САНКТ-ПЕТЕРБУРГСКИЙ НАЦИОНАЛЬНЫЙ ИССЛЕДОВАТЕЛЬСКИЙ УНИВЕРСИТЕТ ИНФОРМАЦИОННЫХ ТЕХНОЛОГИЙ, МЕХАНИКИ И ОПТИКИ

Г.В. Алексеев
2012
УДК 681.3.06
Алексеев Г.В. Основы научных исследований, организации и пла-нирования эксперимента: Учеб.-метод. пособие. СПб.: НИУ ИТМО; ИХиБТ, 2012. 40 с.
Представлены систематизированные и обобщенные сведения по применению компьютерных технологий при обработке результатов эксперимента.
Пособие предназначено для направления подготовки магистров 151000 «Техно-логические машины и оборудование».
Рецензент: доктор техн. наук, проф. В.А. Арет
Рекомендовано к печати редакционно-издательским советом Института холода и биотехнологий
В 2009 году Университет стал победителем многоэтапного конкурса, в результате которого определены 12 ведущих университетов России, которым присвоена категория «Национальный исследовательский университет». Министерством образования и науки Российской Федерации была утверждена программа его развития на 2009–2018 годы. В 2011 году Университет получил наименование «Санкт-Петербургский национальный исследовательский университет информационных технологий, механики и оптики».
Санкт-Петербургский национальный исследовательский университет информационных технологий, механики и оптики, 2012
Алексеев Г.В., 2012
Цель лабораторных работ – научить студентов, обучающихся по магистерским программам направления 151000 – Технологические машины и оборудование, самостоятельно исследовать проблемы, препятствующие дальнейшему совершенствованию производства технологических машин и оборудования для пищевой промышленности и пищевых производств и выбирать пути их решения. Выполнившие задания лабораторного практикума, в частности, должны:
знать методы и средства обеспечения оптимального конструирования машиностроительной продукции, новейшие технологии конструирования технических устройств;
уметь строить план активного или пассивного эксперимента для моделирования процесса пищевого производства при определении оптимальных условий его реализации или выбора оптимальной конструкции для соответствующего аппарата, пользоваться новейшими технологиями конструирования технических устройств;
иметь навык по использованию компьютерной техники для реализации оптимальных режимов процессов и параметров конструкций оборудования для пищевых производств.
Курс «Основы научных исследований, организации и планирования эксперимента» базируется на естественнонаучной и инженерной подготовке студентов и тесно связан с такими дисциплинами, как высшая математика (разделы: теория вероятности и математическая статистика), теория механизмов и машин (в полном объеме), гидравлика (в полном объеме), инженерная графика (в полном объеме) и «Информатика» (разделы: операционная система Windows, численные методы вычислений и пакет прикладных программ Mathcad).
При изучении дисциплины «Основы научных исследований, организации и планирования эксперимента» требуется проведение достаточно большого объема вычислительных работ, в том числе с применением компьютерной техники, поэтому предусматривается проведение практических занятий и домашнего задания. Настоящее учебно-методическое пособие предназначено для более глубокой проработки отдельных разделов теоретического курса и для помощи при самостоятельном выполнении студентом лабораторного практикума, в том числе, с использованием персонального компьютера.
Лабораторная работа № 1
ОЦЕНКА НЕИЗВЕСТНЫХ ПАРАМЕТРОВ ЗАКОНА РАСПРЕДЕЛЕНИЯ ПОТРЕБИТЕЛЬСКОГО СВОЙСТВА ПОЛУЧЕННОГО ПРОДУКТА
Задание
1. По заданной
выборке некоторого потребительского
свойства товара определить оценки
основных числовых характеристик
распределения генеральной совокупности
(выборочное среднее
и несмещенную выборочную дисперсию
).
2. Построить гистограмму относительных частот.
Краткие сведения из теории
Генеральной
средней
дискретной случайной величины называют
среднее арифметическое генеральной
совокупности.
Если все значения
элементов генеральной совокупности
различны, то
.
Если же значения
элементов генеральной совокупности
имеют частоты
,
причем
,
то
.
Если генеральную
совокупность образует непрерывная
случайная величина, то генеральная
средняя определяется как ее математическое
ожидание
.
Для изучения генеральной совокупности обычно извлекается выборка объема п. Анализируя эту выборку можно сформировать некоторое представление о свойствах генеральной совокупности, например, о числовых характеристиках ее закона распределения.
