

 

гдеIв.ном - номинальное ток выключателя, А;

Iр - максимальный рабочий (расчетный) ток, А;

Проверка выключателя по отключающей способности:

 

гдеIоткл - номинальный ток отключения выключателя, кА;

Iп0 - значение периодической составляющей тока КЗ, кА;

Проверка на электродинамическую стойкость:

 

гдеiпр.с - предельный сквознойток выключателя, кА;

iуд - значение ударного тока КЗ, кА;

Проверка на термическую стойкость:

 

гдеBк - номинальное значение теплового импульса выключателя, кА2∙ с;

Bк.р - расчетное значение теплового импульса в период КЗ, кА2∙ с;

 

 

гдеtоткл - длительность КЗ, с;

tр.з - время действия релейной защиты, с;

tо.в - полное время отключения выключателя, с;

 

гдеIт - номинальный ток термической стойкости выключателя, кА;

tт - номинальное значение времени термической стойкости выключателя, с;

Рассмотрим выбор выключателя, устанавливаемого на вводе 1-й секции распределительного устройства 6 кВ.

Выбираем выключательВВ/TEL-10-20/630-У2.Номинальные и расчетные параметры для выбора данного выключателя представлены в таблице 6.1.

Выполним проверку на термическую стойкость.

Длительность КЗ:

 

Расчетное значение теплового импульса в период КЗ:

 

Номинальное значение теплового импульса выключателя:

 

Таблица 6.1 - Выбор выключателя ВВ/TEL-10-20/630-У2

Критерий

Номинальные параметры

Расчётные параметры

Uв.номUс, кВ

10

6

Iв.номIраб.макс, А

630

286,69

IотклIп0, кА

20

15,19

Iпр.сiуд, кА

52

27,28

tо.в, с

0,25

-

tт, с

3

-

tр.з, с

-

0,1

BкBк.р, кА2∙с

1200

80,76


Выбор остальных выключателей производится аналогичным образом, результаты представлены в таблице 6.2.

Таблица 6.2 - Выбор выключателей

Обозначение на схеме

№ камеры КСО

Тип выключателя

Q1

2

ВВ/TEL-10-20/630-У2

Q2

4

ВВ/TEL-10-20/630-У2

Q3

5

ВВ/TEL-10-20/630-У2

Q4

7

ВВ/TEL-10-20/630-У2

Q5

11

ВВ/TEL-10-20/630-У2

Q6

12

ВВ/TEL-10-20/630-У2

Q7

13

ВВ/TEL-10-20/630-У2

Q8

15

ВВ/TEL-10-20/630-У2

QB

8

ВВ/TEL-10-20/630-У2


6.2 Выбор и проверка выключателей нагрузки 6 кВ

Выбор и проверка выключателей нагрузки осуществляется аналогично выбору высоковольтных выключателей, за исключением проверки на отключающую способность.

Рассмотрим выбор выключателя нагрузки для трансформатора Т1.

Выбираем выключатель нагрузки ВНР-10/630-20з

Номинальные и расчетные параметры для выбора данного выключателя нагрузки представлены в таблице 6.3.

Таблица 6.3 - Выбор выключателя нагрузкиВНР-10/630-20з

Критерий

Номинальные параметры

Расчётные параметры

Uв.номUс, кВ

10

6

Iв.номIраб.макс, А

630

14,46

Iпр.сiуд, кА

51

27,28

tо.в, с

0,25

-

tт, с

1

-

tр.з, с

-

0,1

BкBк.р, кА2∙с

400

80,76


Выбор остальных выключателей нагрузки производится аналогичным образом, результаты представлены в таблице 6.5.

6.3 Выбор и проверка разъединителей 6 кВ

Выбор и проверка разъединителей осуществляется аналогично выбору выключателей нагрузки. Рассмотрим выбор разъединителя QS1

Выбираем разъединитель РВЗ-10/630 IIУХЛ2.

Номинальные и расчетные параметры для выбора данного разъединителя представлены в таблице 6.4.

Таблица 6.4 - Выбор разъединителяРВЗ-10/630 II УХЛ2

Критерий

Номинальные параметры

Расчётные параметры

Uв.номUс, кВ

10

6

Iв.номIраб.макс, А

630

286,69

Iпр.сiуд, кА

52

27,28

tо.в, с

0,25

-

tт, с

1

-

tр.з, с

-

0,1

BкBк.р, кА2∙с

400

80,76


Выбор остальных разъединителей производится аналогичным образом, результаты представлены в таблице 6.5.

Таблица 6.5 - Выбор выключателей нагрузки и разъединителей

Обозначение на схеме

№ камеры КСО

Тип выключателя

QW1

3

ВНР-10/630-20з

QW2

14

ВНР-10/630-20з

QS1, QS15

2

РВЗ-10/630 II УХЛ2

QS2

3

РВЗ-10/630 II УХЛ2

QS3, QS16

4

РВЗ-10/630 II УХЛ2

QS4, QS17

5

РВЗ-10/630 II УХЛ2

QS5

6

РВЗ-10/630 II УХЛ2

QS6, QS18

7

РВЗ-10/630 II УХЛ2

QS7

8

РВЗ-10/630 II УХЛ2

QS8

9

РВЗ-10/630 II УХЛ2

QS9

10

РВЗ-10/630 II УХЛ2

QS10, QS19

11

РВЗ-10/630 II УХЛ2

QS11, QS20

12

РВЗ-10/630 II УХЛ2

QS12, QS21

13

РВЗ-10/630 II УХЛ2

QS13

14

РВЗ-10/630 II УХЛ2

QS14, QS22

15

РВЗ-10/630 II УХЛ2



6.4 Выбор и автоматических выключателей 0,4 кВ

Выбор и проверка автоматических выключателей осуществляется по следующим критериям [2]:

Выбор по номинальному напряжению:

 

гдеUа.в.ном - номинальное напряжение автоматического выключателя, В;

Uном - номинальное напряжение сети, В.

Выбор по номинальному току:

 

гдеIа.в.ном - номинальный ток автоматического выключателя, А;

Iр - максимальный рабочий (расчетный) ток, А.

Выбор по номинальному току теплового расцепителя:

 

гдеIном.т.р - номинальный ток теплового расцепителя автоматического выключателя, А;

Iпик - пиковый ток защищаемого электроприемника, А.

