Материал: ДИНАМИКА

Внимание! Если размещение файла нарушает Ваши авторские права, то обязательно сообщите нам

Согласно (1), имеем

F

2U

 

2U

 

Fy

x =

 

 

=

 

=

 

 

 

 

 

y

y x

 

x y

 

x

где U (х, у, z) – силовая функция

 

 

 

 

 

Аналогично

Fx

=

Fz

Fz

=

Fy

z

x

y

z

241

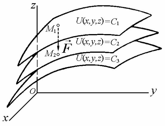
3.39. Поверхности уровня

потенциального силового поля и их свойства

Поверхность уровня (эквипотенциальная поверхность) - геометрическое место точек потенциального силового поля, для которых значения силовой

функции постоянны:

 

U (х, у, z) = С.

(1)

1. Если начальная и конечная точки перемещения лежат на одной поверхности уровня, то работа силы стационарного потенциального поля по перемещению материальной точки из начального положения в конечное – равна нулю.

А= U (х, у, z)U (х0, у0, z0),

(2)

На одной поверхности уровня:

U (х, у, z) = U (х0, у0, z0) = С , следовательно, А = 0.

243

F

2. Сила потенциального поля в любой момент времени направлена по нормали к поверхности уровня.

Для любого момента времени t :

U [х(t), у(t), z(t)] C.

(3)

Продифференцируем

U dx

+

U dy

+

U dz

0

(4)

x dt

y dt

z dt

 

 

 

 

 

 

 

 

 

244

Учитывая что

Fx =

 

U

Fy =

U

 

=

U

(5)

 

 

 

 

 

 

 

 

 

 

 

,

,

Fz

z

 

 

 

x

 

y

 

 

 

и

 

 

 

 

 

 

 

 

 

 

 

 

 

 

vx

=

dx

vy

=

dy

vz

=

dz

 

dt

 

dt

dt

 

 

 

 

 

 

 

 

 

 

из формулы (4) имеем

 

 

 

 

 

 

 

 

 

 

 

 

 

 

Fxvx +Fyvy +Fzvz

= 0

 

 

(6)

 

 

 

 

 

 

 

 

 

 

 

 

 

 

или

 

Fv = 0 , следовательно

 

F v

 

 

 

 

245