Материал: Эффект фотонной лавины в кристаллах и наноструктурах. Монография (Перлин), 2007, c.120

Внимание! Если размещение файла нарушает Ваши авторские права, то обязательно сообщите нам

скорость перехода оже-типа, в результате которого поглощается n фотонов и рождается электрон-дырочная пара с дыркой вблизи потолка зоны v и электроном в области c1, а инициирующий процесс электрон переходит из

области c2 в c1. В сечение σ12(2) вносят вклад как двухфотонные внутри-

зонные переходы, так и каскад из двух однофотонных переходов, в результате которых электроны попадают из области c1 в c2.

Поскольку длительности использованных световых импульсов малы по сравнению с характерными временами рекомбинации, в системе (6.20) опущены члены, учитывающие рекомбинацию электронов и дырок и захват носителей ловушками. Кинетика электронов с учетом этих процессов исследовалась в работе [109], где было показано, что плотность почернения D, пропорциональная числу захваченных электронов (после установления квазиравновесного распределения), пропорциональна, в свою очередь, числу свободных носителей, созданных импульсами актиничного и неактиничного излучений. При составлении системы (6.20) предполагалось, кроме того, что конечные состояния для всех типов переходов не заняты. Это предположение оправдывается тем, что электроны, переходя в область c1 зоны проводимости за счет поглощения актиничного и неактиничного излучений попадают в состояния достаточно далекие от дна зоны проводимости. Кроме того, в силу законов сохранения энергии и импульса, состояния двух электронов в области c1, куда они попадают в результате переходов оже-типа, также далеки от ее дна. В этих приближениях система балансных уравнений линейна, что позволяет легко получить ее аналитическое решение. Однако такое приближение для описания кинетики фотопереходов в зоне проводимости является весьма грубым. Более строгое рассмотрение требует учета неравновесного распределения электронных состояний в зоне проводимости, а также учета опустошения потолка валентной зоны, что существенно для больших значений интенсивностей излучения, используемых в эксперименте. Тем не менее, как будет видно из полученных результатов, такая упрощенная модель качественно согласуется с приведенными выше экспериментальными данными.

Аналитическое решение системы балансных уравнений для концентраций частиц в зонах имеет вид:

n

= ac e12 st (1+ bg n

)ch

rt

+

s(ac bgn10 ) + 2bg(c + an10 )

sh

rt

1

 

 

 

 

 

1

 

 

 

ac

10

 

 

 

acr

 

 

 

 

 

 

 

bg

 

 

 

 

 

2

 

 

 

 

 

 

 

 

2

 

 

 

 

 

 

 

 

 

 

 

,

 

 

 

 

 

 

 

(6.21)

 

 

 

 

 

 

 

 

 

 

 

 

 

 

 

 

 

 

 

 

n

=

c

e12st ch

rt

 

+ cs + 2bgn10 sh

rt

1

,

 

 

 

 

 

 

 

 

 

 

 

 

 

2

 

 

 

 

 

 

cr

 

 

 

 

 

 

 

 

 

g

 

 

 

2

 

 

 

2

 

 

 

 

 

 

где введены обозначения:

108

s = a + b , r = (a + b)2 + 4bg , p = av + d

, v

= c + d ,

 

 

 

 

 

 

 

 

 

 

 

 

b

 

 

 

g

 

a =W

+ g ,

g =γ

0

+γ

j

+γ

2

j2

,

b =σ(2) j2

,

 

 

21

 

 

 

 

1 na

 

na

 

 

 

12

na

 

(6.22)

 

 

d =σ (4+1) j5

 

+σ

(a+2)

j j2

,

 

 

 

 

 

 

 

 

 

 

 

 

 

 

 

v2

 

na

 

 

v2

 

a

na

 

 

 

 

 

 

c =σ (a) j

+σ(a+1) j j

+σ

(a+2)

j j2

+σ

(3)

j3

 

+σ (4)

j4

+σ(5)

j5 .