Для электродвигателей пиковый ток равен пусковому току. Для питающей линии пиковый ток определяется по формуле [2]:

 

 

гдеIп.мах - наибольший пусковой ток электроприемника в группе, А;

Ки - коэффициент использования электроприемника с наибольшим пусковым током;

Iном.мах - номинальный ток электроприемника с наибольшим пусковым током, А.

Выбор по номинальному току электромагнитного расцепителя:

 

гдеIном.э.р - номинальное ток электромагнитного расцепителя автоматического выключателя, А.

Проверка по отключающей способности:

 

гдеI0 - отключающая способность автоматического выключателя, кА;

Iк(3) - ток трехфазного короткого замыкания на выходе автоматического выключателя, кА.

Проверка по чувствительности защит.

Для тепловых расцепителей:

 

Для электромагнитных расцепителей:

 

гдеIк(1) - ток однофазного короткого замыкания на землю в конце зоны действия защиты автоматического выключателя, кА.

Рассмотрим выбор автоматического выключателя первой секции ВРУ 0,4 кВ. Определим пиковый ток по формуле (6.11):

 

Выбираем автоматический выключатель ВА 51-35. Номинальные и расчетные параметры для выбора данного автоматического выключателя приведены в таблице 6.6.

Выполним проверку по чувствительности защит:

 

 

Таблица 6.6 - Выбор автоматического выключателя ВА 51-35

Критерий

Номинальные параметры

Расчётные параметры

Uа.в.номUс, В

380

380

Iа.в.номIраб.макс, А

250

105,63

Iном.т.рIпик, А

250

232,64

Iном.э.р ≥ 1,35Iпик, А

3000

314,06

I0Iк(3), кА

15

4,34

Iк(1), кА

-

3,85

Kч.т.р ≥ 3

-

15,4

Kч.э.р ≥ 1,25

-

1,28


Таблица 6.7 - Выбор автоматических выключателей

Обозначение

Место установки

Защищаемая линия

Тип выключателя

Номинальный ток выключателя, А

QF1,QF2

I, II ввод ВРУ 0,4 кВ

-

ВА 51-35

250

QF3

I секция ВРУ 0,4 кВ

14

ВА61-29

63

QF4

I секция ВРУ 0,4 кВ

9

ВА61-29

63

QF5

I секция ВРУ 0,4 кВ

10

ВА61-29

63

QF6

I секция ВРУ 0,4 кВ

11

ВА61-29

63

QF7

I секция ВРУ 0,4 кВ

12

ВА61-29

63

QF8

I секция ВРУ 0,4 кВ

15

ВА 51-31

100

QF9

II секция ВРУ 0,4 кВ

13

ВА61-29

63

QF10

II секция ВРУ 0,4 кВ

6

ВА61-29

63

QF11

II секция ВРУ 0,4 кВ

7

ВА 51-31

100

QF12

II секция ВРУ 0,4 кВ

5

ВА61-29

63

QF13

II секция ВРУ 0,4 кВ

8-11

ВА 51-25

25

QF14

ШУЗ5

14-18

ВА 51-25

25

QF15

ШУЗ5

14-30

ВА 51-25

25

QF16

ШУЗ1

9-19

ВА 51-25

25

QF17

ШУЗ1

9-20

ВА 51-25

25

QF18

ШУЗ2

10-22

ВА 51-25

25

QF19

ШУЗ2

10-23

ВА 51-25

25

QF20

ШУЗ3

11-25

ВА 51-25

25

QF21

ШУЗ3

11-26

ВА 51-25

25

QF22

ШУЗ4

12-28

ВА 51-25

25

QF23

ШУЗ4

12-29

ВА 51-25

25

QF24

ШУН5

15-31

ВА61-29

63

QF25

ШУН5

15-32

ВА61-29

63

QF26

ШУЗ6

13-21

ВА 51-25

25

QF27

ШУЗ6

13-24

ВА 51-25

25

QF28

ШУЗ6

13-27

ВА 51-25

25

QF29

ШУВ

6-6

ВА 51-25

25

QF30

ШУВ

6-7

ВА 51-25

25

QF31

ШУВ

6-12

ВА 51-25

25

QF32

ШУВ

6-15

ВА 51-25

25

QF33

ШУВ

6-16

ВА 51-25

25

QF34

ШУВ

6-17

ВА 51-25

25

QF35

ШУК

7-13

ВА61-29

63

QF36

ШУК

7-14

ВА61-29

63

QF37

ЩС

5-5

ВА 51-25

25

QF38

ЩС

5-8

ВА 51-25

25

QF39

ЩС

5-9

ВА 51-25

25

QF40

ЩС

5-10

ВА 51-25

25



7 Релейная защита

7.1 Защита электродвигателей

Защиту электродвигателей выполним на базе устройства «Сириус-Д».

Выполним расчет токов срабатывания защит электродвигателей.

Ток срабатывания токовой отсечки:

 

гдеIп - пусковой ток электродвигателя, А.

Пусковой ток можно определить по формуле:

 

гдеkп- кратность пускового тока электродвигателя;

Iном- номинальный ток электродвигателя, А.

Для двигателя ВАН118/23 - 8У3 кратность пускового тока равна 4,2, номинальный ток двигателя 49,5 А[8].

 

 

Ток срабатывания максимальной токовой защиты (МТЗ):

 

гдеIп - пусковой ток электродвигателя, А.

 

 

Ток срабатывания защиты от ОЗЗ определяется по формуле:

 

 

гдеkн- коэффициент надежности, принимается равным 1,2;

kбр- коэффициент, учитывающий бросок емкостного тока в момент возникновения ОЗЗ, принимается равным 2,5 для защиты без выдержки времени;

kв- коэффициент возврата, принимается равным 1;

Iемк.дв - емкостной ток электродвигателя, А;

Iемк.кл - емкостной ток кабельной линии, А.

Емкостной ток электродвигателя напряжением 6 кВ можно пределить по

формуле:

 

 

где Sном - номинальная полная мощность электродвигателя, МВ∙А.

Номинальная полная мощность электродвигателя равна 0,52 МВ∙А (смотри п/п 5.1)

 

 

Емкостной ток кабельной линии можно определить по формуле:

 

гдеUном.кл- номинальное напряжение кабельной линии, кВ;

l- длина кабельной линии (принимается по таблице 3.3), км.

 

 

Определим ток срабатывания защиты от ОЗЗ по формуле (7.4):

 

 

Определим значения уставок защит электродвигателей.

Диапазон уставок токовых защит для устройства «Сириус-Д»: 0,01…40 А.

