Материал: Эффект фотонной лавины в кристаллах и наноструктурах. Монография (Перлин), 2007, c.120

Внимание! Если размещение файла нарушает Ваши авторские права, то обязательно сообщите нам

нием оси роста наноструктуры. Аналогичным образом можно записать матричные элементы указанных взаимодействий, фигурирующие в выражениях для вкладов других диаграмм.

Огибающие четные (+) и нечетные (–) волновые функции для электронных состояний в квантовой яме глубиной Uc имеют вид:

 

 

(±)

(z) =

 

 

1

cos kn z

 

 

 

 

ϕn

 

 

sin k

z

,

 

 

 

1+

η1

(4.6)

 

 

 

 

 

 

 

 

n

 

n

 

 

 

η

n

= k2

k2

, k

0

= h1 2m U

c

.

 

 

0

n

 

 

 

 

c

 

 

Для четных и нечетных состояний в яме величины kn определяются как корни трансцендентных уравнений:

tg kn =ηn / kn , tg kn = kn /ηn.

(4.7)

Согласно закону сохранения квазиимпульса для рассматриваемого процесса:

k21 k1 = k3 k23 = q .

(4.8)

Считаем для простоты, что электроны в подзоне 2 заполняют состояния на дне подзоны до соответствующего квазиуровня Ферми. Состояния в подзоне 3 и 1, где электроны оказываются в результате процесса

22 + hω → 31, расположены далеко от дна подзоны. Поэтому заполнение этих состояний можно не учитывать. Тогда для полной вероятности пере-

хода 22 + hω → 31 имеем:

W22,31 =

S3

dk21

dk23 dqW (k21,k23;k21 q,k23 + q),

(4.9)

(2π)6

 

 

k21k2 F

k 23 k2 F

 

где kiF – граничные волновые числа Ферми для i-ой подзоны. Представим δ-функцию в правой части (4.1) в виде:

=δ(hω + E2k21 E1(k21q) E3(k23 +q) + E2k23 ) =

= m2c δ

[λ q2

+ q (k21 k23 )],

(4.10)

 

h

 

 

 

 

 

 

где

 

 

 

 

 

 

λ = mc (hω + 2E

 

E

E ).

(4.11)

h2

 

 

20

10

30

 

Выполняя с помощью δ-функции интегрирование по углу между двумерными векторами q и (k21 k23 ) получим вместо (4.10) выражение

 

 

 

 

 

mc

.

(4.12)

h2 (q

 

k21

k23

 

+ λ q2 )(q

 

k21 k23

 

λ + q2 )

 

 

 

 

 

 

 

 

 

 

 

63

Пределы интегрирования по q = q в (4.9) таковы, что подкоренное выражение в знаменателе (4.12) всегда положительно. Имеем:

 

 

 

 

(d )

 

 

S3m

 

 

 

4πn2

 

 

 

 

4πn2

 

 

 

 

π

 

 

 

 

 

 

 

 

 

 

W22,31 =

 

 

 

 

 

c

 

 

 

k21dk21

 

k23dk23 dθ ×

 

 

 

 

 

 

(2π)

2 3

 

 

 

 

 

 

 

 

 

 

 

 

 

 

 

h

 

 

 

0

 

 

 

 

 

0

 

 

 

 

π

 

 

 

 

 

 

 

 

 

 

s2 (θ )+ p2 (θ )

 

 

 

 

 

 

 

 

 

 

 

 

 

 

 

 

 

(M (d ) (q))2

 

 

 

 

 

 

 

 

 

 

 

 

 

 

 

 

 

 

 

 

 

 

 

 

 

 

 

 

 

 

 

 

 

 

 

 

 

× dq q

 

 

 

 

 

 

 

 

 

 

 

 

 

 

 

 

 

 

 

 

 

 

 

 

,

(4.13)

 

 

 

(ξ

(s

2

(θ) p

2

(θ))

2

)((s

2

(θ) + p

2

(θ))

2

ξ

2

)

