Материал: ДИНАМИКА

Внимание! Если размещение файла нарушает Ваши авторские права, то обязательно сообщите нам

Моменты инерции круга относительно осей и :

Jx + Jy = JO

J

 

= J

 

=

1

J

 

=

1

MR2

(15)

x

y

 

O

 

 

 

2

4

 

 

 

 

 

 

 

96

5. Круглый цилиндр.

Момент инерции цилиндра относительно его оси :

Jz = 12 MR2 .

6. Момент инерции шара относительно его центра:

JO = 53 MR2

Jx = Jy = Jz = 23 JO = 52 MR2

98

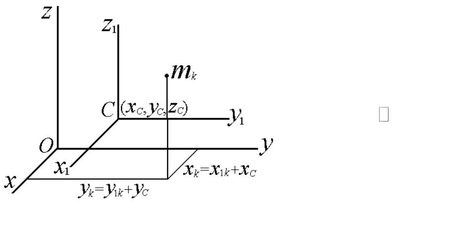
3.13. Зависимость между моментами инерции относительно параллельных осей

С - центр масс

Cz1 Oz

99

N

 

JOz = mk (xk2 + yk2 );

 

k =1

 

N

(1)

JCz1 = mk (x12k + y12k ).

 

k =1

 

xk= x1k+ xС;

yk= y1k+ yС.

(2)

(xC2 + yC2 ) = d 2

100