Для защиты используется трансформатор тока ТОЛ-СЭЩ 10 с коэффициентом трансформации 100/5.

Уставка по току для токовой отсечки:

 

гдеIТО - ток срабатывания токовой отсечки, А;

kт- коэффициент трансформации трансформатора тока.

 

 

Уставка входит в диапазон значений уставок токовых защит.

Токовая отсечка выполняется без выдержки времени. Время срабатывания токовой отсечки равно 0,1 с.

Уставка по току для МТЗ:

 

гдеIМТЗ- ток срабатывания МТЗ, А;

kт- коэффициент трансформации трансформатора тока.

 

 

Уставка входит в диапазон значений уставок токовых защит.

Уставка по времени для МТЗ:

 

 

гдеtТО - время срабатывания токовой отсечки, А;

Δt- ступень селективности, равная 0,5 с.

 

 

Для защиты от ОЗЗ используется трансформатор тока нулевой последовательности ТЗЛ-1 с коэффициентом трансформации 25/1. Защита выполняется без выдержки времени. Уставка по току для ОЗЗ:

 

 

Уставка входит в диапазон значений уставок токовых защит.

Проверка чувствительности защит.

Для определения коэффициента чувствительности токовой отсечки необходимо определить ток двухфазного короткого замыкания на выводах электродвигателя:

 

где - ток трехфазного короткого замыкания (смотри таблицу 4.2), кА.

 

 

Коэффициент чувствительности токовой отсечки:

 

гдеIТО- ток срабатывания токовой отсечки, А;

- ток двухфазного короткого замыкания, А.

 

 

Чувствительность токовой отсечки обеспечивается.

Коэффициент чувствительности МТЗ:

 

гдеIном- номинальный ток электродвигателя, А;

- ток двухфазного короткого замыкания, А.

 

Чувствительность МТЗ обеспечивается.

Для определения коэффициента чувствительности ОЗЗ необходимо найти суммарное значение емкостного тока сети при однофазном коротком замыкании на землю. Суммарная протяженность линий равна 5 км.

Суммарный ток ОЗЗ:

 

гдеUном.клΣ- номинальное напряжение сети, кВ;

lΣ- суммарная длина кабельных линий, км.

 

 

Коэффициент чувствительности защиты от ОЗЗ:


где- суммарный ток ОЗЗ, А;

IОЗЗ- ток срабатывания защиты от ОЗЗ, А.

 

 

Чувствительность защиты от ОЗЗ обеспечивается.

7.2 Защита лини III

Защиту линии выполним на базе устройства «Сириус-2-Л».

Выполним расчет токов срабатывания защит линии III.

Ток срабатывания токовой отсечки:

 

где- ток трехфазного короткого замыкания (смотри таблицу 4.2), кА.

- коэффициент запаса, принимается равным 1,1.

 

 

Ток срабатывания максимальной токовой защиты (МТЗ):

 

где- максимальный рабочий ток линии (смотри таблицу 1.2), А.

- коэффициент запаса, принимается равным 1,1.

 

Определим значения уставок защит линии III.

Диапазон уставок токовых защит для устройства «Сириус-2-Л»: 0,2..200 А.

Для защиты используется трансформатор тока ТОЛ-СЭЩ 10 с коэффициентом трансформации 600/5.

Уставка по току для токовой отсечки:

 

гдеIТО - ток срабатывания токовой отсечки, А;

kт- коэффициент трансформации трансформатора тока.

 

 

Уставка входит в диапазон значений уставок токовых защит.

Токовая отсечка выполняется без выдержки времени. Время срабатывания токовой отсечки равно 0,1 с.

Уставка по току для МТЗ:

 

гдеIМТЗ - ток срабатывания МТЗ, А;

kт- коэффициент трансформации трансформатора тока.

 

 

Уставка входит в диапазон значений уставок токовых защит.

Уставка по времени для МТЗ:

 

 

гдеtТО - время срабатывания токовой отсечки, А;

Δt- ступень селективности, равная 0,5 с.

 

 

Проверка чувствительности защит.

Коэффициент чувствительности МТЗ:

 

гдеIном- номинальный ток электродвигателя, А;

- ток двухфазного короткого замыкания, А.

 

 

Чувствительность МТЗ обеспечивается.

7.3 Защита силовых трансформаторов

Для защиты трансформаторов выберем предохранители типа ПКТ.

Максимальные рабочие токи трансформаторов равны 14,46 А (смотри таблицу 1.2).

Для отстройки от бросков тока намагничивания трансформатора необходимо иметь номинальный ток плавкой вставки в 1,5÷2 раза больше номинального тока трансформатора.

Учитывая это можно выбрать предохранители типа ПКТ-101-6-20 с номинальным током 20А и номинальным током отключения 20 кА.

8 Экономическая часть

8.1 Сметно-финансовый расчет объекта

Смета-спецификация на устанавливаемое оборудование и используемые материалы представлена в таблице 8.1

Таблица 8.1 - Смета-спецификация

№ п/п

Наименование оборудования и материалов

Тип

Единицы измерения

Количество

Силовые трансформаторы

1

Трансформатор

ТМГ-160/6

шт.

2

РУ 6 кВ

2

Камера КСО

КСО-292-14.1-630

шт.

2

3

Камера КСО

КСО-292-10-630

шт.

2

4

Камера КСО

КСО-292-8В-630

шт.

8

5

Камера КСО

КСО-292-5В-630

шт.

1

6

Камера КСО

КСО-292-24-630

шт.

1

7

Камера КСО

КСО-292-13.1-630

шт.

2

8

Шина алюминиевая

АД31 50×5 мм

м.

15

РУ 0,4кВ

9

ВРУ 0,4

ВРУ-21L-(200+200)-303К

шт.

1

Кабели

14

Кабель алюминиевый

ААШв 3×240

м.

1100

15

Кабель алюминиевый

ААШв 3×120

м.

800

16

Кабель алюминиевый

ААБвГ 3×16

м.

11

17

Кабель алюминиевый

ААБвГ 3×50

м.

73

18

Кабель алюминиевый

АВРБГ 4×120

м.

31

19

Кабель алюминиевый

АВРБГ 4×35

м.

30

20

Кабель алюминиевый

АВРБГ 4×25

м.

29

21

Кабель алюминиевый

АВРБГ 4×16

м.

235

22

Кабель алюминиевый

АВРБГ 4×10

м.

111

23

Кабель алюминиевый

АВРБГ 4×6

м.