 

s2 (θ )p2 (θ )

 

 

 

 

 

 

 

 

 

 

 

 

 

 

где

 

 

 

 

 

 

 

 

 

 

 

 

 

 

 

 

 

 

 

 

 

 

 

 

 

 

 

 

 

 

 

 

 

 

s2 (θ) = (1/ 2)

 

k

21

k

23

 

 

= (1/ 2)

k

2

+ k2

2k k

23

cosθ ,

 

 

 

 

 

 

 

 

 

 

 

 

 

 

 

 

 

 

 

 

 

 

 

 

 

 

 

 

 

 

21

 

 

23

21

 

 

 

 

 

 

 

(4.14)

 

 

 

 

p2 (θ) = (1/ 2)

 

 

k2

+ k2

2k k

cosθ + 4λ .

 

 

 

 

 

 

 

 

 

 

 

 

 

 

 

 

 

 

 

 

 

 

 

 

 

 

 

 

 

 

 

 

 

 

 

21

 

23

 

 

1

3

 

 

 

 

 

 

 

 

 

 

 

 

 

Для полной вероятности необходимо ввести множитель β, описывающий слабую интерференцию прямого и обменного вкладов в вероятность перехода 22→31. Как показывают более детальные вычисления, этот коэффициент слабо отличается от единицы. В итоге получаем:

W22,31 = 2βW22,31(d ) .

(4.15)

Рис. 4.3. Зависимость вероятности W22,31 от концентрации носителей в подзоне

2: a = 5 нм, j = 1 МВт/см2

64

22,31
(d )

На рис. 4.3 представлена зависимость величины W / S от концен-

трации электронов в подзоне 2 при полуширине квантовой ямы, a = 5 нм, и энергии кванта hω = 0.3 эВ.

§ 4.4. Уравнения баланса заселенностей электронов

При составлении уравнений баланса следует иметь в виду, что при больших интенсивностях накачки j концентрации электронов в подзонах 1 и 2 становятся сопоставимыми, и следует учитывать фотоиндуцированные переходы, как с поглощением, так и с испусканием фотона. Сказанное не относится к переходам 2 3, 3 с, так как конечные состояния для этих переходов практически не заполнены из-за отдаленности от минимумов соответствующих подзон в квантовой яме. Обладая относительно большой кинетической энергией, электроны или дырки в этих конечных состояниях быстро теряют ее за счет внутризонной или внутриподзонной релаксации и покидают область резонанса.

Система уравнений для концентраций электронов n1,2,3,с в трех подзонах квантовой ямы и в непрерывном спектре имеет вид:

n&c =σ3c jn3 Wc3nc ,

n&3 =Wc3nc σ3c jn3 (W31 +W32 )n3 +W22,31(n2 ),

n&2 = −W21n2 +W32n3 2W22,31(n2 ) +σ12 j(n1 n2 ), n&1 = −σ12 j(n1 n2 ) +W21n2 +W31n3 +W22,31(n2 )

(4.16)

с начальными условиями: n2, n3, nc =0, n1 = n0 при t = 0. В формулах (4.16) nc – «двумерная» концентрация носителей в зоне проводимости, отличающаяся от обычной концентрации n%c множителем nw (число квантовых ям на

единицу длины в направлении оси роста наноструктуры), n%c = nwnc ;

Wij (i > j) – скорости релаксационных переходов из i-й подзоны в j-ю, σji – сечения оптических переходов между j-ой и i-ой подзонами, σc3 – сечение оптического перехода между верхней подзоной 3 и состояниями непрерывного спектра зоны проводимости, Wc3 – скорость захвата электронов и

дырок из непрерывного спектра зоны проводимости в подзону 3 квантовой

ямы. Вероятность перехода 22 + hω → 31 описывается членом W22,31. Оценка сечений σij оптических переходов между i-й и j-й подзонами про-

водится с учетом того, что типичные ширины полос межподзонного поглощения составляют 10-30 мэВ. Сечения σc3 были рассчитаны в § 3.2.