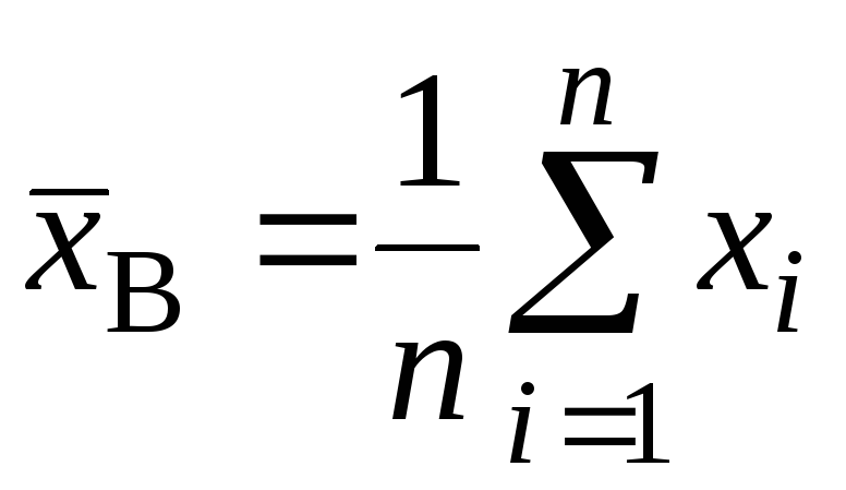
Выборочной
средней
называют среднее арифметическое значений
элементов выборки.
Если все значения
элементов
выборки различны, то
.
(1)
Если же значения
элементов выборки имеют частоты
,
причем
,
то
.
(2)
В качестве оценки математического ожидания генеральной совокупности (генерального среднего) принимается среднее арифметическое полученных элементов выборки (выборочных значений), т. е.выборочную среднюю (1) или (2). Таким образом, в общем случае
.
(3)
Нетрудно убедиться,
что оценка (3) является состоятельной:
согласно закону больших чисел, при
увеличении n среднее
арифметическое рассматриваемых величин
сходится по вероятности к
.
Оценка (3) является также и несмещенной, так как
.
(4)
Дисперсия оценки (3) равна
.
Согласно выражению
(4)
,
поэтому
(5)
Эффективность или неэффективность оценки (3) зависит от вида закона распределения величины Х. Можно доказать, что для гауссовской случайной величины Х дисперсия (5) будет минимально возможной, т. е. оценка (3) является эффективной.
Генеральной
дисперсией
называют среднее арифметическое
квадратов отклонений значений элементов
генеральной совокупности от их среднего
значения
.
Если все значения
элементов генеральной совокупности
различны, то
.
Если же значения
элементов генеральной совокупности
имеют частоты
,
причем
,
то
.
С генеральной
дисперсией связано генеральное
среднеквадратическое отклонение,
определяемое обычным образом как
.
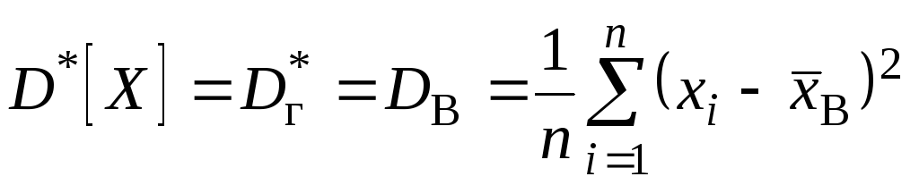
Выборочной
дисперсией
называют среднее арифметическое
квадратов отклонений выборочных значений
от их среднего значения
.
Если
все значения
элементов выборки различны, то
.
(6)
Если же значения
элементов выборки имеют частоты
,
причем
,
то
.
(7)
С
выборочной дисперсией связано выборочное
среднеквадратическое отклонение,
определяемое обычным образом как
.
В качестве оценки генеральной дисперсии используют выборочную дисперсию (6) или (7), т. е.
.
(8)
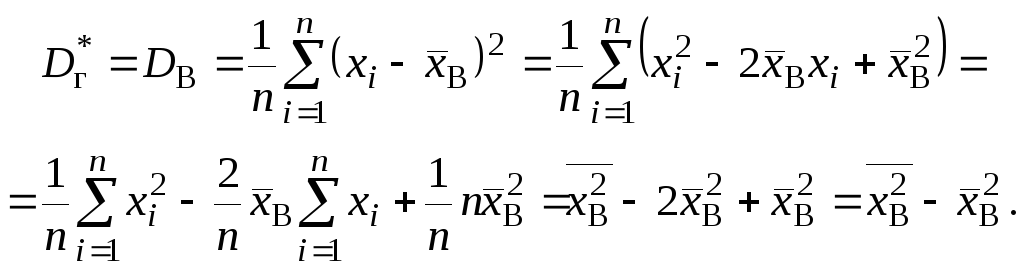
Выборочная дисперсия может определяться и другим известным способом, как
,
(9)
где
– средний квадрат выборочных значений.