10

24

Кабель алюминиевый

АВРБГ 4×4

м.

24

25

Кабель алюминиевый

АВРБГ 4×2,5

м.

207

26

Кабель медный

КГ 4×6

м.

34

27

Кабель медный

КГ 4×1,5

м.

15

Шкафы управления, силовые щиты

28

Шкаф управления задвижками

ШУЗ2-25

шт.

5

29

Шкаф управления задвижками

ШУЗ3-25

шт.

1

30

Шкаф управления насосами

ШУН2-63

шт.

1

31

Шкаф управления вентиляторами

ШУВ6-63

шт.

1

№ п/п

Наименование оборудования и материалов

Тип

Единицы измерения

Количество

32

Шкаф управления калориферами

ШУК2-63

шт.

1

33

Шит силовой

ЩС4-63

шт.

1

Заземлители

34

Вертикальный заземлитель

Стальной стержень длиной 1,5 м, диаметром 20 мм

шт.

40

35

Горизонтальный заземлитель

Полосовая сталь сечением 40×4 мм

м.

50

36

Муфта соединительная

МСН-20

шт.

20


Локальная смета, содержащая перечень работ и затрат, а также перечень оборудования и материалов, представлена в таблице 8.2.

Пересчет сметы в цены текущего года выполняется базисно-индексным методом. Локальная смета составлена в базисных ценах 01.01.2000 года на монтажные, пусконаладочные работы и текущих ценах на оборудование и материалы. Стоимость работ в базисных ценах:

Общая стоимость, 139,173 тыс. руб

в том числе:

Фонд основной заработной платы: 14,487 тыс. руб

Затраты на эксплуатацию машин, 104,081 тыс. руб

в том числе фонд заработной платы машинистов:6,916 тыс. руб

Сметная стоимость материалов: 21,288 тыс. руб

Сметная стоимость пуско-наладочных работ: 10,562 тыс. руб

Базисные индексы удорожания по отношению к 2000 году по данным «Строительно-информационного сборника Вологодской области» составляют: Заработной платы - 12,998 Эксплуатации машин - 6,586

Пуско-наладочных работ - 22,76

Стоимости материалов - 6,631

Таблица 8.2 - Локальная смета

Шифр

Наименование работ и затрат

Кл-во

Ед. изм.

Стоимость на ед

Общая стоимость

Трудозатраты





Всего

Осн. Зарпл.

Экспл. Машин

Запл. Маш-ов

Мат-лы

Всего

Осн. Зарпл.

Экспл. Машин

Запл. Маш-ов

Мат-лы

На ед.

Всего

Электромонтажные работы

ТЕРм 08-01-001-01

Трансформатор ТМГ 160/6

2

1 шт.

588,81

225,45

595,94

47,76

34,42

1177,62

450,90

1191,88

95,52

68,84

22,50

45,00

ТЕРм 08-01-068-01

Шина сборная

0,15

100 м.

824,86

526,05

171,90

64,30

126,91

123,73

78,91

25,79

9,65

19,04

52,50

7,88

ТЕРм 08-01-084-01

КСО-292

8

1 шт.

556,25

247,49

285,24

15,73

23,52

4450,00

1979,92

2281,92

125,84

188,16

24,70

197,60

ТЕРм 08-01-084-02

КСО-292

6

1 шт.

423,90

202,40

198,88

10,97

22,62

2543,40

1214,40

1193,28

65,82

135,72

20,20

121,20

ТЕРм 08-01-084-03

КСО-292

2

1 шт.

373,89

235,47

115,14

6,35

23,28

747,78

470,94

230,28

12,70

46,56

23,50

47,00

Мост шинный

1

1 шт.

326,24

101,20

170,10

9,38

54,94

326,24

101,20

170,10

9,38

54,94

10,10

10,10

ТЕРм 08-02-142-01

Устойство постели для кабеля

19

100 м.

1373,59

66,43

1305,83

72,01

1,33

26098,21

1262,17

24810,77

1368,19

25,27

6,63

125,97

ТЕРм 08-02-143-01

Покрытие кабеля, проложенного в траншее

19

100 м.

1176,10

65,23

1109,57

61,18

1,30

22345,90

1239,37

21081,83

1162,42

24,70

6,51

123,69

ТЕРм 08-02-144-01

Присоединение к зажимам жил кабеля

1,68

100 шт.

122,64

120,24

0,00

0,00

2,40

206,04

202,00

0,00

0,00

4,03

12,00

20,16

ТЕРм 08-02-144-02

Присоединение к зажимам жил кабеля

0,32

100 шт.

132,87

130,26

0,00

0,00

2,61

42,52

41,68

0,00

0,00

0,84

13,00

4,16

ТЕРм 08-02-144-03

Присоединение к зажимам жил кабеля

0,84

100 шт.

155,35

152,30

0,00

0,00

3,05

130,49

127,93

0,00

0,00

2,56

15,20

12,77

ТЕРм 08-02-144-04

Присоединение к зажимам жил кабеля

0,16

100 шт.

174,77

171,34

0,00

0,00

3,43

27,96

27,41

0,00

0,00

0,55

17,10

2,74

ТЕРм 08-02-144-05

Присоединение к зажимам жил кабеля

0,12

100 шт.

193,17

189,38

0,00

0,00

3,79

23,18

22,73

0,00

0,00

0,45

18,90

2,27

Шифр

Наименование работ и затрат

Кл-во

Ед. изм.

Стоимость на ед

Общая стоимость

Трудозатраты





Всего

Осн. Зарпл.

Экспл. Машин

Запл. Маш-ов

Мат-лы

Всего

Осн. Зарпл.

Экспл. Машин

Запл. Маш-ов

Мат-лы

На ед.

Всего

ТЕРм 08-02-144-06

Присоединение к зажимам жил кабеля

0,22

100 шт.

290,26

284,57

0,00

0,00

5,69

63,86

62,61

0,00

0,00

1,25

28,40

6,25

ТЕРм 08-02-144-07

Присоединение к зажимам жил кабеля

0,12

100 шт.

388,38

380,76

0,00

0,00

7,62

46,61

45,69

0,00

0,00

0,91

38,00

4,56

ТЕРм 08-02-145-03

Прокладка кабеля по дну канала

8

100 м.

780,67

93,19

580,86

42,15

106,62

6245,36

745,52

4646,88

337,20

852,96

9,30

74,40

ТЕРм 08-02-145-04

Прокладка кабеля по дну канала

11

100 м.