При численных расчетах удобно пользоваться уравнениями баланса именно в форме (4.16), хотя благодаря соотношению nc + n3 + n2 + n1 = n0 можно свести (4.16) к системе из трех нелинейных уравнений.

65

§ 4.5. Результаты численного решения уравнений баланса и их обсуждение

В расчете использовались следующие значения параметров, фигурирующих в правых частях уравнений (4.16): a = 3.0 нм, n0 =1012 см-2, mc = 0.04m ,

W31 = 20 нс-1, Wc3 =10 нс-1, W32 = 70 нс-1, W21 = 100 нс-1, σ12 = 3 см2 / нс МВт,

σ3c = 25 см2/МВт нс, Uc =1.74 эВ.

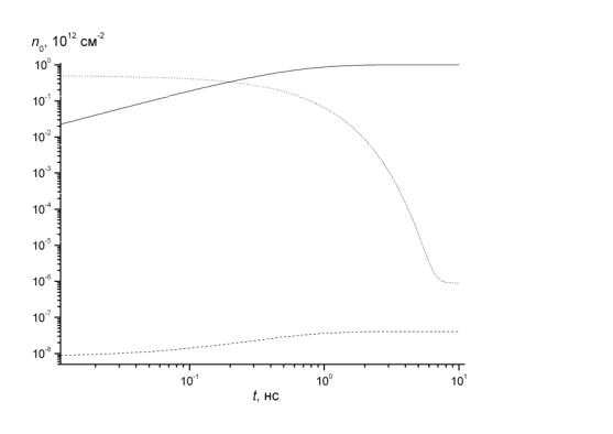
Рис. 4.4. Зависимости концентраций носителей в подзонах размерного квантования и в зоне проводимости от времени с момента включения импульса накачки; n1, n2 – пунктирная линия; n3 – штриховая линия; nc – сплошная линия

На рис. 4.4 приведены зависимости концентраций носителей в подзонах квантовой ямы и в непрерывном спектре от времени, прошедшего с момента включения импульса накачки с интенсивностью 1 МВт/см2. Следует отметить, что вследствие того, что частота падающего света попадает в резонанс с частотой перехода между первой и второй подзонами, происходит быстрое перераспределение электронов между ними и затем их заселенности практически совпадают. В отличие от эффекта фотонной лавины заселенности плавно меняются со временем. Квазиравновесные заселенности при j = 1 МВт/см2 устанавливаются за времена порядка наносекунд.

66

Рис. 4.5. Зависимости квазиравновесных концентраций носителей в подзонах размерного квантования и в зоне проводимости от интенсивности накачки j: n1, n2 – пунктирная линия; n3 – штриховая линия; nc – сплошная линия

На рис. 4.5 приведены зависимости квазиравновесных заселенностей n1,2,3,c от интенсивности импульса накачки. Видно, что уже при небольших

интенсивностях света заселенности первой и второй подзон размерного квантования практически выравниваются. Заселенность третьей подзоны все время остается низкой в силу того, что из этой подзоны электроны, по-

глощая кванты света hω, быстро уходят в непрерывный спектр. Концентрация носителей в состояниях непрерывного спектра оказывается высокой. Так при j ~ 100 КВт/см2 и среднем расстоянии между квантовыми

ямами ~ 105 см квазиравновесная концентрация носителей составляет ~ 1017 см3.

Полученные результаты показывают, что в отличие от эффекта фотонной лавины механизм оптического трамплина не характеризуется ка- кой-либо пороговой интенсивностью возбуждающего света, вблизи которой состояние системы претерпевает резкие изменения. Тем не менее, в случае достаточно высокой начальной концентрации электронов в нижней подзоне размерного квантования механизм оптического трамплина приводит к эффективной ионизации глубокой квантовой ямы длинноволновым светом с частотой, резонансной переходу между двумя нижними подзонами размерного квантования. При этом разность энергий электрона в состоянии непрерывного спектра и в нижней подзоне размерного квантова-

67