Справедливость (9) вытекает из элементарных
преобразований (8):

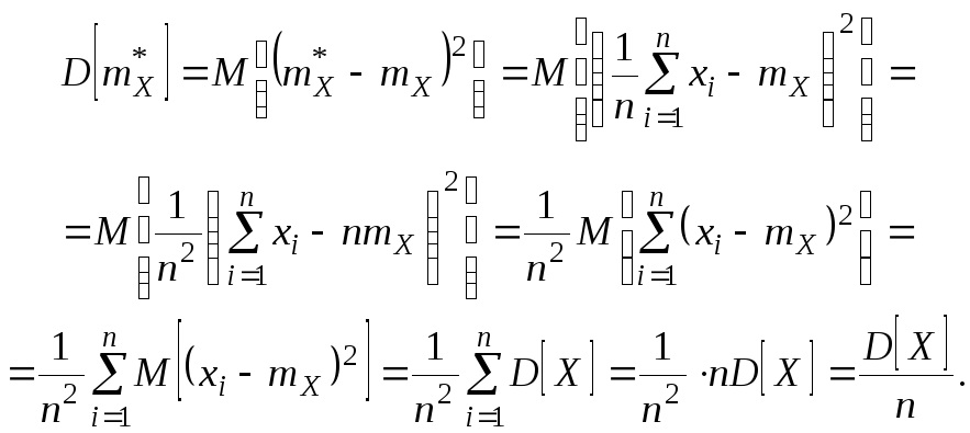
Используя (9), можно
показать, что
является состоятельной оценкой
генеральной дисперсии. Можно также
показать, что математическое ожидание
,
т. е. выборочная
дисперсия является смещенной оценкой
генеральной дисперсии. Таким образом,
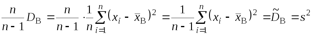
при использовании оценки (9) всегда
совершается некоторая систематическая
ошибка в меньшую сторону. Чтобы
ликвидировать это смещение, достаточно
ввести поправку, умножив величину
на
.
Тогда
.
(10)
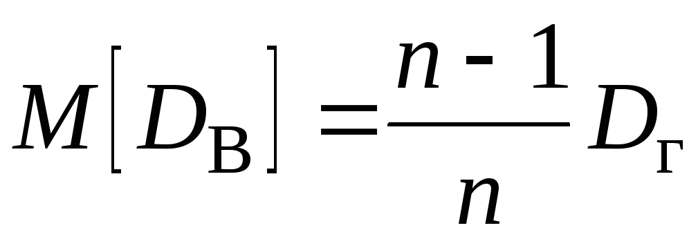
Обычно в качестве
оценки генеральной дисперсии используют
(10). Эта оценка называется несмещенной
или исправленной выборочной
дисперсией. Отметим, что при больших
объемах выборки, когда
,
смещение оценки
исчезает.
Для наглядного представления статистического распределения выборки строят различные графики. Наиболее информативным из них является гистограмма.
Гистограммой
частот называют ступенчатую фигуру,
состоящую из прямоугольников, основаниями
которых служат частичные интервалы
длиною h, а высоты
равны отношению
(плотность частоты), где
– суммарное число (суммарная частота)
элементов выборки, попавших в i-й
частичный интервал.
Площадь i-го
частичного прямоугольника
,
очевидно, равна суммарному числу
элементов выборки i-го
частичного интервала. Следовательно,
площадь гистограммы частот равна объему
выборки п.
Гистограммой
относительных частот называют
ступенчатую фигуру, состоящую из
прямоугольников, основаниями которых
служат частичные интервалы длиною h,
а высоты равны отношению
(плотность относительной частоты), где
– суммарное число элементов выборки,
попавших в i-й частичный
интервал, нормированное к объему выборки
п (суммарная относительная частота
элементов выборки, попавших в i-й
частичный интервал).
Площадь i-го
частичного прямоугольника
,
очевидно, равна
суммарной относительной частоте
элементов выборки i-го
частичного интервала. Следовательно,
площадь гистограммы относительных
частот равна сумме всех относительных
частот элементов выборки, т. е. единице.
Таким образом, гистограмма относительных
частот обладает свойством нормировки
и может дать приблизительное представление
о характере плотности вероятности
случайной величины.