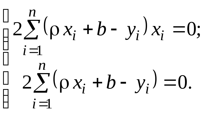
Для отыскания значений аргументов функции двух переменных, при которых функция достигает экстремума, необходимо решить систему двух уравнений

После дифференцирования (3) получаем

После элементарных
преобразований получаем систему двух
линейных уравнений относительно
и b:
(4)
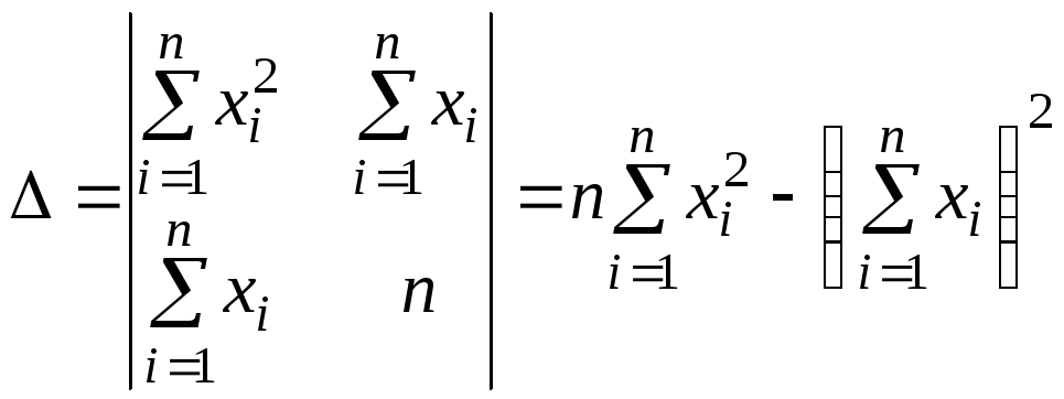
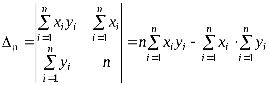
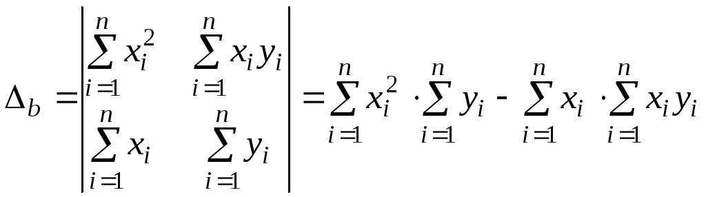
Для решения (4) по правилу Крамера находим определители
;
;
.
Таким образом,
; (5)
.
Аналогичным образом можно найти параметры выборочного уравнения регрессии Х на Y, применяя метод наименьших квадратов к зависимости
,
где
– выборочный коэффициент регрессии Х
на Y.
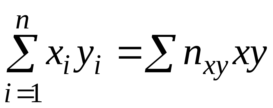
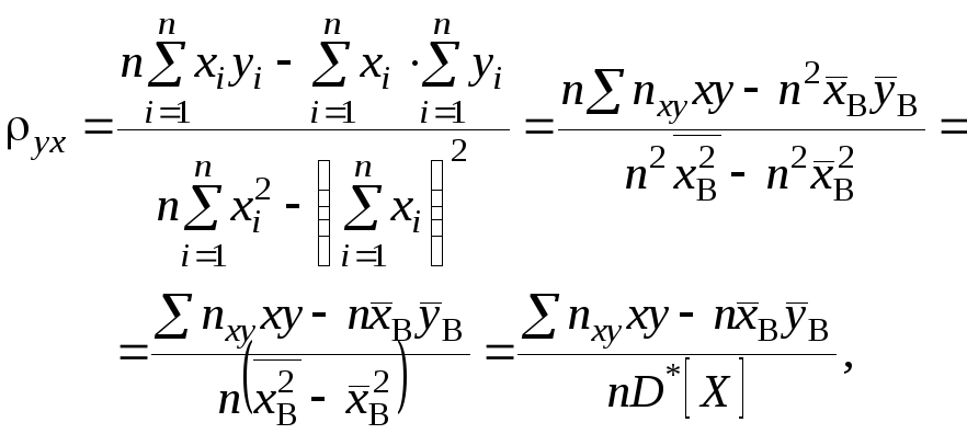
Очевидно, систему уравнений (4) можно представить в другом виде. Так как
,
(6)
где введено
обозначение
,
учитывающее, что пара чисел
наблюдалась
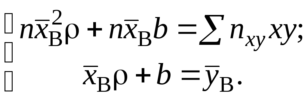
раз, то систему (4) можно записать как
(7)
Из второго уравнения
системы (7) находим
.
Подставляя это значение параметра b
в исходное уравнение
,
получаем
.
(8)
Преобразуем решение
для
(5) с учетом обозначений (6):
(9)
где
– выборочная дисперсия. После умножения
обеих частей (9) на дробь
![]()
,
где
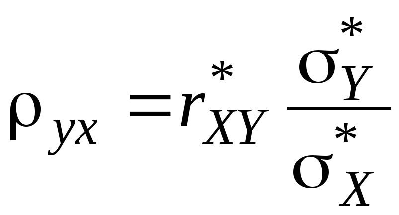
– выборочный коэффициент корреляции.
Таким образом,
.
(10)
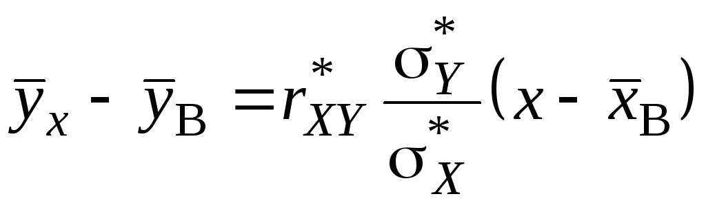
Подставляя (10) в (8), получаем окончательный вид уравнения прямой линии регрессии Y на Х
.
(11)
Заметим, что аналогичным образом можно найти уравнение прямой линии регрессии Х на Y, которое имеет вид
.
(12)
Таким образом, уравнения регрессии (11) или (12) характеризуют линейную связь условных средних системы двух случайных величин с их возможными значениями. Параметрами зависимости являются выборочные средние и среднеквадратические отклонения случайных величин Х и Y, а также выборочный коэффициент корреляции.
Пример.
Произведена экспертиза томатов.
Зарегистрированы сроки хранения Х
(в часах) и одновременно записаны
соответствующие значения содержания
группы определяющих витаминов Y
(в мг). Зарегистрированные значения
величин
приведены в табл.1. Найти оценки для
числовых характеристик системы
.
Составить выборочное уравнение прямой
линии регрессии Y
на Х.
Таблица 1
|
i |
X |
Y |
XY |
X 2 |
Y 2 |
|
1 |
1,8 |
43 |
77,4 |
3,24 |
1849 |
|
2 |
2,6 |
44 |
114,4 |
6,76 |
1936 |
|
3 |
1,5 |
35 |
52,5 |
2,25 |
1225 |
|
4 |
2,1 |
40 |
84 |
4,41 |
1600 |
|
5 |
2,3 |
42 |
96,6 |
5,29 |
1764 |
|
6 |
1,6 |
37 |
59,2 |
2,56 |
1369 |
|
7 |
1 |
32 |
32 |
1 |
1024 |
|
8 |
1,2 |
31 |
37,2 |
1,44 |
961 |
|
9 |
1,4 |
36 |
50,4 |
1,96 |
1296 |
|
10 |
1,7 |
39 |
66,3 |
2,89 |
1521 |
Решение.
Для наглядности пары точек
нанесены на гра-фик (рис. 2). Расположение
точек на графике уже свидетельствует
о наличии определенной зависимости
(положительной корреляции) между Х
и Y.
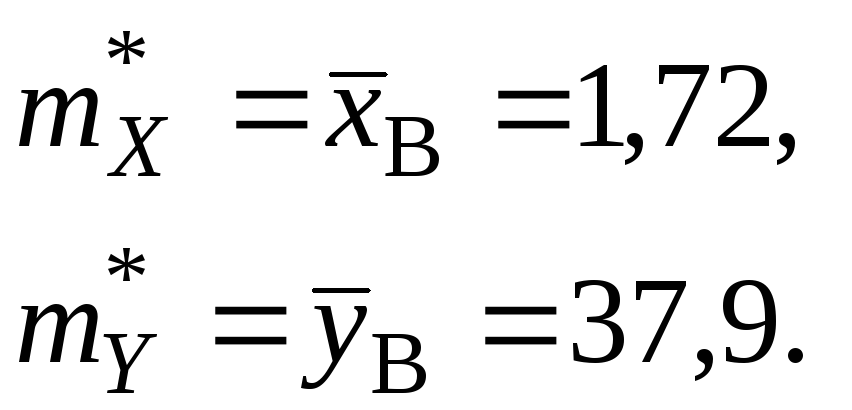
Известным способом определяются выборочные средние величин Х и Y:
![]()
Эти величины рассчитываются как средние арифметические второго и третьего столбцов (Х и Y) табл. 1.
Для определения дисперсий величин Х и Y сначала целесообразно вычислить их вторые выборочные начальные моменты:
![]()
Эти величины
рассчитываются как средние арифметические
пятого и шестого столбцов (
и
)
табл. 1.
Имея эти данные, можно определить выборочную дисперсию величин Х и Y:
![]()
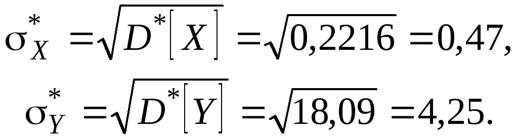
Выборочные среднеквадратические отклонения соответственно равны
![]()
Определяем
выборочный второй смешанный момент
.
Для этого находится среднее арифметическое
произведений пар
,
которые помещены в четвертом столбце
(ХY)
табл.1, из которого вычитается произведение
выборочных средних:
.
Рис.
2

