Пример. В
эксперименте было зафиксировано
значений непрерывной случайной величины,
так что
и
.
Необходимо построить гистограмму
относительных частот для статистического
распределения выборки с длиной частичных
интервалов
.
Статистическое распределение выборки
приведено в табл. 1 (первые три столбца).
Таблица 1
|
Номер интервала |
Частичный интервал
|
Сумма частот вариант
интервала
|
|
|
|
1 2 3 4 5 6 7 |
0 – 5 5 – 10 10 – 15 15 – 20 20 – 25 25 – 30 30 – 35 |
3 8 23 41 11 9 5 |
0,6 1,6 4,6 8,2 2,2 1,8 1,0 |
0,006 0,016 0,046 0,082 0,022 0,018 0,010 |
Рис.
1

Решение. Объем
выборки
.
Следовательно, легко най-ти плотность
относительной частоты, которая для
каждого частич-ного интервала приведена
в последнем столбце таблицы. Гистограмма
относительных частот для заданного
распределения выборки приведена на
рис. 1.
1. По
указанию преподавателя выбрать один
из вариантов выборки Х объема
из прил., табл. П1. Открыть новый лист
программы Excel и перенести
в один из столбцов листа элементы выборки
Х.
Обработать элементы выборки следующим образом:
1.1. Скопировать в соседний столбец элементы заданной выборки. Сформировать в этом столбце (назовем его столбцом Х) вариационный ряд (применить к столбцу операцию сортировки по возрастанию). Отметим, что последняя операция не имеет никакого значения для вычисления параметров закона распределения, так как от перестановки слагаемых сумма не меняется, но необходима для построения гистограммы.
1.2. В следующем
справа столбце (назовем его столбцом
)
разместить квадраты упорядоченных
значений элементов столбца Х.
2. В соответствии
с формулой (1) определить выборочную
среднюю
элементов выборки как среднее
арифметическое элементов столбца Х.
3. Определить
среднее арифметическое значение
элементов столбца
(выборочных
средний квадрат
).
В соответствии с формулой (9) определить
выборочную дисперсию
как разность между выборочным средним
квадратом
и квадратом выборочной средней
.
4. Найти несмещенную
выборочную дисперсию
,
используя выражение (10).
5. Для построения
гистограммы относительных частот
необходимо разбить весь интервал
значений выборки на
частей. При этом длина каждого частичного
интервала будет равна
,
где
и
– минимальное и максимальное выборочное
значение соответственно (первый и
последний элемент вариационного ряда
– столбца Х). Определить все частичные
интервал
по формуле
.
6. Для расчета параметров гистограммы на листе Excel сформировать таблицу из 5 строк, аналогичную табл.1. Каждая строка соответствует одному из частичных интервалов.
7. Построить гистограмму относительных частот.
Лабораторная работа № 2
СОСТАВЛЕНИЕ ВЫБОРОЧНОГО УРАВНЕНИЯ ПРЯМОЙ ЛИНИИ РЕГРЕССИИ ДЛЯ ПРОИЗВОДИТЕЛЬНОСТИ АППАРАТА
Задание
1. По заданной
выборке двумерной случайной величины
(срок хранения и содержание питательных
веществ) определить оценки основных
числовых характеристик распределения
генеральной совокупности (выборочное
среднее
,
выборочную дисперсию
и выборочный коэффициент корреляции
).
2. Составить выборочное уравнение прямой линии регрессии.
Краткие сведения из теории
Выборочное
уравнение регрессии. Зависимость
условного математического ожидания
называют функций (линией)
регрессии Y на Х.
Соответственно зависимость
называется функций (линией)
регрессии Х на Y.
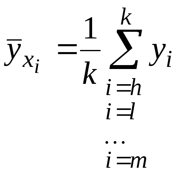
В качестве оценок условных математических ожиданий принимают условные средние, которые находят по данным наблюдения, т. е. по выборке.
Условным средним
называют среднее арифметическое
наблюдавшихся значений Y,
соответствующих
.
Так, если при
величина Y приняла k
значений
,
то
.
Например, если при
величина Y приняла
значения
;
;
,
то
.
Аналогичным образом
определяется условное среднее
– среднее арифметическое наблюдавшихся
значений Х, соответствующих
.
Условное
математическое ожидание, например
,
является функцией х. Следовательно,
его оценка, т. е. условное среднее
,
также будет функцией х. Уравнение
![]()
называют выборочным
уравнением регрессии Y
на Х; функцию
называют выборочной регрессией Y
на Х, а ее график – выборочной
линией регрессии Y
на Х. Аналогично уравнение
![]()
называют выборочным
уравнением регрессии Х на Y;
функцию
называют выборочной регрессией Х
на Y, а ее график –
выборочной линией регрессии Х
на Y.
При исследовании
статистических зависимостей обычно
задаются из каких-либо соображений
видом функций
или
.
Таким образом, анализ выборочных данных
направлен на определение параметров
функций
или
.
Определение
параметров линейных уравнений регрессии.
Пусть
изучается система двух случайных величин
.
В результате
п
независимых опытов получены п
пар чисел
.
Найдем по данным наблюдений выборочное
уравнение прямой линии регрессии. Для
определенности будем искать уравнение
регрессии Y
на Х:
(1)
Коэффициент
k
в (1) называют выборочным
коэффициентом регрессии
Y
на Х
и обозначают как
.
Ясно, что
является оценкой коэффициента регрессии
генеральной совокупности.
Очевидно, прямая
линия регрессии должна так расположиться
среди точек
,
построенных по данным наблюдений, чтобы
для каких-либо
и
значения Y
на прямой
линии регрессии соответствовали условным
средним
и
.
Иными словами, прямая (1) должна проходить
через средние значения случайной
величины Y,
которые она принимает при всех возможных
значениях второй случайной величины Х
(рис.1).
Если не проводить группировку выборочных данных, то с учетом введенного обозначения уравнение (1) можно записать в виде
.
(2)
Подберем параметры
и b
уравнения (2) так, чтобы точки
,
,
построенные по данным наблюдений, лежали
как можно ближе к прямой (2). Для уточнения
понятия «как можно ближе» введем параметр
,
имеющий
смысл отклонения
вычисленного по уравнению (2) значения
,
соответствующего наблюдаемому значению
,
от наблюдаемого значения
пары
.
Рис.
1

и b
так, чтобы сумма квадратов отклонений
для всех точек
была минимальной. Такой подход к обработке
выборочных данных называется методом
наименьших квадратов.
Так как каждое отклонение зависит от
отыскиваемых параметров, то и сумма
квадратов отклонений будет функцией
определяемых параметров
и b.
При использовании метода наименьших
квадратов для определения параметров
и b
полученная прямая (2) называется выборочной
среднеквадратической линией регрессии.
Таким образом, для определения параметров выборочной среднеквадратической прямой линии регрессии необходимо рассмотреть функцию
,
(3)
и
найти такие значения параметров
и b,
при которых функция двух переменных
(3) достигает минимума.