1035,09

128,26

799,50

57,82

107,33

11385,99

1410,86

8794,50

636,02

1180,63

12,80

140,80

ТЕРм 08-02-146-01

Прокладка кабеля на скобах

2,56

100 м.

3075,89

147,29

1250,22

113,36

1678,38

7874,28

377,06

3200,56

290,20

4296,65

14,70

37,63

ТЕРм 08-02-146-02

Прокладка кабеля на скобах

3,8

100 м.

3291,18

167,33

1445,07

129,59

1678,38

12506,48

635,85

5491,27

492,44

6377,84

16,70

63,46

ТЕРм 08-02-146-03

Прокладка кабеля на скобах

0,59

100 м.

3561,19

193,39

1688,50

150,47

1679,30

2101,10

114,10

996,22

88,78

990,79

19,30

11,39

ТЕРм 08-02-146-04

Прокладка кабеля на скобах

0,84

100 м.

4057,28

233,47

2143,71

186,73

1860,10

3408,12

196,11

1800,72

156,85

1562,48

23,30

19,57

ТЕРм 08-02-146-05

Прокладка кабеля на скобах

0,31

100 м.

4813,68

304,61

2827,55

244,75

1681,52

1492,24

94,43

876,54

75,87

521,27

30,40

9,42

ТЕРм 08-02-471-04

Заземлитель вертикальный

2

10 шт.

609,18

81,24

58,68

2,02

469,26

1218,36

162,48

117,36

4,04

938,52

8,29

16,58

ТЕРм 08-02-472-02

Заземлитель горизонтальный

0,5

100 м.

1095,75

162,68

84,74

3,17

848,33

547,88

81,34

42,37

1,59

424,17

16,60

8,30

ТЕРм 08-02-572-04

Шкаф управления, щит силовой

10

1 шт.

440,67

36,05

85,87

4,18

318,75

4406,70

360,50

858,70

41,80

3187,50

3,49

34,90

ТЕРм 08-02-572-07

ВРУ 0,4 кВ

1

1 шт.

546,12

48,14

116,32

5,92

381,66

546,12

48,14

116,32

381,66

4,66

4,66

Земляные работы

ТЕР 01-01-055-01

Рытье и засыпка траншей

1,95

1 км.

14916,11

1504,17

13411,94

992,50

0,00

29086,41

2933,13

26153,28

1935,38

0,00

186,39

363,46

Итого электромонтажные и земляные работы:

139172,57

14487,39

104080,56

6915,60

21288,30


1515,91

Шифр

Наименование работ и затрат

Кл-во

Ед. изм.

Стоимость на ед

Общая стоимость

Трудозатраты





Всего

Осн. Зарпл.

Экспл. Машин

Запл. Маш-ов

Мат-лы

Всего

Осн. Зарпл.

Экспл. Машин

Запл. Маш-ов

Мат-лы

На ед.

Всего

Пуско-наладочные работы

ТЕРп 01-02-002-01

Трансформатор ТМГ 160/6

2

1 шт.

0,00

94,53

0,00

0,00

0,00

0,00

189,06

0,00

0,00

0,00

7,00

14,00

ТЕРп 01-02-016-02

Трансформатор напряжения

2

1 шт.

0,00

202,05

0,00

0,00

0,00

0,00

404,10

0,00

0,00

0,00

16,00

32,00

ТЕРп 01-02-017-02

Трансформатор тока

25

1 шт.

0,00

63,14

0,00

0,00

0,00

0,00

1578,50

0,00

0,00

0,00

5,00

125,00

ТЕРп 01-03-002-04

Автоматический выключатель 25 А.

24

1 шт.

0,00

19,57

0,00

0,00

0,00

0,00

469,68

0,00

0,00

0,00

2,00

48,00

ТЕРп 01-03-002-05

Автоматический выключатель 63 А.

12

1 шт.

0,00

29,36

0,00

0,00

0,00

0,00

352,32

0,00

0,00

0,00

3,00

36,00

ТЕРп 01-03-002-05

Автоматический выключатель 100 А.

2

1 шт.

0,00

29,36

0,00

0,00

0,00

0,00

58,72

0,00

0,00

0,00

3,00

6,00

ТЕРп 01-03-002-06

Автоматический выключатель 250 А.

2

1 шт.

0,00

39,14

0,00

0,00

0,00

0,00

78,28

0,00

0,00

0,00

4,00

8,00

ТЕРп 01-03-005-01

Разъединитель трехполюсный

22

1 шт.

0,00

76,33

0,00

0,00

0,00

0,00

1679,26

0,00

0,00

0,00

6,00

132,00

ТЕРп 01-03-008-01

Выключатель выкуумный

9

1 шт.

0,00

114,50

0,00

0,00

0,00

0,00

1030,50

0,00

0,00

0,00

9,00

81,00

ТЕРп 01-03-008-01

Выключатель нагрузки

2

1 шт.

0,00

114,50

0,00

0,00

0,00

0,00

229,00

0,00

0,00

0,00

9,00

18,00

ТЕРп 01-04-004-01

РЗА - токовая отсечка

7

1 компл.

0,00

79,32

0,00

0,00

0,00

0,00

555,24

0,00

0,00

0,00

6,00

42,00

ТЕРп 01-04-004-01

РЗА - МТЗ

7

1 компл.

0,00

79,32

0,00

0,00

0,00

0,00

555,24

0,00

0,00

0,00

6,00

42,00

ТЕРп 01-04-006-03

РЗА - ОЗЗ с работой на сигнал

7

1 компл.

0,00

39,42

0,00

0,00

0,00

0,00

275,94

0,00

0,00

0,00

3,00

21,00

ТЕРп 01-04-008-01

РЗА -защита от прегрузки

5

1 компл.

0,00

91,99

0,00

0,00

0,00

0,00

459,95

0,00

0,00

0,00

7,00

35,00

ТЕРп 01-04-051-01

РЗА -ЗМН

5

1 компл.

0,00

205,52

0,00

0,00

0,00

0,00

1027,60

0,00

0,00

0,00

14,00

70,00

Шифр

Наименование работ и затрат

Кл-во

Ед. изм.

Стоимость на ед

Общая стоимость

Трудозатраты





Всего

Осн. Зарпл.

Экспл. Машин

Запл. Маш-ов

Мат-лы

Всего

Осн. Зарпл.

Экспл. Машин

Запл. Маш-ов

Мат-лы

На ед.