.
Полученное
достаточно боль-шое
значение
указывает на наличие существенной связи
между Х
и Y.
Подставив вычисленные значения числовых характеристик в (11), получаем уравнение регрессии Y на Х
.
После элементарных преобразований
.
Очевидным способом, используя вычисленные числовые характеристики, можно построить уравнение регрессии Х на Y.
1. По указанию
преподавателя выбрать один из вариантов
выборок Х и Y объема
из прил., табл. П2 и П3. Открыть новый лист
программы Excel и начать
формировать таблицу, аналогичную табл.1
рассмотренного примера. Выборки Х и
Y поместить в соседние
столбцы Х и Y
таблицы. При помощи «Мастера диаграмм»
нанести на точечную диаграмму пары
точек
.
Убедиться в наличии зависимости Y
от Х.
2. Определить
выборочные средние
и
как среднее ариф-метическое элементов
столбцов Х и Y.
3. Сформировать
столбцы XY,
и
,
элементами которых являются произведения
соответствующих элементов столбцов Х
и Y, и квадраты
значений элементов столбцов Х и Y.
4. Определить выборочную дисперсию величин Х и Y как
,
где
и
– средние арифметические соответственно
столбцов
и
.
По выборочным дисперсиям найти выборочные
среднеквадратические отклонения
и
.
5. Определить
выборочный второй смешанный момент
по формуле
.
6. Вычислить значение коэффициента корреляции по формуле
.
7. Используя вычисленные выборочные числовые характеристики составить выборочное уравнение прямой линии регрессии Y на Х (11).