v1 a

v1

a na

v1

 

 

a na

 

 

v1 na

 

v1 na

v1 na

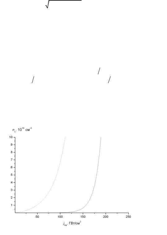
На рис. 6.9 представлены графики зависимости концентраций электронов в зоне проводимости в виде суммы n = n1 + n2 от интенсивности неактиничного излучения jna для следующих значений параметров системы:

W = 50 пс-1, γ

0

= 3,8 пс1 , γ

1

= 6.7 101

см2

(ГВт пс) ,

21

 

 

 

 

γ2 = 6.6 102 см4

(ГВт2 пс) , σv(42+1) = 9.7 104 см7 ГВт5 пс,

σv(3)1 = 7.3 107 см3(ГВт3 пс) , σv(1a) =1.0 1015 1(ГВт пс см) ,

σv(1a+1) =1.3 1015 см(ГВт2 пс) , σv(1a+2) = 3.9 1013 см3(ГВт3 пс) ,

σv(a2+2) = 2.0 1012 см3(ГВт3 пс) , σ12(2) = 3.0 105 см4(ГВт2 пс) ,

ja =1 ГВт/см2, n10 = 1015 см3 и длительности импульсаτi = 5 пс.

Рис. 6.9. Зависимость концентрации электронов в зоне проводимости от интенсивности излучения в двухзонной модели в случае взаимодействия системы с неактиничным излучением (сплошная линия) и в случае совместного действия излучений на систему (пунктирная линия)

Оценка сечений прямых четырехфотонных и пятифотонных межзонных переходов, выполненная на основе результатов работы [87], дает σv(4)1 8.8 105 см6(ГВт4 пс) и σv(5)1 8.9 103 см7 (ГВт5 пс) .

109

Следует отметить, что результаты расчета весьма заметно зависят от значения параметра σ12(2) . Так, например, уменьшение этой величины на

два порядка привело бы к смещению пороговой интенсивности в случае взаимодействия материала только с неактиничного излучения в область значений 103 ГВт/см2.

График зависимости концентрации электронов от интенсивности неактиничного излучения для случая, когда актиничное излучение отсутствует, приведен на рис 6.9 (сплошная линия). Видно, что зависимость носит пороговый характер. При относительно небольшом изменении jna в области значений 100-200 ГВт/см2 концентрация электронов в зоне проводимости резко увеличивается от исходного значения до величины n ~ 1019 см-3.

В случае одновременного действия излучений роль актиничного излучения в основном состоит в том, чтобы быстро создать дополнительную концентрацию неравновесных носителей, позволяющую запустить нелинейные по концентрации свободных носителей процессы генерации элек- трон-дырочных пар при меньших интенсивностях неактиничного излучения. Это обеспечивается тем, что увеличиваются значения сечений оптических переходов, ответственных за генерацию пар, т.к. сечения смешенных двухфотонных и трехфотонных переходов больше сечений четырехфотонных и пятифотонных переходов, происходящих только под действием неактиничного излучения. Расчетная зависимость концентрации электронов в зоне проводимости от интенсивности неактиничного излучения при одновременном действии излучений дана на рис. 6.9 (пунктирная линия). Видно, что в этом случае зависимость концентрации от интенсивности неактиничного излучения становится менее резкой, а значение концентрации электронов n ~ 1018 см-3 достигается при интенсивности излучения в десятки ГВт/см2. Этот результат качественно согласуется с экспериментальными кривыми, представленными на рис. 6.6 (кривые, обозначенные символами ô и É соответственно). Исключение составляет область концентраций электронов n t 1019 см-3, когда уже могут быть существенными эффекты заполнения для всех типов актуальных оптических переходов и переходов оже-типа. Очевидно, что при этом увеличение концентрации с ростом интенсивности неактиничного излучения должно замедлиться, как это и видно на рис. 6.6 (кривая, обозначенная символом É).