Всего

ТЕРп 01-04-016-01

АВР ВРУ 0,4 кВ

1

1 устр.

0,00

277,62

0,00

0,00

0,00

0,00

277,62

0,00

0,00

0,00

21,00

21,00

ТЕРп 01-07-001-01

Электродвигатель асинхронный 0,4 кВ

26

1 шт.

0,00

35,30

0,00

0,00

0,00

0,00

917,80

0,00

0,00

0,00

3,00

78,00

ТЕРп 01-07-001-03

Электродвигатель асинхронный 6 кВ

4

1 шт.

0,00

105,91

0,00

0,00

0,00

0,00

423,64

0,00

0,00

9,00

36,00

Итого пуско-наладочные работы


25049,84





845,00

Оборудование и материалы в текущих ценах

#"903922.files/image321.gif"> 

где Сзпс- основная зарплата работников в ценах базисного года, тыс. руб;

Сзпм- основная зарплата машинистов в ценах базисного года, тыс. руб;

Iτзп- базисный индекс увеличения заработной платы.

 

2) затраты на эксплуатацию машин в текущих ценах:

 

где Сэм- затраты на эксплуатацию машин в ценах базисного года, тыс. руб;

Iτэм- базисный индекс удорожания эксплуатации машин.

 

3) затраты на материалы в текущих ценах:

 

где См- стоимость материалов в ценах базисного года, тыс. руб;

Iτм- базисный индекс удорожания материалов.

 

4) затраты на пуско-наладочные работы:

 

где Сп - стоимость наладочных работ в ценах базисного года, тыс. руб; Iτп - базисный индекс удорожания стоимости пуско-наладочных работ.

 

5) прямые затраты:

 

 

6) накладные расходы:

 

где kн - норматив накладных расходов, рекомендуемый Госстроем России.

 

7) сметная прибыль организации:

 

 

где kп - норматив сметной прибыли, рекомендуемый Госстроем России.

) стоимость строительно-монтажных работ:

 

 

Расчет стоимости оборудования.

Стоимость оборудования в текущих ценах равна Cо = 4511,763 тыс. руб.

) расходы на запасные части:

 

где kзч - коэффициент, учитывающий стоимость запасных частей.

 

2) расходы на тару и упаковку:

 

где kту - коэффициент, учитывающий стоимость тары и упаковки.

 

3) транспортные расходы:

 

где kтр - коэффициент, учитывающий стоимость транспортных расходов.

 

4) стоимость услуг посреднических и сбытовых организаций:

 

где kсб - снабженческо-сбытовая наценка.

 

5) заготовительно-складские расходы:

 

где kзс - коэффициент, учитывающий заготовительно-складские расходы.

 

6) расходы на комплектацию:

 

где kком - коэффициент, учитывающий расходы на комплектацию.

 

Расчет стоимости материалов.

Оптовая цена на материалы в текущих ценах равна См = 1783,106 тыс. руб.

) транспортные расходы:

 

 

2) расходы на тару и упаковку:

 

 

3) заготовительно-складские расходы:

 

 

Расчет лимитированных и прочих затрат

) затраты на строительство временных зданий и сооружений:

 

где kвз - сметная норма затрат, учитывающаядополнительные затраты на строительство временных зданий и сооружений.

 

2) затраты на перевозку крупногабаритных грузов:

 

где kгр - коэффициент, учитывающий затраты на перевозку крупногабаритных и тяжеловесных грузов.

 

3) затраты на добровольное страхование:

 

где kстр - коэффициент, учитывающий дополнительные затраты на добровольное страхование деятельности.

 

4) затраты на отчисления в фонд научно-исследовательских и опытно-конструкторских работ (НИОКР).

 

где kНИОКР - коэффициент, учитывающий затраты на НИОКР.

 

) затраты на премирование за ввод в эксплуатацию:

 

где kэксп - сметная норма затрат,учитывающая размер средств на премирование за ввод в эксплуатацию объекта.

 

6) дополнительные затраты на охрану объектов строительства:

 

где kохр - сметная норма затрат, учитывающая размер средств, отчисляемых на охрану объекта.

 

7) авторский надзор:

 

где kохр - коэффициент, учитывающий затраты на авторский надзор;

Сп - полая сметная стоимость в текущих ценах

 

8) Резерв средств на непредвиденные работы и затраты:

 

где kнепр - коэффициент, учитывающий размер резерва на непредвиденные работы и затраты.

 

Детальный пересчет сметы в текущие цены представлен в таблице 8.3

Таблица 8.3 - Детальный пересчет сметы в текущие цены

№ п/п

Наименование показателя

Коэффи-циент, отн. ед

Значение, тыс. руб

1.

Монтажные работы в базисных ценах (01.01.2000 г.) в том числе: основная заработная плата заработная машинистов затраты по эксплуатации машин строительные материалы пуско-наладочные работы

  

  14,487 6,916 104,081 21,288 10,562

2.

Пересчет стоимости монтажных работ в текущие цены Удорожание затрат на заработную плату Удорожание затрат по эксплуатации машин Удорожание строительных материалов Удорожание пуско-наладочных работ Всего прямых затрат в текущих ценах: Накладные расходы Сметная прибыль организации Всего затрат на монтажные работы в текущих ценах по смете:

  12,988 6,586 6,631 22,76  0,95 0,65

 278,196 685,447 141,161 240,391 1345,195 264,286 180,827  1790,308

3.

Стоимость оборудования по смете Стоимость оборудования в текущих ценах Расчет дополнительных расходов на оборудование: расходы на запасные части расходы на тару и упаковку транспортные расходы снабженческо-сбытовая наценка заготовительно-складские расходы расходы на комплектацию Всего дополнительные расходы на оборудование: Всего расходы на оборудование в текущих ценах:

    0,02 0,015 0,03 0,05 0,012 0,005

 4511,763  90,236 67,676 135,353 225,588 54,141 22,559  595,553  5107,316

4.

Стоимость материалов по смете: Оптовая цена на материалы в текущих ценах Расчет дополнительных расходов на материалы транспортные расходы расходы на тару и упаковку заготовительно-складские расходы Всего дополнительные расходы на материалы Всего расходы на материалы в текущих ценах

   0,03 0,015 0,012

 1783,106  53,493 26,747 21,397 101,637 1884,743

5.

Лимитированные и прочие затраты в текущих ценах: затраты на временные здания и сооружения затраты на перевозку крупногабаритных грузов затраты на добровольное страхование затраты на НИОКР затраты на премирование за ввод в эксплуатацию затраты на охрану объектов строительства Сумма лимитированных и прочих затрат Авторский надзор Непредвиденные расходы и затраты Всего лимитированных и прочих затрат в текущих ценах

  0,039 0,0003 0,03 0,015  0,0254 0,013  0,0002 0,03 

  69,822 0,537 53,709 121,278  45,474 23,247 314,067 1,456 218,421  599,505

6.

Полная стоимость электромонтажных работ в текущих ценах:


 9664,81


8.2 Расчет численности и состава бригады

Численность бригады рассчитывается по формуле:

 

 

где Тi - суммарная трудоемкость работ в чел.час., Тi=2360,91 (чел.час.);

Кя - коэффициент явки, Кя= 0,9;

Тсрок - заданный срок электромонтажных работ, Тсрок=174,6;

q - количество рабочих месяцев, q= 1;

Кпр - производительность труда, Кпр=1,1;

Ки - коэффициент использования рабочего времени, Ки=0,9.

 

Работы ведутся комплексными бригадами. Количество бригад равно трем по четыре человека в каждой.

8.3Организация электромонтажных работ, построение ленточного графика

Ленточный график представляет собой указание о времени начала и конца той или иной работы. По длительности лент и их последовательности можно проследить занятость электромонтажных бригад. При построении графика учитывается производительность и число рабочих в бригаде.

Продолжительность работы определяется:

 

где t - продолжительность работы при 8-часовом рабочем дне.

Тр - трудоемкость работ, чел.час;

n - число рабочих часов в сутки, n=8ч.;  Ч - число человек в бригаде;

Кпр - коэффициент производительности Кпр=1,1;

Ки - коэффициент использования рабочего времени, Ки=0,9.

Расчет продолжительности работ представлен в таблице 8.4

Таблица 8.4 - Расчет продолжительности работ

№ Бригады

Наименование оборудования и работ

Трудоемкость работы, чел. час.

Продолжительность работы

Монтажные и земляные работы

1

Трансформатор ТМГ 160/6

45

1,42


КСО-292

121,20

3,83


КСО-292

47,00

1,48


Шина сборная

7,88

0,25


ВРУ 0,4 кВ

4,66

0,15


Прокладка кабеля на скобах

37,63

1,19


Прокладка кабеля на скобах

11,39

0,36


Прокладка кабеля на скобах

19,57

0,62


Прокладка кабеля на скобах

9,42

0,30


Присоединение к зажимам жил кабеля

20,16

0,63


Заземлитель горизонтальный

8,30

0,26


Устройство постели для кабеля

125,97

3,98


Прокладка кабеля по дну канала

74,40

2,35


Присоединение к зажимам жил кабеля

4,56

0,14


Присоединение к зажимам жил кабеля

2,27

0,07

2

КСО-292

197,60

6,24


Шинный мост

10,10

0,31


Шкаф управления, щит силовой

34,90

1,10


Прокладка кабеля на скобах

63,46

2,00


Присоединение к зажимам жил кабеля

12,77

0,40


Присоединение к зажимам жил кабеля

2,74

0,09


Присоединение к зажимам жил кабеля

4,16

0,13


Присоединение к зажимам жил кабеля

6,25

0,20


Заземлитель вертикальный

16,58

0,52


Прокладка кабеля по дну канала

140,80

4,44

3

Рытье и засыпка траншей

363,46

11,47


Устройство постели для кабеля

125,97

3,98


Покрытие кабеля проложенного в траншее

123,69

3,9

Пуско-наладочные работы

1

Трансформатор тока

125,00

3,95


Электродвигатель 0,4 кВ

78,00

2,46


РЗА - ОЗЗ с работой на сигнал

21,00

0,66


АВР ВРУ 0,4 кВ

21,00

0,66


Электродвигатель 6 кВ

36,00

1,14

2

Трансформатор ТМГ 160/6

14,00

0,44


Трансформатор напряжения

32,00

1,01


Разъединитель трехполюсный

132,00

4,17


Вакуумный выключатель

81,00

2,56


РЗА - ЗМН

70,00

2,21


РЗА - защита от перегрузки

35,00

1,10

3

Автоматический выключатель 25 А

48,00

1,52


Автоматический выключатель 63 А

36,00

1,14


Автоматический выключатель 100 А

6,00

0,19


Автоматический выключатель 250 А

8,00

0,25


Выключатель нагрузки

18,00

0,57


РЗА - токовая отсечка

42,00

1,33


РЗА - МТЗ

42,00

1,33


8.4 Расчет эффективности инвестиционных вложений

Объем инвестиций согласно сметно-финансовому расчету составляет 9664,81 тыс. руб.

Срок окупаемости - 15 лет.

Стоимость электроэнергии, реализуемой в течение одного года по двухставочному тарифу:

 

где α - ставка на оплату технологического расхода (потерь) в электрических сетях;

β - ставка за содержание электрических сетей;

Руст - установленная (расчетная) мощность;

Wэ.год - объем реализуемой электроэнергия за одни год.

Для сетей 6 кВ:

α = 0,298 тыс. руб/МВт∙ч

β = 1100,92 тыс. руб/МВт·мес.

Объем реализуемой электроэнергия за одни год:

 

 

где t - количество часов в году.

 

Стоимость электроэнергии, реализуемой в течение одного года:

 

Прибыль за первый год:

 

 

Амортизация определяется с помощью укрупненного показателя - 6% от стоимости оборудования и материалов:

 

 

Чистый доход предприятия от реализации инвестиционного проекта за год:

 

 

Чистый дисконтированный доход:

 

 

гдеД - ставка дисконтирования, равная темпу инфляции (16% в 2015г.)

Чистый дисконтированный доход за первый год:

 

ЧДД последующих лет определяем аналогичным образом, результаты сводим в таблицу 8.5.

Дисконтированная сумма инвестиций в проект:

 

Дисконтированная сумма инвестиций в проект за первый год:

 

ДСИ последующих лет определяем аналогичным образом, результаты сводим в таблицу 8.5.

Чистая приведенная стоимость:

 

Чистая приведенная стоимость за первый год:

 

ЧПС последующих лет определяем аналогичным образом, результаты сводим в таблицу 8.5.

Индекс рентабельности:

 

Индекс рентабельности за первый год:

 

ИР последующих лет определяем аналогичным образом, результаты сводим в таблицу 8.5.