Таким образом, рассмотренный новый механизм многофотонных межзонных переходов в материалах с непрямой запрещенной зоной, как показывают результаты расчетов, является весьма эффективным при интенсивностях лазерного излучения j t 1010 Вт/см2 в пикосекундном временном масштабе. В исследованной системе с широкой и непрямой запрещенной зоной при начальной концентрации носителей в зоне проводимости 1016 см3 вероятность двухфотонных переходов с участием свободных носителей на несколько порядков больше вероятностей других про-

110

цессов генерации электрон-дырочных пар: междузонного пятифотонного и непрямого трехфотонного с участием фонона.

Таким образом, в данной главе проанализированы процессы возбуждения нанокристаллов AgBr актиничным излучением с энергией кванта

hωa = 3.51 эВ, превосходящей ширину непрямой запрещенной зоны

(Eg = 2.6 эВ), и неактиничным излучением с hωna = 1.17 эВ. Показано, что наблюдаемые нетривиальные зависимости плотности почернения материала D от интенсивности неактиничного излучения jna, в частности, исключительно резкий рост D при jna 1.5×1011 Вт/см2 в отсутствие актиничного излучения, происходят за счет межзонных фотопереходов с участием одного либо двух фотонов и свободных электронов, внутризонное возбуждение которых обусловлено однофотонным и двухфотонным поглощением неактиничного излучения.

111

ЗАКЛЮЧЕНИЕ

В этом разделе мы резюмируем представленные результаты. Общей идеей работы, объединяющей ее отдельные части, является использование для анализа новых моделей оптического возбуждения объемных кристаллов и наноструктур. В этих моделях ключевую роль играют процессы оже-типа, в том числе, с участием в элементарном акте одного или нескольких фотонов. Именно процессы оже-типа ответственны за лавинное увеличение числа электронов или дырок в возбужденных состояниях системы. При рассмотрении эффекта фотонной лавины в наноструктурах установлено, что наименьшей пороговой интенсивностью и самыми короткими временами переключения характеризуются материалы с глубокими легированными квантовыми ямами. Наиболее высокая степень апконверсии достигается в гетероструктурах типов I или II, где за счет эффекта фотонной лавины можно возбудить неравновесные электрон-дырочные пары с энергией, почти в 5 раз превосходящей квант возбуждающего света.

Несколько меньшей по сравнению с механизмом фотонной лавины эффективностью характеризуется механизм оптического трамплина. Тем не менее, и этот механизм может обеспечить более высокую вероятность возбуждения системы низкочастотным светом, чем «обычное» каскадное или многофотонное поглощение.

Как было показано выше, при определенных условиях механизм многофотонной лавины может играть превалирующую роль в предпробойном возбуждении электронной системы широкозонных диэлектриков или полупроводников мощным низкочастотным светом. Эффект многофотонной лавины, как и «обычный» эффект фотонной лавины, но в отличие от эффекта оптического трамплина, характеризуется наличием четко выраженной пороговой интенсивности возбуждающего света. В то же время, эффект многофотонной лавины, как и эффект оптического трамплина, но в отличие от «обычного» эффекта фотонной лавины, основан на процессе передачи возбуждения с участием фотонов в элементарном акте.

Изложенные выше теоретические результаты имеют отчетливую практическую направленность. Решение рассмотренных задач представляется весьма перспективным для технических и технологических приложений, в частности, для силовой оптики и бурно развивающейся в настоящее время оптики наноструктур. К наиболее важным результатам, представленным в монографии, можно отнести вывод о возможности наблюдения эффекта фотонной лавины в гетероструктурах с глубокими квантовыми ямами. Исследованные низкоэнергетические пороговые процессы типа фотонной лавины предоставляют широкий круг возможностей для управления светом с помощью света, разработки оптических логических элементов и других устройств для вычислительных и коммуникационных систем. Кроме того, полученные результаты позволяют расширить существующие представления о чрезвычайно важной как в научном, так и в прикладном

112