Таблица 8.5 - Расчет эффективности инвестиционных вложений

Порядковый номер года

ЧДД, тыс. руб.

ДСИ тыс. руб.

ЧПС тыс. руб.

ИР

1

31994,08

8331,73

23662,34

3,84

2

27581,10

7182,53

20398,57

3,84

3

23776,81

6191,84

17584,98

3,84

4

20497,25

5337,79

15159,46

3,84

5

17670,04

4601,54

13068,5

3,84

6

15232,80

3966,85

11265,95

3,84

7

13131,72

3419,70

9712,03

3,84

8

11320,45

2948,01

8372,44

3,84

9

9759,01

2541,39

7217,62

3,84

10

8412,94

2190,85

6222,08

3,84

11

7252,53

1888,67

5363,87

3,84

12

6252,18

1628,16

4624,02

3,84

13

5389,81

1403,59

3986,23

3,84

14

4646,39

1209,99

3436,40

3,84

15

4005,51

1043,09

2962,42

3,84

Итого:

206922,6

53885,72

153036,9

3,84



Как видно из таблицы 8.5, индекс рентабельности больше единицы за каждый год, следовательно, данный проект можно считать эффективным.

9 Безопасность жизнедеятельности

9.1 Введение. Выполнение требований электробезопасности в особо опасных помещениях по степени опасности поражения электрическим током

В отношении опасности поражения людей электрическим током помещения электроустановок различаются:

) помещения без повышенной опасности, в которых отсутствуют условия, создающие повышенную или особую опасность;

)помещения с повышенной опасностью, характеризующиеся наличием одного из следующих условий, создающих повышенную опасность:

сырость или токопроводящая пыль;

токопроводящие полы (металлические, земляные, железобетонные, кирпичные и т.п.);

высокая температура;

возможность одновременного прикосновения человека к металлоконструкциям зданий, имеющим соединение с землей, технологическим аппаратам, механизмам и т.п., с одной стороны, и к металлическим корпусам электрооборудования (открытым проводящим частям), с другой;

) особо опасные помещения, характеризующиеся наличием одного из следующих условий, создающих особую опасность:

особая сырость;

химически активная или органическая среда;

одновременно два или более условий повышенной опасности;

) территория открытых электроустановок в отношении опасности поражения людей электрическим током приравнивается к особо опасным помещениям.

Основные требования электробезопасности:

Токоведущие части электроустановки не должны быть доступны для случайного прикосновения, а доступные прикосновению открытые и сторонние проводящие части не должны находиться под напряжением, представляющим опасность поражения электрическим током, как в нормальном режиме работы электроустановки, так и при повреждении изоляции.

Для защиты от поражения электрическим током в случае повреждения изоляции должны быть применены по отдельности или в сочетании следующие меры защиты при косвенном прикосновении:

защитное заземление;

автоматическое отключение питания;

уравнивание потенциалов;

выравнивание потенциалов;

двойная или усиленная изоляция;

сверхнизкое (малое) напряжение;

защитное электрическое разделение цепей;

изолирующие (непроводящие) помещения, зоны, площадки.

9.2 Выбор и обоснование сетей до 1 кВ для электроснабжения насосной станции в условиях высокой влажности. Выбор заземляющего устройства энергообъекта. Подключение энергоприемников 6 и 0,4 кВ к контуру заземления

Так как, вследствие высокой влажности и химически активной среды, невозможно обеспечить хорошую изоляцию проводов, необходимо выбрать сеть с глухо заземленной нейтралью.

Внешнее заземляющее устройство выполняется по контуру насосной станции. В качестве горизонтального электрода применяем полосовую сталь сечением 40×4 мм. Вертикальные электроды изготавливаются из стальных стержней диаметром 20 мм и длиной 3 м.

Все металлические конструкции электрооборудования присоединяются к внутреннему контуру заземления, который изготавливается из полосовой стали сечением 25×4 мм и присоединяется к внешнему контуру не менее чем в двух точках.

Присоединение заземляемого оборудования к магистрали заземления осуществляется с помощью отдельных проводников, при этом не допускается последовательное включение заземляющего оборудования.

9.3 Расчет заземляющего устройства объекта

Исходные данные для расчета:

Длина горизонтального электрода 50 м;

Количество вертикальных электродов 20шт;

Длина вертикального электрода 5 м;

Диаметр вертикального электрода 0,02 м;

Удельное сопротивление грунта (суглинок) 150 Ом.

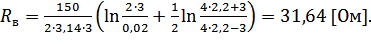
Сопротивление горизонтального электрода:

 

гдеρ - удельное сопротивление грунта, Ом/м;

lг - длина горизонтального электрода, м;

b - ширина горизонтального электрода, м;

hг - глубина залегания горизонтального электрода, м.

 

Сопротивление одного вертикального электрода:

 

гдеρ- удельное сопротивление грунта, Ом/м;

lв- длина вертикального электрода, м;

d- диаметр вертикального электрода, м;

hг- расстояние от поверхности земли до центра вертикального электрода, м.

 

Сопротивление заземляющего устройства:

 

Где ηв- коэффициент использования вертикальных электродов;

ηг- коэффициент использования горизонтальных электродов;

n- количество вертикальных электродов.

 

9.4 Первичные средства тушения пожара. Использование огнетушителей

Особое значение при тушении пожаров на энергетических предприятиях имеет умение персонала применять первичные средства пожаротушения.

В соответствии с правилами пожарной безопасности, производственные и служебные здания, сооружения и помещения, а также открытые производственные площадки должны быть обеспечены необходимыми первичными средствами пожаротушения.

К первичным средствам пожаротушения относятся:

все виды переносных и передвижных огнетушителей;

оборудование пожарных щитов;

ящики с порошковыми составами (песок, перлит и т.п.), а также огнестойкие ткани (асбестовое полотно, кошма, войлок и т.п.).

Первичные средства пожаротушения размещаются в легкодоступных местах и не должны быть помехой при эвакуации персонала из помещений.

Запрещается использование пожарного инвентаря и других средств пожаротушения для иных нужд, кроме тушения пожаров и обучения персонала.

Использованные или неисправные огнетушители должны быть немедленно убраны из защищаемого помещения и заменены исправными.

Для размещения первичных средств пожаротушения в производственных помещениях, а также на территории предприятий, как правило, должны устанавливаться специальные пожарные щиты.

Допускается одиночное размещение огнетушителей в небольших помещениях.


Не нашли материал для своей работы?
Поможем написать уникальную работу Без плагиата!